Enhanced Piezoelectric Properties and Conduction Mechanism in Na0.5Bi2.5Nb2O9 Piezoelectric Ceramics
Abstract
1. Introduction
2. Materials and Methods
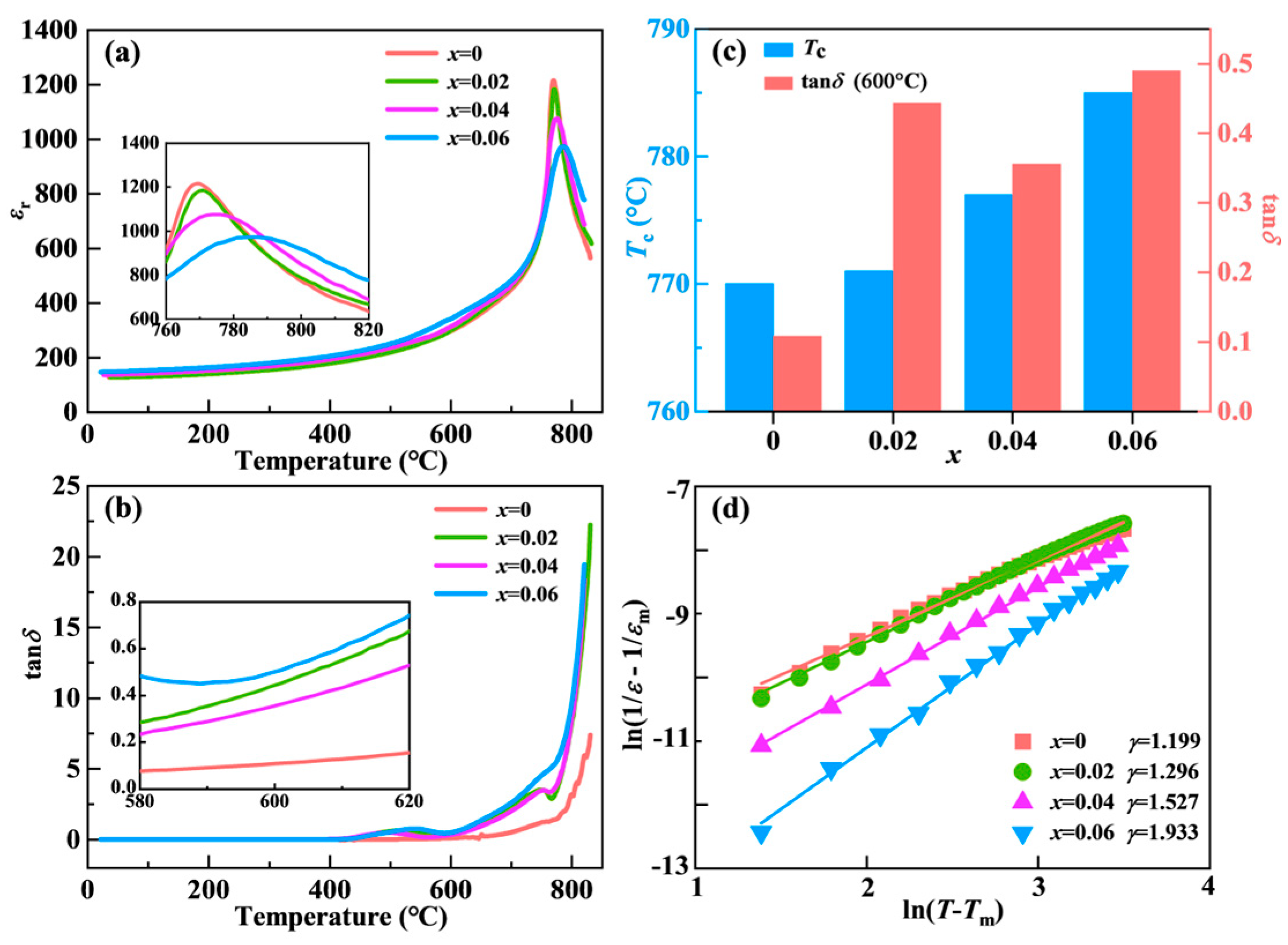
3. Results and Discussion
4. Conclusions
Author Contributions
Funding
Data Availability Statement
Conflicts of Interest
References
- Yan, H.; Zhang, H.; Ubic, R.; Reece, M.J.; Liu, J.; Shen, Z.; Zhang, Z. A Lead-Free High-Curie-Point Ferroelectric Ceramic, CaBi2Nb2O9. Adv. Mater. 2005, 17, 1261–1265. [Google Scholar] [CrossRef]
- Zhang, S.; Yu, F. Piezoelectric Materials for High Temperature Sensors. J. Am. Ceram. Soc. 2011, 94, 3153–3170. [Google Scholar] [CrossRef]
- Yan, H.; Zhang, H.; Reece, M.J.; Dong, X. Thermal Depoling of High Curie Point Aurivillius Phase Ferroelectric Ceramics. Appl. Phys. Lett. 2005, 87, 082911. [Google Scholar] [CrossRef]
- Xie, X.; Zhou, Z.; Wang, T.; Liang, R.; Dong, X. High Temperature Impedance Properties and Conduction Mechanism of W6+-Doped CaBi4Ti4O15 Aurivillius Piezoceramics. J. Appl. Phys. 2018, 124, 204101. [Google Scholar] [CrossRef]
- Long, C.; Fan, H.; Li, M. High Temperature Aurivillius Piezoelectrics: The Effect of (Li, Ln) Modification on the Structure and Properties of (Li, Ln)0.06(Na, Bi)0.44Bi2Nb2O9 (Ln = Ce, Nd, La and Y). Dalton Trans. 2013, 42, 3561–3570. [Google Scholar] [CrossRef]
- Takenaka, T.; Gotoh, T.; Mutoh, S.; Sasaki, T. Possibility of New Bismuth Layer-Structured Ferroelectrics Nam−1.5Bi2.5NbmO3m+3 (2≤m≤5). Ferroelectrics 1996, 185, 55–58. [Google Scholar] [CrossRef]
- Xi, J.; Chen, H.; Tan, Z.; Xing, J.; Zhu, J. Origin of High Piezoelectricity in CBT-Based Aurivillius Ferroelectrics: Glide of (Bi2O2)2+ Blocks and Suppressed Internal Bias Field. Acta Mater. 2022, 237, 118146. [Google Scholar] [CrossRef]
- Aoyagi, R.; Takeda, H.; Okamura, S.; Shiosaki, T. Synthesis and Electrical Properties of Sodium Bismuth Niobate Na0.5Bi2.5Nb2O9. Mater. Res. Bull. 2003, 38, 25–32. [Google Scholar] [CrossRef]
- Li, G.; Wang, Q.; Chen, J.; Zhao, M.; Wang, C. Spark Plasma Sintering of Sodium Bismuth Niobate That Exhibits Superior Piezoelectric Performance. J. Am. Ceram. Soc. 2024, 107, 7364–7372. [Google Scholar] [CrossRef]
