Effects of Deposition Power and Annealing Temperature on Indium Zinc Oxide (IZO) Film’s Properties and Their Applications to the Source–Drain Electrodes of Amorphous Indium Gallium Zinc Oxide (a-IGZO) Thin-Film Transistors (TFTs)
Abstract
1. Introduction
2. Materials and Methods
2.1. IZO Film Deposition and Characterization Measurements
2.2. Thin-Film Transistor Fabrication and Characterization Measurements
3. Results and Discussion
3.1. Properties of IZO Films at Various Sputtering Powers and Annealing Temperatures
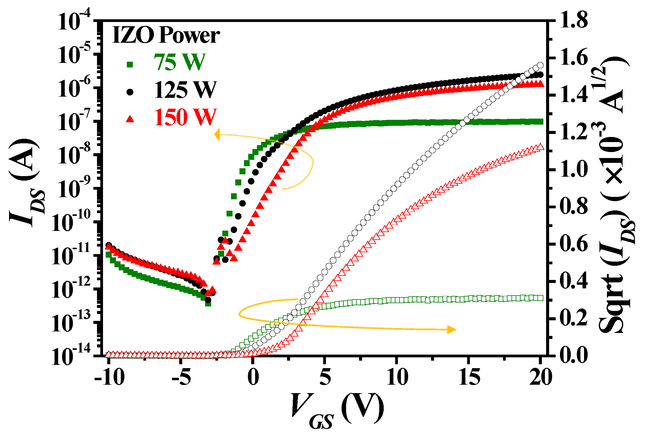
3.2. Electrical Characteristics of A-IGZO TFTs Using IZO Films as S–D Electrodes with Various Deposition Powers
3.3. Electrical Characteristics of A-IGZO TFTs Determined by Using IZO Films as S–D Electrodes with Various Annealing Temperatures
4. Conclusions
Author Contributions
Funding
Data Availability Statement
Acknowledgments
Conflicts of Interest
Abbreviations
| IZO S–D | In-Zn-O source-drain | 
| a-IGZO | amorphous In-Ga-Zn-O | 
| TFTs | thin-film transistors | 
| Rtotal | total resistance | 
| RSD | contact resistance | 
| RCH | channel resistance | 
| µFE | field-effect mobility | 
| Ion | on-current | 
| SS | subthreshold swing | 
| Vth | threshold voltage | 
References
- Ajayan, J.; Sreejith, S.; Kumari, N.A.; Manikandan, M.; Sen, S.; Kumar, M. Amorphous indium gallium zinc oxide thin film transistors (a-IGZO-TFTs): Exciting prospects and fabrication challenges. Microelectron. Eng. 2025, 298, 112327. [Google Scholar] [CrossRef]
 - Ji, D.; Jang, J.; Park, J.H.; Kim, D.; Rim, Y.S.; Hwang, D.K.; Noh, Y.-Y. Recent progress in the development of backplane thin film transistors for information displays. J. Inf. Disp. 2023, 24, 159–168. [Google Scholar] [CrossRef]
 - Lim, S.-H.; Mah, D.-G.; Cho, W.-J. Enhancing the Stability and Mobility of TFTs via Indium–Tungsten Oxide and Zinc Oxide Engineered Heterojunction Channels Annealed in Oxygen Ambient. Nanomaterials 2024, 14, 1252. [Google Scholar] [CrossRef] [PubMed]
 - Zhao, M.; Yan, J.; Wang, Y.; Chen, Q.; Cao, R.; Xu, H.; Wuu, D.-S.; Wu, W.-Y.; Lai, F.-M.; Lien, S.-Y.; et al. The Enhanced Performance of Oxide Thin-Film Transistors Fabricated by a Two-Step Deposition Pressure Process. Nanomaterials 2024, 14, 690. [Google Scholar] [CrossRef]
 - Park, J.-M.; Jang, S.C.; Lee, S.M.; Kang, M.-H.; Chung, K.-B.; Kim, H.-S. Oxide thin-film transistors based on i-line stepper process for high PPI displays. J. Inf. Disp. 2023, 24, 103–108. [Google Scholar] [CrossRef]
 - Shimura, Y.; Nomura, K.; Yanagi, H.; Kamiya, T.; Hirano, M.; Hosono, H. Specific contact resistances between amorphous oxide semiconductor In–Ga–Zn–O and metallic electrodes. Thin Solid Film. 2008, 516, 5899–5902. [Google Scholar] [CrossRef]
 - Barquinha, P.; Vilà, A.M.; Gonçalves, G.; Pereira, L.; Martins, R.; Morante, J.R.; Fortunato, E. Gallium–Indium–Zinc-Oxide-Based Thin-Film Transistors: Influence of the Source/Drain Material. IEEE Trans. Electron Devices 2008, 55, 954–960. [Google Scholar] [CrossRef]
