Effects of Nanofibrillar Nucleating Agent and Process Conditions on the Crystallization Behavior and Mechanical Properties of Isotactic Polypropylene
Abstract
1. Introduction
2. Experimental Section
2.1. Materials
2.2. Samples Preparation
2.3. Thermal Analysis
2.4. Mechanical Properties Analysis
3. Results and Discussion
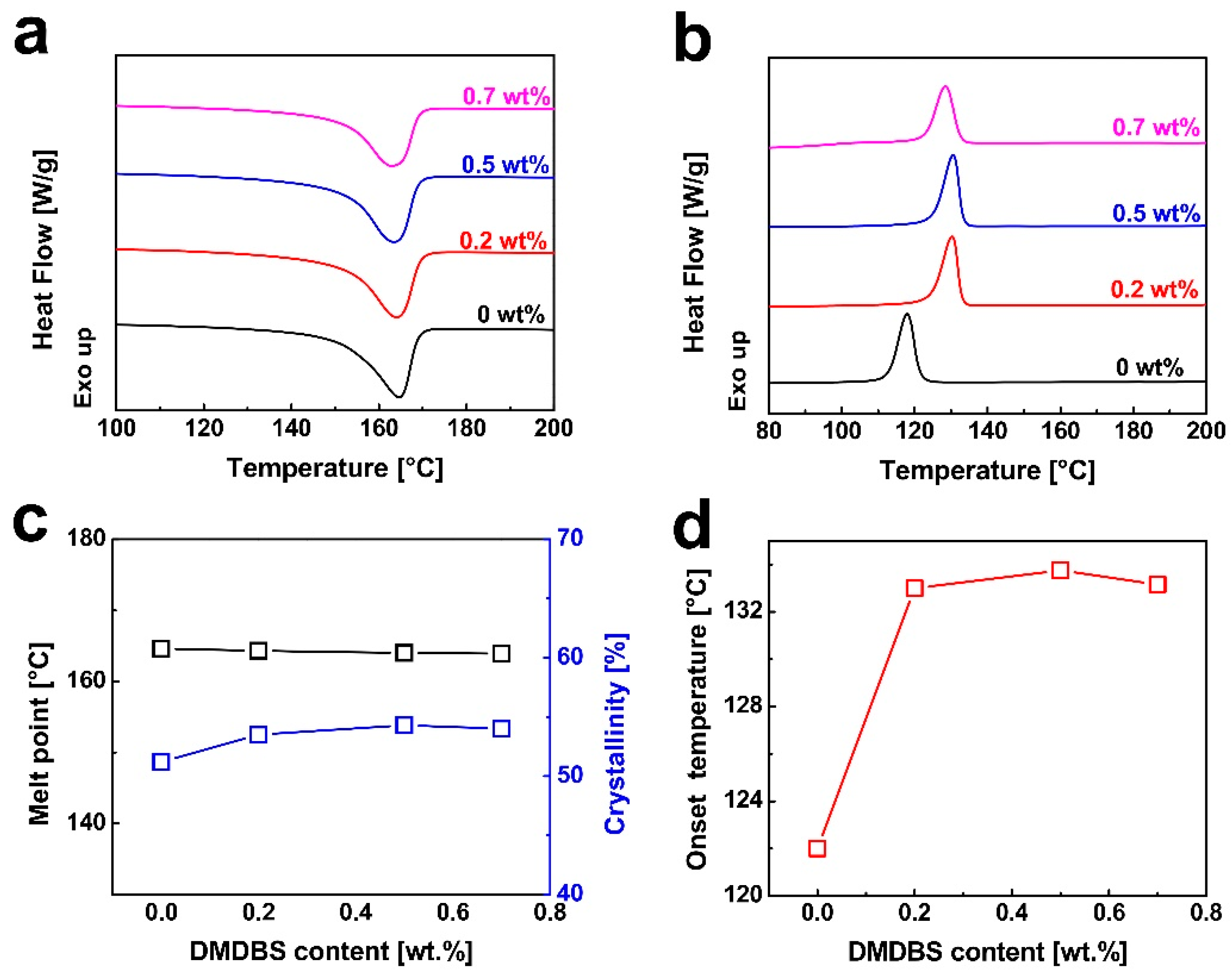
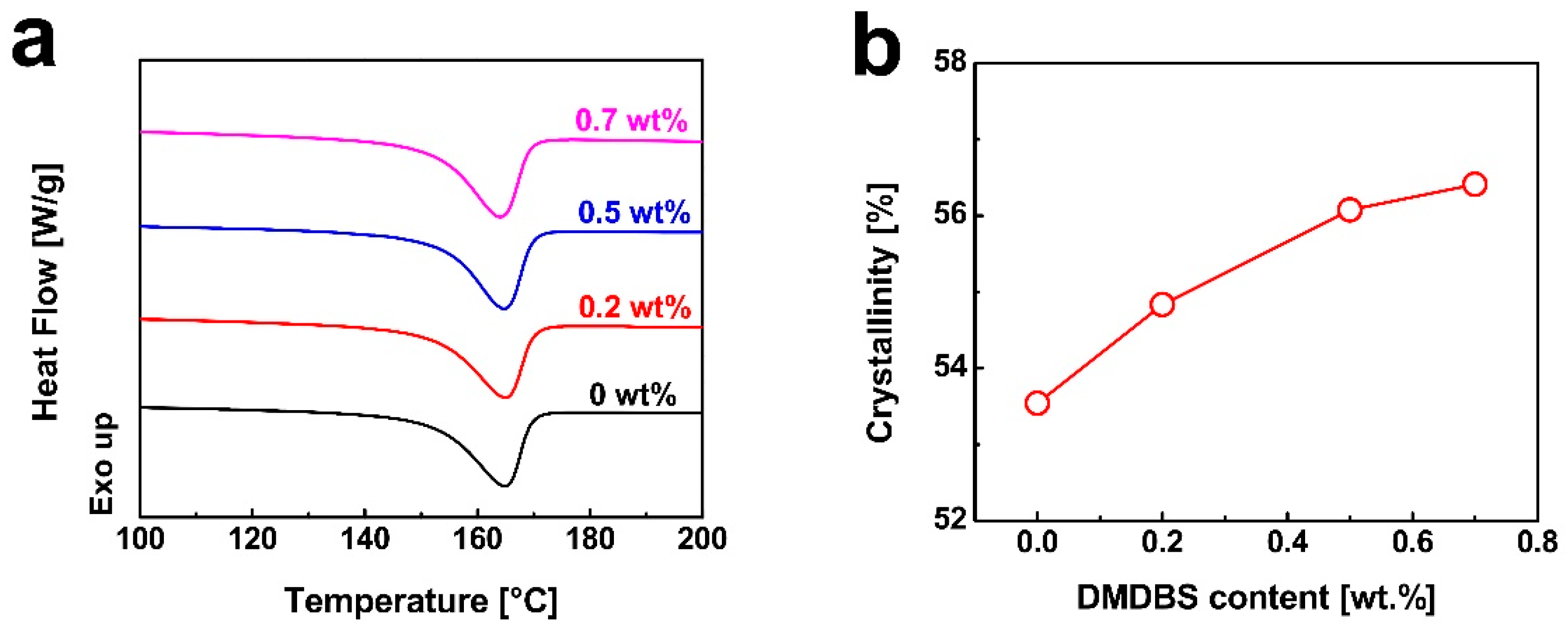
3.1. The Effect of DMDBS Contents on Crystallization Behavior and Mechanical Properties of Isotactic Polypropylene
3.2. The Effect of Melt Temperature on Crystallization Behavior and Mechanical Properties of Isotactic Polypropylene
3.3. The Effect of Injection Speeds on Cell Structure and Mechanical Properties of Polypropylene–Polyethylene Composites
4. Conclusions
Supplementary Materials
Author Contributions
Funding
Data Availability Statement
Conflicts of Interest
References
- Xu, J.; Ma, Y.; Hu, W.; Rehahn, M.; Reiter, G. Cloning polymer single crystals through self-seeding. Nat. Mater. 2009, 8, 348–353. [Google Scholar] [CrossRef]
- De Rosa, C.; Malafronte, A.; Di Girolamo, R.; Auriemma, F.; Scoti, M.; Ruiz de Ballesteros, O.; Coates, G.W. Morphology of Isotactic Polypropylene–Polyethylene Block Copolymers Driven by Controlled Crystallization. Macromolecules 2020, 53, 10234–10244. [Google Scholar] [CrossRef]
- Nazari, B.; Tran, H.; Beauregard, B.; Flynn-Hepford, M.; Harrell, D.; Milner, S.T.; Colby, R.H. Two Distinct Morphologies for Semicrystalline Isotactic Polypropylene Crystallized after Shear Flow. Macromolecules 2018, 51, 4750–4761. [Google Scholar] [CrossRef]
- Phillips, A.W.; Bhatia, A.; Zhu, P.-w.; Edward, G. Shish Formation and Relaxation in Sheared Isotactic Polypropylene Containing Nucleating Particles. Macromolecules 2011, 44, 3517–3528. [Google Scholar] [CrossRef]
- Zhao, J.; Chen, P.; Lin, Y.; Chen, W.; Lu, A.; Meng, L.; Wang, D.; Li, L. Stretch-Induced Intermediate Structures and Crystallization of Poly(dimethylsiloxane): The Effect of Filler Content. Macromolecules 2020, 53, 719–730. [Google Scholar] [CrossRef]
- Longo, R.; Vertuccio, L.; Speranza, V.; Pantani, R.; Raimondo, M.; Calabrese, E.; Guadagno, L. Nanometric Mechanical Behavior of Electrospun Membranes Loaded with Magnetic Nanoparticles. Nanomaterials 2023, 13, 1252. [Google Scholar] [CrossRef]