- Zhao, C.; Jiang, X.; Chen, C.; Zeng, R.; Xu, B.; Xu, H.; Zhang, H.; Tu, N.; Chen, Y.; Huang, X.; et al. Octahedron Distortion, Piezoelectric Performance, and Electric Resistivity of B-Site Substituted Na0.5Bi2.5Nb2O9-Based High-Temperature Piezoceramics. Ceram. Int. 2025, 51, 11811–11820. [Google Scholar] [CrossRef]
- Wang, J.; Fan, W.; Cheng, S.-D.; Wang, S.; Jiang, Y.; Li, G.; Ju, M.; Shen, B.; Chen, B.; Dou, Z.; et al. Multiscale Structural Engineering Boosts Piezoelectricity in Na0.5Bi2.5Nb2O9-Based High-Temperature Piezoceramics. ACS Appl. Mater. Interfaces 2024, 16, 19150–19157. [Google Scholar] [CrossRef] [PubMed]
- Chen, Q.; Peng, Z.-H.; Liu, H.; Zhu, J.-G.; Xiao, D.-Q. Effects of (Ca, Sb) on the Properties of Na0.5Bi2.5Nb2O9-Based Bismuth Layered Structure Ferroelectric Ceramics. Ferroelectrics 2013, 455, 169–175. [Google Scholar] [CrossRef]
- Peng, Z.; Xing, X.; Zeng, X.; Xiang, Y.; Cao, F.; Wu, B. High Performance of La, Nd Multi-Rare Earth Doped Na0.46Li0.04Bi2.5Nb2O9 High Temperature Piezoceramics at a New Pseudo-MPB. Mater. Res. Bull. 2018, 97, 393–398. [Google Scholar] [CrossRef]
- Zhou, Z.; Li, Y.; Hui, S.; Dong, X. Effect of Tungsten Doping in Bismuth-Layered Na0.5Bi2.5Nb2O9 High Temperature Piezoceramics. Appl. Phys. Lett. 2014, 104, 012904. [Google Scholar] [CrossRef]
- Jie, S.; Jiang, X.; Chen, C.; Huang, X.; Nie, X.; Jiang, Q. Effect of Co3+ on Structure and Electrical Properties of Na0.5Bi2.5Nb2O9 Ceramics. J. Mater. Sci. Mater. Electron. 2021, 32, 23834–23842. [Google Scholar] [CrossRef]
- Jie, S.; Jiang, X.; Chen, C.; Huang, X.; Nie, X.; Wang, H. Influence of Co/W Co-Doping on Structural and Electrical Properties of Na0.5Bi2.5Nb2O9 Piezoelectric Ceramics. Ceram. Int. 2022, 48, 6258–6265. [Google Scholar] [CrossRef]
- Sun, L.; Chen, Q.; Wu, D.; Wu, J.; Tan, Z.; Xiao, D.; Zhu, J. Effect of (LiCe) Doping in (NaBi)0.48[ ]0.04Bi2Nb1.97W0.03O9 High-Temperature Ceramics. J. Alloys Compd. 2015, 625, 113–117. [Google Scholar] [CrossRef]
- Li, J.; Cabral, M.; Xu, B.; Cheng, Z.; Dickey, E.; LeBeau, J.; Wang, J.; Luo, J.; Taylor, S.; Hackenberger, W.; et al. Giant piezoelectricity of Sm-doped Pb(Mg1/3Nb2/3)O3-PbTiO3 single crystals. Science 2019, 364, 264–268. [Google Scholar] [CrossRef]