 - Choi, S.-H. High-Performance Oxide TFTs With Co-Sputtered Indium Tin Oxide and Indium-Gallium-Zinc Oxide at Source and Drain Contacts. IEEE Electron. Device Lett. 2021, 42, 168–171. [Google Scholar] [CrossRef]
 - Li, Q.; Han, D.; Don, J.; Xu, D.; Li, Y.; Wang, Y.; Zhang, X. Effects of Source/Drain Electrodes on the Performance of InSnO Thin-Film Transistors. Micromachines 2022, 13, 1896. [Google Scholar] [CrossRef]
 - Tappertzhofen, S. Impact of electrode materials on the performance of amorphous IGZO thin-film transistors. MRS Adv. 2022, 7, 723–728. [Google Scholar] [CrossRef]
 - Pain, D.C.; Yaglioglu, B.; Beiley, Z.; Lee, S. Amorphous IZO-based transparent thin film transistors. Thin Solid Film. 2008, 516, 5894–5898. [Google Scholar] [CrossRef]
 - Barquinha, P.; Gonçalves, G.; Pereira, L.; Martins, R.; Fortunato, E. Effect of annealing temperature on the properties of IZO films and IZO based transparent TFTs. Thin Solid Film. 2007, 515, 8450–8454. [Google Scholar] [CrossRef]
 - Yaglioglu, B.; Yeom, H.Y.; Beresford, R.; Painea, D.C. High-mobility amorphous In2O3–10wt%ZnO thin film transistors. Appl. Phys. Lett. 2006, 89, 062103. [Google Scholar] [CrossRef]
 - Sung, S.-Y.; Choi, J.H.; Han, U.B.; Lee, K.C.; Lee, J.-H.; Kim, J.-J.; Lim, W.; Pearton, S.J.; Norton, D.P.; Heo, Y.-W. Effects of ambient atmosphere on the transfer characteristics and gate-bias stress stability of amorphous indium-gallium-zinc oxide thin-film transistors. Appl. Phys. Lett. 2010, 96, 102107. [Google Scholar] [CrossRef]
 - Jeong, J.K.; Jeong, J.H.; Yang, H.W.; Park, J.-S.; Mo, Y.-G.; Kim, H.D. High performance thin film transistors with cosputtered amorphous indium gallium zinc oxide channel. Appl. Phys. Lett. 2007, 91, 113505. [Google Scholar] [CrossRef]
 - Jeon, S.; Ahn, S.-E.; Song, I.; Jeon, Y.; Kim, Y.; Kim, S.; Choi, H.; Kim, H.; Lee, E.; Lee, S.; et al. Dual gate photo-thin film transistor with high photoconductive gain for high reliability, and low noise flat panel transparent imager. In Proceedings of the International Electron Devices Meeting, Washington, DC, USA, 5–7 December 2011. [Google Scholar]
 - Kim, S.I.; Kim, C.J.; Park, J.; Song, I.; Kim, S.W.; Yin, H.; Lee, E.; Lee, J.C.; Park, Y. High Performance Oxide Thin Film Transistors with Double Active Layers. In Proceedings of the International Electron Devices Meeting, San Francisco, CA, USA, 15–17 December 2008. [Google Scholar]
 - Hong, S.; Lee, S.; Mativenga, M.; Jang, J. Reduction of Negative Bias and Light Instability of a-IGZO TFTs by Dual-Gate Driving. IEEE Electron. Device Lett. 2014, 35, 93–95. [Google Scholar] [CrossRef]
 - Ku, D.Y.; Kim, I.H.; Lee, I.; Lee, K.S.; Lee, T.S.; Jeong, J.-h.; Cheong, B.; Baik, Y.-J.; Kim, W.M. Structural and electrical properties of sputtered indium–zinc oxide thin films. Thin Solid Film. 2006, 515, 1364–1369. [Google Scholar] [CrossRef]