- Wang, G.; Dong, M.; Deng, H.; Ma, X.; Zhu, B.; Zhou, L.; Zhang, X.; Tan, D.; Algadi, H. Polypropylene foaming using supercritical carbon dioxide: A review on fundamentals, technology, and applications. Adv. Compos. Hybrid Mater. 2024, 8, 84. [Google Scholar] [CrossRef]
- Wang, G.; Shi, G.; Yang, A.; Wang, B.; Shen, C.; Chen, J.; Reiter, G.; Zhang, B. Determining the maximum melting temperature of polymer crystals from a change in morphology of dewetting rims. Polymer 2023, 274, 125874. [Google Scholar] [CrossRef]
- Pan, X.; Zhou, L.; Wang, G.; Fallatah, A.M.; Yuan, M.; Zhang, X.; Tan, D.; Ren, J.; Almalki, A.S.A.; Ibrahim, M.M.; et al. Study on the damage characteristics of high-temperature superconducting cable insulation under air gap discharge. J. Mater. Sci. Mater. Electron. 2024, 35, 1999. [Google Scholar] [CrossRef]
- Gkourmpis, T.; Gaska, K.; Tranchida, D.; Gitsas, A.; Müller, C.; Matic, A.; Kádár, R. Melt-Mixed 3D Hierarchical Graphene/Polypropylene Nanocomposites with Low Electrical Percolation Threshold. Nanomaterials 2019, 9, 1766. [Google Scholar] [CrossRef] [PubMed]
- Cui, K.; Ma, Z.; Tian, N.; Su, F.; Liu, D.; Li, L. Multiscale and multistep ordering of flow-induced nucleation of polymers. Chem. Rev. 2018, 118, 1840–1886. [Google Scholar] [CrossRef]
- Odarchenko, Y.; Rosenthal, M.; Hernandez, J.J.; Doblas, D.; Di Cola, E.; Soloviev, M.; Ivanov, D.A. Assessing Fast Structure Formation Processes in Isotactic Polypropylene with a Combination of Nanofocus X-ray Diffraction and In Situ Nanocalorimetry. Nanomaterials 2021, 11, 2652. [Google Scholar] [CrossRef] [PubMed]
- Varga, J. Supermolecular structure of isotactic polypropylene. J. Mater. Sci. 1992, 27, 2557–2579. [Google Scholar] [CrossRef]
- Luo, F.; Geng, C.; Wang, K.; Deng, H.; Chen, F.; Fu, Q.; Na, B. New Understanding in Tuning Toughness of β-Polypropylene: The Role of β-Nucleated Crystalline Morphology. Macromolecules 2009, 42, 9325–9331. [Google Scholar] [CrossRef]
- Mani, M.R.; Chellaswamy, R.; Marathe, Y.N.; Pillai, V.K. New Understanding on Regulating the Crystallization and Morphology of the β-Polymorph of Isotactic Polypropylene Based on Carboxylate–Alumoxane Nucleating Agents. Macromolecules 2016, 49, 2197–2205. [Google Scholar] [CrossRef]