- Li, H.; Liao, W.; Sun, B.; Lu, Y.; He, X.; Xu, Z.; Huang, C.; Sun, Z.; Li, T. Piezoelectricity of Sm-doped Pb(Zn1/3Nb2/3)O3-PbTiO3 single crystals by enhancement of local disorder polarization. Ceram. Int. 2023, 49, 8325–8330. [Google Scholar] [CrossRef]
- Zheng, D.; Swingler, J.; Weaver, P.M. Electrical Conduction Mechanisms in Piezoelectric Ceramics under Harsh Operating Conditions. Sens. Actuators A Phys. 2011, 167, 19–24. [Google Scholar] [CrossRef]
- Long, C.; Fan, H.; Wu, Y.; Li, Y. Hole Conduction and Electro-Mechanical Properties of Na0.5Bi2.5Ta2O9-Based Piezoelectric Ceramics with the Li+/Ce3+/Sc3+ Modification. J. Appl. Phys. 2014, 116, 074111. [Google Scholar] [CrossRef]
- Tian, S.; Li, L.; Lu, X.; Yu, F.; Li, Y.; Jiang, C.; Duan, X.; Wang, Z.; Zhang, S.; Zhao, X. Electrical Conduction Mechanism of Rare-Earth Calcium Oxyborate High Temperature Piezoelectric Crystals. Acta Mater. 2020, 183, 165–171. [Google Scholar] [CrossRef]
- Yuan, J.; Nie, R.; Chen, Q.; Xing, J.; Zhu, J. Evolution of Structural Distortion and Electric Properties of BTN-Based High-Temperature Piezoelectric Ceramics with Tungsten Substitution. J. Alloys Compd. 2019, 785, 475–483. [Google Scholar] [CrossRef]
- Zhuang, J.; Jiang, X.; Chen, C.; Huang, X.; Nie, X.; Jiang, Y. Enhanced Piezoelectric Properties and Low Electrical Conductivity of Ce-Doped Bi7Ti4.5W0.5O21 Intergrowth Piezoelectric Ceramics. Ceram. Int. 2020, 46, 26616–26625. [Google Scholar] [CrossRef]
- Zeng, X.; Cao, F.; Peng, Z.; Xing, X. Crystal Structure and Electrical Properties of (Li, Ce, Nd)-Multidoped CaBi2Nb2O9 High Temperature Ceramics. Ceram. Int. 2018, 44, 3069–3076. [Google Scholar] [CrossRef]
- Wang, H.; Jiang, X.; Chen, C.; Huang, X.; Nie, X.; Yang, L.; Fan, W.; Jie, S.; Wang, H. Structure and Electrical Properties of Ce-Modified Ca1-Ce Bi2Nb1.75(Cu0.25W0.75)0.25O9 High Curie Point Piezoelectric Ceramics. Ceram. Int. 2022, 48, 1723–1730. [Google Scholar] [CrossRef]
- Liu, G.; Wang, D.; Wu, C.; Wu, J.; Chen, Q. A Realization of Excellent Piezoelectricity and Good Thermal Stability in CaBi2Nb2O9: Pseudo Phase Boundary. J. Am. Ceram. Soc. 2019, 102, 1794–1804. [Google Scholar] [CrossRef]