 - Gonçalves, G.; Elangovan, E.; Barquinha, P.; Pereira, L.; Martins, R.; Fortunato, E. Influence of post-annealing temperature on the properties exhibited by ITO, IZO and GZO thin films. Thin Solid Film. 2007, 515, 8562–8566. [Google Scholar] [CrossRef]
 - Jung, Y.S.; Seoa, J.Y.; Leea, D.W.; Jeon, D.Y. Influence of DC magnetron sputtering parameters on the properties of amorphous indium zinc oxide thin film. Thin Solid Film. 2003, 445, 63–71. [Google Scholar] [CrossRef]
 - Lee, C.; Lee, W.; Kim, H.; Kim, H.W. Influence of annealing atmosphere on the structure, resistivity and transmittance of InZnO thin films. Ceram. Int. 2008, 34, 1089–1092. [Google Scholar] [CrossRef]
 - Lim, W.; Wang, Y.-L.; Renb, F.; Norton, D.P.; Kravchenko, I.I.; Zavada, J.M.; Pearton, S.J. Indium zinc oxide thin films deposited by sputtering at room temperature. Appl. Surf. Sci. 2008, 254, 2878–2881. [Google Scholar] [CrossRef]
 - Sato, A.; Abe, K.; Hayashi, R.; Kumomi, H.; Nomura, K.; Kamiya, T.; Hirano, M.; Hosono, H. Amorphous In–Ga–Zn–O coplanar homojunction thin-film transistor. Appl. Phys. Lett. 2009, 94, 133502. [Google Scholar] [CrossRef]
 - Lee, Y.-S.; Yen, T.-W.; Lin, C.-I.; Lin, H.-C.; Yeh, Y. Electrical characteristics of amorphous In–Ga–Zn–O thin-film transistors prepared by radio frequency magnetron sputtering with varying oxygen flows. Displays 2014, 35, 165–170. [Google Scholar] [CrossRef]
 - Lee, Y.-S.; Wang, Y.-H.; Tien, T.-C.; Hsieh, T.-E.; Lai, C.-H. Electrical Characteristics and Stability Improvement of Top-Gate In-Ga-Zn-O Thin-Film Transistors with Al2O3/TEOS Oxide Gate Dielectrics. Coatings 2020, 10, 1146. [Google Scholar] [CrossRef]
 - Tang, Z.K.; Wong, G.K.L.; Yu, P.; Kawasaki, M.; Ohtomo, A.; Koinuma, H.; Segawa, Y. Room-temperature ultraviolet laser emission from self-assembled ZnO microcrystallite thin films. Appl. Phys. Lett. 1998, 72, 3270–3272. [Google Scholar] [CrossRef]
 - Minegishi, K.; Koiwai, Y.; Kikuchi, Y. Growth of p-type Zinc Oxide Films by Chemical Vapor Deposition. Jpn. J. Appl. Phys. 1997, 36, L1453. [Google Scholar] [CrossRef]
 - Lei, P.; Yan, X.C.Y.; Peng, J.; Hao, C.; Ji, J.; Huo, Z. Transparent and conductive IZO films: Oxygen and discharge voltage controlled sputtering growth and properties. Vacuum 2022, 195, 110645. [Google Scholar] [CrossRef]
 - Naghavi, N.; Marcel, C.; Dupont, L.; Rougier, A.; Leriche, J.-B.; Guery, C. Structural and physical characterisation of transparent conducting pulsed laser deposited In2O3–ZnO thin films. J. Mater. Chem. 2000, 10, 2315–2319. [Google Scholar] [CrossRef]
 - Song, D.; Windenborg, P.; Chin, W.; Aberle, A. Investigation of lateral parameter variations of Al-doped zinc oxide films prepared on glass substrates by RF magnetron sputtering. Sol. Energy Mater. Sol. Cells 2002, 73, 1–20. [Google Scholar] [CrossRef]
 - Barquinha, P.; Pereira, L.; Gonçalves, G.; Martins, R.; Fortunato, E. The effect of deposition conditions and annealing on the performance of high-mobility GIZO TFTs. Electrochem. Solid-State Lett. 2008, 11, H248–H251. [Google Scholar] [CrossRef]
 