- Wenzel, F.A.; Welz, H.; van der Zwan, K.P.; Stäter, S.; Kreger, K.; Hildner, R.; Senker, J.; Schmidt, H.-W. Highly Efficient Supramolecular Nucleating Agents for Poly(3-hexylthiophene). Macromolecules 2022, 55, 2861–2871. [Google Scholar] [CrossRef]
- Sha, X.; Duan, J.; Feng, J. Comparative Investigation on the Crystallization Behavior of Polypropylene Nucleated by Sorbitol-Based Nucleating Agents with and without Fibrous Network Formation. Macromolecules 2025, 58, 3622–3634. [Google Scholar] [CrossRef]
- Veluri, S.; Sowinski, P.; Svyntkivska, M.; Bartczak, Z.; Makowski, T.; Piorkowska, E. Structure and Mechanical Properties of iPP-Based Nanocomposites Crystallized under High Pressure. Nanomaterials 2024, 14, 629. [Google Scholar] [CrossRef]
- Klonos, P.A.; Ioannidis, R.O.; Pitsavas, A.; Bikiaris, N.D.; Makri, S.P.; Koutsourea, S.; Grigoropoulos, A.; Deligkiozi, I.; Zoikis-Karathanasis, A.; Kyritsis, A.; et al. Segmental Mobility, Interfacial Polymer, Crystallization and Conductivity Study in Polylactides Filled with Hybrid Lignin-CNT Particles. Nanomaterials 2025, 15, 660. [Google Scholar] [CrossRef]
- Fu, L.; Li, K.; Qin, H.; Hou, J.; Zhang, X.; He, G.; Liu, B.; Ren, C.; Chen, J. Sandwich structured iPP/CNTs nanocomposite foams with high electromagnetic interference shielding performance. Compos. Sci. Technol. 2022, 220, 109297. [Google Scholar] [CrossRef]
- Zuo, K.; Xu, J.; Xie, S.; Zhang, S.; Hou, J.; Yang, Y.; Zhang, X.; Chen, J. Microcellular foaming and mechanical properties of iPPF reinforced PPR composites. J. Supercrit. Fluids 2021, 170, 105161. [Google Scholar] [CrossRef]
- Wang, G.; Dong, M.; Yuan, M.; Ren, J.; Gu, J.; Zhang, X.; Tan, D.; Zhang, Y.; Yao, C.; El-Bahy, Z.M.; et al. Effects of process conditions and nano-fillers on the cell structure and mechanical properties of co-injection molded polypropylene-polyethylene composites. Polymer 2024, 299, 126935. [Google Scholar] [CrossRef]
- Zhang, X.; Ding, W.; Chang, E.; Chen, X.; Chen, J.; Park, C.B.; Shen, C. Foaming Behaviors and Mechanical Properties of Injection-Molded Polylactide/Cotton-Fiber Composites. Ind. Eng. Chem. Res. 2020, 59, 17885–17893. [Google Scholar] [CrossRef]