- Shimakawa, Y.; Kubo, Y.; Nakagawa, Y.; Goto, S.; Kamiyama, T.; Asano, H.; Izumi, F. Crystal Structure and Ferroelectric Properties of ABi2Ta2O9 (A=Ca, Sr, and Ba). Phys. Rev. B 2000, 61, 6559. [Google Scholar] [CrossRef]
- Peng, Z.; Chen, Q.; Liu, D.; Wang, Y.; Xiao, D.; Zhu, J. Evolution of Microstructure and Dielectric Properties of (LiCe)-Doped Na0.5Bi2.5Nb2O9 Aurivillius Type Ceramics. Curr. Appl. Phys. 2013, 13, 1183–1187. [Google Scholar] [CrossRef]
- Wang, C.-M.; Zhang, S.; Wang, J.-F.; Zhao, M.-L.; Wang, C.-L. Electromechanical Properties of Calcium Bismuth Niobate (CaBi2Nb2O9) Ceramics at Elevated Temperature. Mater. Chem. Phys. 2009, 118, 21–24. [Google Scholar] [CrossRef]
- Deng, J.; Huang, M.; Wu, S.; Zhang, B.; Han, Y.; Liu, L.; Gong, W. Large Reduction in Band Gap and Conduction Mechanisms in Bi0.5Na0.5TiO3-Based Ceramics with a Sizable Polarization. J. Alloys Compd. 2024, 986, 174110. [Google Scholar] [CrossRef]
- Zhang, C.; Li, S.; Li, S.; Zhang, L.; Wu, H. Investigation on Relaxor-Ferroelectric Behavior of BNBT-KNN Ceramics with Ta Doping. J. Adv. Dielectr. 2024, 14, 2440012. [Google Scholar] [CrossRef]
- Deng, J.; Liu, C.; Wang, S.; Zhang, B.; Yan, T.; Han, Y.; Gong, W.; Liu, L. Enhanced Ferroelectric and Piezoelectric Properties of Sb/Nb Co-doped BiScO3-PbTiO3-Based Ceramics via Relaxation Regulation near Morphotropic Phase Boundary. Mater. Res. Bull. 2024, 177, 112840. [Google Scholar] [CrossRef]
- Zhang, J.; Pan, Z.; Guo, F.-F.; Liu, W.-C.; Ning, H.; Chen, Y.B.; Lu, M.-H.; Yang, B.; Chen, J.; Zhang, S.-T.; et al. Semiconductor/Relaxor 0–3 Type Composites without Thermal Depolarization in Bi0.5Na0.5TiO3-Based Lead-Free Piezoceramics. Nat. Commun. 2015, 6, 6615. [Google Scholar] [CrossRef] [PubMed]
- Liu, N.; Liang, R.; Zhao, X.; Zhang, Y.; Zhou, Z.; Tang, X.; Dong, X. Tailoring Domain Structure through Manganese to Modify the Ferroelectricity, Strain and Magnetic Properties of Lead-Free BiFeO3-Based Multiferroic Ceramics. J. Alloys Compd. 2018, 740, 470–476. [Google Scholar] [CrossRef]
- Chiu, F.-C. A Review on Conduction Mechanisms in Dielectric Films. Adv. Mater. Sci. Eng. 2014, 2014, 1–18. [Google Scholar] [CrossRef]