| Power (W) | Vth (V) | S.S. (V/decade) | μFE (cm2/V·s) | Ion (A) | Ioff (A) | 
|---|---|---|---|---|---|
| 75 | −0.24 ± 0.17 | 0.62 ± 0.11 | 5.51 ± 0.40 | 5.92 × 10−7 | 3.7 × 10−13 | 
| 125 | 0.33 ± 0.04 | 0.85 ± 0.06 | 12.31 ± 0.39 | 2.09 × 10−6 | 7.6 × 10−13 | 
| 150 | 2.11 ± 0.22 | 1.22 ± 0.05 | 9.89 ± 0.98 | 1.82 × 10−6 | 7.1 × 10−13 | 
| Tanneal (°C) | Vth (V) | S.S. (V/decade) | μFE (cm2/V·s) | Ion (A) | Ioff (A) | 
|---|---|---|---|---|---|
| Pristine | 6.6 ± 0.01 | 1.88 ± 0.16 | 4.71 ± 0.04 | 4.69 × 10−7 | 4 × 10−13 | 
| 200 | 4.08 ± 0.07 | 1.39 ± 0.03 | 6.20 ± 0.02 | 8.76 × 10−7 | 4.5 × 10−13 | 
| 300 | 0.33 ± 0.04 | 0.85 ± 0.06 | 12.31 ± 0.39 | 2.09 × 10−6 | 7.6 × 10−13 | 
| 400 | NA | NA | NA | 2.8 × 10−5 | 8.65 × 10−6 | 
Disclaimer/Publisher’s Note: The statements, opinions and data contained in all publications are solely those of the individual author(s) and contributor(s) and not of MDPI and/or the editor(s). MDPI and/or the editor(s) disclaim responsibility for any injury to people or property resulting from any ideas, methods, instructions or products referred to in the content.  | 
© 2025 by the authors. Licensee MDPI, Basel, Switzerland. This article is an open access article distributed under the terms and conditions of the Creative Commons Attribution (CC BY) license (https://creativecommons.org/licenses/by/4.0/).
Share and Cite
Lee, Y.-S.; Chang, C.-H.; Le, B.-S.; Nguyen, V.-T.T.; Tien, T.-C.; Lin, H.-C. Effects of Deposition Power and Annealing Temperature on Indium Zinc Oxide (IZO) Film’s Properties and Their Applications to the Source–Drain Electrodes of Amorphous Indium Gallium Zinc Oxide (a-IGZO) Thin-Film Transistors (TFTs). Nanomaterials 2025, 15, 780. https://doi.org/10.3390/nano15110780
Lee Y-S, Chang C-H, Le B-S, Nguyen V-TT, Tien T-C, Lin H-C. Effects of Deposition Power and Annealing Temperature on Indium Zinc Oxide (IZO) Film’s Properties and Their Applications to the Source–Drain Electrodes of Amorphous Indium Gallium Zinc Oxide (a-IGZO) Thin-Film Transistors (TFTs). Nanomaterials. 2025; 15(11):780. https://doi.org/10.3390/nano15110780
Chicago/Turabian StyleLee, Yih-Shing, Chih-Hsiang Chang, Bing-Shin Le, Vo-Truong Thao Nguyen, Tsung-Cheng Tien, and Horng-Chih Lin. 2025. "Effects of Deposition Power and Annealing Temperature on Indium Zinc Oxide (IZO) Film’s Properties and Their Applications to the Source–Drain Electrodes of Amorphous Indium Gallium Zinc Oxide (a-IGZO) Thin-Film Transistors (TFTs)" Nanomaterials 15, no. 11: 780. https://doi.org/10.3390/nano15110780
APA StyleLee, Y.-S., Chang, C.-H., Le, B.-S., Nguyen, V.-T. T., Tien, T.-C., & Lin, H.-C. (2025). Effects of Deposition Power and Annealing Temperature on Indium Zinc Oxide (IZO) Film’s Properties and Their Applications to the Source–Drain Electrodes of Amorphous Indium Gallium Zinc Oxide (a-IGZO) Thin-Film Transistors (TFTs). Nanomaterials, 15(11), 780. https://doi.org/10.3390/nano15110780
        