- Wang, K.; Chen, F.; Zhang, Q.; Fu, Q. Shish–kebab of polyolefin by “melt manipulation” strategy in injection-molding: A convenience pathway from fundament to application. Polymer 2008, 49, 4745–4755. [Google Scholar] [CrossRef]
- Chan, C.-M.; Wu, J.; Li, J.-X.; Cheung, Y.-K. Polypropylene/calcium carbonate nanocomposites. Polymer 2002, 43, 2981–2992. [Google Scholar] [CrossRef]
- Kocic, N.; Kretschmer, K.; Bastian, M.; Heidemeyer, P. The influence of talc as a nucleation agent on the nonisothermal crystallization and morphology of isotactic polypropylene: The application of the Lauritzen–Hoffmann, Avrami, and Ozawa theories. J. Appl. Polym. Sci. 2012, 126, 1207–1217. [Google Scholar] [CrossRef]
- Dou, Q.; Meng, M.-R.; Li, L. Effect of pimelic acid treatment on the crystallization, morphology, and mechanical properties of isotactic polypropylene/mica composites. Polym. Compos. 2010, 31, 1572–1584. [Google Scholar] [CrossRef]
- Wang, W.; Saperdi, A.; Dodero, A.; Castellano, M.; Müller, A.J.; Dong, X.; Wang, D.; Cavallo, D. Crystallization of a Self-Assembling Nucleator in Poly(l-lactide) Melt. Cryst. Growth Des. 2021, 21, 5880–5888. [Google Scholar] [CrossRef]
- Zhang, X.; Wang, F.; Yang, S.; Li, G.; Feng, J. Different Effect of Two Commonly Used Stearate Acid Scavengers on Polypropylene Crystallization Promotion Performance of a Sorbitol-Type Nucleating Agent. ACS Appl. Polym. Mater. 2025, 7, 2160–2171. [Google Scholar] [CrossRef]
- Wang, B.; Utzeri, R.; Castellano, M.; Stagnaro, P.; Müller, A.J.; Cavallo, D. Heterogeneous Nucleation and Self-Nucleation of Isotactic Polypropylene Microdroplets in Immiscible Blends: From Nucleation to Growth-Dominated Crystallization. Macromolecules 2020, 53, 5980–5991. [Google Scholar] [CrossRef]
- Yan, Z.; Huang, Y.; Zhao, W.; Wu, B.; Liu, C.; Yan, X.; Pan, H.; Zhao, Y.; Zhang, H. Effect of a Self-Assembled Nucleating Agent on the Crystallization Behavior and Spherulitic Morphology of Poly(lactic acid). ACS Omega 2023, 8, 44093–44105. [Google Scholar] [CrossRef]