- Masó, N.; West, A.R. Electrical Properties of Ca-Doped BiFeO3 Ceramics: From p-Type Semiconduction to Oxide-Ion Conduction. Chem. Mater. 2012, 24, 2127–2132. [Google Scholar] [CrossRef]
- Liu, Y.; West, A.R. Ho-Doped BaTiO3: Polymorphism, Phase Equilibria and Dielectric Properties of BaTi1−xHoxO3−x/2: 0≤x≤0.17. J. Eur. Ceram. Soc. 2009, 29, 3249–3257. [Google Scholar] [CrossRef]
- Sze, S.; Li, Y.; Ng, K. Physics of Semiconductor Devices; John Wiley & Sons: Hoboken, NJ, USA, 2021. [Google Scholar]
- Lu, Z.; Wang, G.; Li, L.; Huang, Y.; Feteira, A.; Bao, W.; Kleppe, A.K.; Xu, F.; Wang, D.; Reaney, I.M. In Situ Poling X-Ray Diffraction Studies of Lead-Free BiFeO3–SrTiO3 Ceramics. Mater. Today Phys. 2021, 19, 100426. [Google Scholar] [CrossRef]
- Zhuang, W.; Wang, W.; Luo, Y.; Liu, H.; Zhu, J. Enhanced Piezoelectric Properties in Low-Temperature Sintered Pb(Zr, Ti)O3 -Based Ceramics via Yb2O3 Doping. J. Adv. Dielectr. 2024, 14, 2340008. [Google Scholar] [CrossRef]
- Long, C.; Ji, N.; Yang, L.; Zhou, W.; Zheng, K.; Ren, W.; Liu, L. Effects of (Li0.5Sm0.5)/W Co-Substitution and Sintering Temperature on the Structure and Electrical Properties of Ultrahigh Curie Temperature Piezoceramics, Ca0.92(Li0.5Sm0.5)0.08Bi2Nb2-xWxO9. J. Eur. Ceram. Soc. 2021, 41, 3369–3378. [Google Scholar] [CrossRef]
- Tong, K.; Zhou, C.; Li, Q.; Wang, J.; Yang, L.; Xu, J.; Chen, G.; Yuan, C.; Rao, G. Enhanced Piezoelectric Response and High-Temperature Sensitivity by Site-Selected Doping of BiFeO3-BaTiO3 Ceramics. J. Eur. Ceram. Soc. 2018, 38, 1356–1366. [Google Scholar] [CrossRef]
- Jie, S.; Jiang, X.; Chen, C.; Huang, X.; Nie, X.; Wang, H. Structural and electrical properties of (LiCe) co-doped (NaBi)0.5-x(LiCe)xBi2Nb1.99(Co1/3W2/3)0.01O9 piezoelectric ceramics. Ceram. Int. 2022, 48, 13032–13040. [Google Scholar] [CrossRef]
- Sun, L.; Chen, Q.; Wu, J.; Peng, Z.; Tan, Z.; Xiao, D.; Zhu, J. Dielectric and piezoelectric properties of cerium-doped (NaBi)0.49[ ]0.02Bi2Nb1.98Ta0.02O9-based piezoceramics. Ceram. Int. 2014, 40, 14159–14163. [Google Scholar] [CrossRef]