- Wilsens, C.H.R.M.; Hawke, L.G.D.; Troisi, E.M.; Hermida-Merino, D.; de Kort, G.; Leoné, N.; Saralidze, K.; Peters, G.W.M.; Rastogi, S. Effect of Self-Assembly of Oxalamide Based Organic Compounds on Melt Behavior, Nucleation, and Crystallization of Isotactic Polypropylene. Macromolecules 2018, 51, 4882–4895. [Google Scholar] [CrossRef]
- Deshmukh, Y.S.; Wilsens, C.H.R.M.; Leoné, N.; Portale, G.; Harings, J.A.W.; Rastogi, S. Melt-Miscible Oxalamide Based Nucleating Agents and Their Nucleation Efficiency in Isotactic Polypropylene. Ind. Eng. Chem. Res. 2016, 55, 11756–11766. [Google Scholar] [CrossRef]
- Yue, Y.; Yi, J.; Wang, L.; Feng, J. Toward a More Comprehensive Understanding on the Structure Evolution and Assembly Formation of a Bisamide Nucleating Agent in Polypropylene Melt. Macromolecules 2020, 53, 4381–4394. [Google Scholar] [CrossRef]
- Wilsens, C.H.R.M.; Hawke, L.G.D.; de Kort, G.W.; Saidi, S.; Roy, M.; Leoné, N.; Hermida-Merino, D.; Peters, G.W.M.; Rastogi, S. Effect of Thermal History and Shear on the Viscoelastic Response of iPP Containing an Oxalamide-Based Organic Compound. Macromolecules 2019, 52, 2789–2802. [Google Scholar] [CrossRef] [PubMed]
- Blomenhofer, M.; Ganzleben, S.; Hanft, D.; Schmidt, H.-W.; Kristiansen, M.; Smith, P.; Stoll, K.; Mäder, D.; Hoffmann, K. “Designer” Nucleating Agents for Polypropylene. Macromolecules 2005, 38, 3688–3695. [Google Scholar] [CrossRef]
- Yue, Y.; Sha, X.; Wang, F.; Gao, Y.; Zhang, L.; Zhu, Y.; Wang, X.; Feng, J. Non-Negligible Effect of Additives in the Application of Successive Self-Nucleation and Annealing Fractionation for Microstructure Characterization of Matrix Resin in Additive-Containing Samples. ACS Appl. Polym. Mater. 2021, 3, 4634–4644. [Google Scholar] [CrossRef]
- Roy, S.; Scionti, V.; Jana, S.C.; Wesdemiotis, C.; Pischera, A.M.; Espe, M.P. Sorbitol–POSS Interactions on Development of Isotactic Polypropylene Composites. Macromolecules 2011, 44, 8064–8079. [Google Scholar] [CrossRef]
- Kristiansen, M.; Tervoort, T.; Smith, P.; Goossens, H. Mechanical Properties of Sorbitol-Clarified Isotactic Polypropylene: Influence of Additive Concentration on Polymer Structure and Yield Behavior. Macromolecules 2005, 38, 10461–10465. [Google Scholar] [CrossRef]
- Balzano, L.; Rastogi, S.; Peters, G.W.M. Flow Induced Crystallization in Isotactic Polypropylene−1,3:2,4-Bis(3,4-dimethylbenzylidene)sorbitol Blends: Implications on Morphology of Shear and Phase Separation. Macromolecules 2008, 41, 399–408. [Google Scholar] [CrossRef]
- Balzano, L.; Portale, G.; Peters, G.W.M.; Rastogi, S. Thermoreversible DMDBS Phase Separation in iPP: The Effects of Flow on the Morphology. Macromolecules 2008, 41, 5350–5355. [Google Scholar] [CrossRef]
- Shepard, T.A.; Delsorbo, C.R.; Louth, R.M.; Walborn, J.L.; Norman, D.A.; Harvey, N.G.; Spontak, R.J. Self-organization and polyolefin nucleation efficacy of 1,3:2,4-di-p-methylbenzylidene sorbitol. J. Polym. Sci. Part B Polym. Phys. 1997, 35, 2617–2628. [Google Scholar] [CrossRef]
- Lipp, J.; Shuster, M.; Terry, A.E.; Cohen, Y. Fibril Formation of 1,3:2,4-Di(3,4-dimethylbenzylidene) Sorbitol in a Polypropylene Melt. Langmuir 2006, 22, 6398–6402. [Google Scholar] [CrossRef]
- Sowinski, P.; Piorkowska, E.; Boyer, S.A.E.; Haudin, J.-M. High-Pressure Crystallization of iPP Nucleated with 1,3:2,4-bis(3,4-dimethylbenzylidene)sorbitol. Polymers 2021, 13, 145. [Google Scholar] [CrossRef]
- Smith, T.L.; Masilamani, D.; Bui, L.K.; Khanna, Y.P.; Bray, R.G.; Hammond, W.B.; Curran, S.; Belles, J.J., Jr.; Binder-Castelli, S. The Mechanism of Action of Sugar Acetals as Nucleating Agents for Polypropylene. Macromolecules 1994, 27, 3147–3155. [Google Scholar] [CrossRef]
- Na, B.; Wang, K.; Zhang, Q.; Du, R.; Fu, Q. Tensile properties in the oriented blends of high-density polyethylene and isotactic polypropylene obtained by dynamic packing injection molding. Polymer 2005, 46, 3190–3198. [Google Scholar] [CrossRef]
- Manaure, A.; Morales, R.; Sánchez, J.; Müller, A. Rheological and calorimetric evidences of the fractionated crystallization of iPP dispersed in ethylene/α-olefin copolymers. J. Appl. Polym. Sci. 1997, 66, 2481–2493. [Google Scholar] [CrossRef]
- Gu, X.; Zhou, M.; Wang, Y.; Zhang, J. Influence of annealing on the morphology and mechanical properties of iPP/HDPE blend with tailored oriented crystalline structures. J. Polym. Res. 2019, 26, 194. [Google Scholar] [CrossRef]
- GB/T 1040-92; Plastics-Determination of Tensile Properties. General Administration of Quality Supervision, Inspection and Quarantine of PRC: Beijing, China, 1993.