- Jiang, X.; Yang, Q.; Zhou, S.; Chen, C.; Chen, Y.; Tu, N.; Yu, Z. Microstructure and Properties of High-Temperature Materials (1−x)Na0.5Bi2.5Nb2O9–xLiNbO3. J. Am. Ceram. Soc. 2011, 94, 1109–1113. [Google Scholar] [CrossRef]
- Peng, Z.; Chen, Q.; Wu, J.; Zhu, X.; Xiao, D.; Zhu, J. Dielectric and piezoelectric properties of Sb5+ doped (NaBi)0.38(LiCe)0.05[]0.14Bi2Nb2O9 ceramics. J. Alloys Compd. 2011, 509, 8483–8486. [Google Scholar] [CrossRef]









Disclaimer/Publisher’s Note: The statements, opinions and data contained in all publications are solely those of the individual author(s) and contributor(s) and not of MDPI and/or the editor(s). MDPI and/or the editor(s) disclaim responsibility for any injury to people or property resulting from any ideas, methods, instructions or products referred to in the content. |
© 2025 by the authors. Licensee MDPI, Basel, Switzerland. This article is an open access article distributed under the terms and conditions of the Creative Commons Attribution (CC BY) license (https://creativecommons.org/licenses/by/4.0/).
Share and Cite
Deng, J.; Chen, K.; Chen, C.; Zheng, C.; Zhang, B.; Guo, L.; Wang, T.; Chen, K.; Liu, L.; Gong, W. Enhanced Piezoelectric Properties and Conduction Mechanism in Na0.5Bi2.5Nb2O9 Piezoelectric Ceramics. Nanomaterials 2025, 15, 1293. https://doi.org/10.3390/nano15171293
Deng J, Chen K, Chen C, Zheng C, Zhang B, Guo L, Wang T, Chen K, Liu L, Gong W. Enhanced Piezoelectric Properties and Conduction Mechanism in Na0.5Bi2.5Nb2O9 Piezoelectric Ceramics. Nanomaterials. 2025; 15(17):1293. https://doi.org/10.3390/nano15171293
Chicago/Turabian StyleDeng, Jianming, Kaijie Chen, Caijin Chen, Chenyang Zheng, Biao Zhang, Lanpeng Guo, Ting Wang, Kai Chen, Laijun Liu, and Weiping Gong. 2025. "Enhanced Piezoelectric Properties and Conduction Mechanism in Na0.5Bi2.5Nb2O9 Piezoelectric Ceramics" Nanomaterials 15, no. 17: 1293. https://doi.org/10.3390/nano15171293
APA StyleDeng, J., Chen, K., Chen, C., Zheng, C., Zhang, B., Guo, L., Wang, T., Chen, K., Liu, L., & Gong, W. (2025). Enhanced Piezoelectric Properties and Conduction Mechanism in Na0.5Bi2.5Nb2O9 Piezoelectric Ceramics. Nanomaterials, 15(17), 1293. https://doi.org/10.3390/nano15171293