- GB/T 1843-1996; Plastics-Determination of Izod Impact Strength. General Administration of Quality supervision, Inspection and Quarantine of PRC: Beijing, China, 1997.
- Sreenivas, K.; Basargekar, R.; Kumaraswamy, G. Phase Separation of DMDBS from PP: Effect of Polymer Molecular Weight and Tacticity. Macromolecules 2011, 44, 2358–2364. [Google Scholar] [CrossRef]
- Hoffmann, K.; Huber, G.; Mäder, D. Nucleating and clarifying agents for polyolefins. Macromol. Symp. 2001, 176, 83–92. [Google Scholar] [CrossRef]
- Lipp, J.; Shuster, M.; Feldman, G.; Cohen, Y. Oriented Crystallization in Polypropylene Fibers Induced by a Sorbitol-Based Nucleator. Macromolecules 2008, 41, 136–140. [Google Scholar] [CrossRef]








| Number | DMDBS Content | Melting Temperature (°C) | Injection Molding Speeds |
|---|---|---|---|
| 1 | 0 | 210 | 10 |
| 2 | 0.2 | 210 | 10 |
| 3 | 0.5 | 210 | 10 |
| 4 | 0.7 | 210 | 10 |
| 5 | 0.7 | 185 | 10 |
| 6 | 0.7 | 235 | 10 |
| 7 | 0.7 | 210 | 5 |
| 8 | 0.7 | 210 | 20 |
Disclaimer/Publisher’s Note: The statements, opinions and data contained in all publications are solely those of the individual author(s) and contributor(s) and not of MDPI and/or the editor(s). MDPI and/or the editor(s) disclaim responsibility for any injury to people or property resulting from any ideas, methods, instructions or products referred to in the content. |
© 2025 by the authors. Licensee MDPI, Basel, Switzerland. This article is an open access article distributed under the terms and conditions of the Creative Commons Attribution (CC BY) license (https://creativecommons.org/licenses/by/4.0/).
Share and Cite
Wang, G.; Dong, M.; Pan, X.; Zhang, X.; Chen, J.; Shen, J.; Li, K.; Zhang, X.; Chen, J. Effects of Nanofibrillar Nucleating Agent and Process Conditions on the Crystallization Behavior and Mechanical Properties of Isotactic Polypropylene. Nanomaterials 2025, 15, 1253. https://doi.org/10.3390/nano15161253
Wang G, Dong M, Pan X, Zhang X, Chen J, Shen J, Li K, Zhang X, Chen J. Effects of Nanofibrillar Nucleating Agent and Process Conditions on the Crystallization Behavior and Mechanical Properties of Isotactic Polypropylene. Nanomaterials. 2025; 15(16):1253. https://doi.org/10.3390/nano15161253
Chicago/Turabian StyleWang, Gang, Mengyao Dong, Xin Pan, Xiangning Zhang, Jinlong Chen, Junfang Shen, Kun Li, Xiaoli Zhang, and Jingbo Chen. 2025. "Effects of Nanofibrillar Nucleating Agent and Process Conditions on the Crystallization Behavior and Mechanical Properties of Isotactic Polypropylene" Nanomaterials 15, no. 16: 1253. https://doi.org/10.3390/nano15161253
APA StyleWang, G., Dong, M., Pan, X., Zhang, X., Chen, J., Shen, J., Li, K., Zhang, X., & Chen, J. (2025). Effects of Nanofibrillar Nucleating Agent and Process Conditions on the Crystallization Behavior and Mechanical Properties of Isotactic Polypropylene. Nanomaterials, 15(16), 1253. https://doi.org/10.3390/nano15161253

