Carbonized Apples and Quinces Stillage for Electromagnetic Shielding
Abstract
1. Introduction
2. Materials and Methods
- Stillages were first diluted, using demineralized water produced by the Millipore Milli-Q® water system, Burlington, MA, USA. The volume ratio of stillage to water was 1:2.
- Diluted stillage was mechanically homogenized: the mixtures were homogenized mechanically using a kitchen chopper with a power of 2000 W in 4 cycles for 15 min. Large particles and fragments of the starting materials that could lead to inhomogeneity in the resulting material were removed by filtration through filter paper.
- Homogenized, diluted stillage was filtrated: the resulting solution was filtered through a Whatman Filter Paper, Grade 4 (20–24 µm particle retention, Whatman plc, Maidstone, UK). The collected filtrate was used for further production, while the material left on the surface of the filter paper was discarded.
- Drying of the filtrates: after collecting filtrates, they were dried at atmospheric pressure at 85 °C. Consequently, black powders were obtained.
- Pre-carbonization step: to achieve carbonization, dried biomass was mixed with KOH (reagent grade, 90%, flakes, Sigma Aldrich, St. Louis, MO, USA) in a mass ratio of 1:1.
- Carbonization step: samples were heated for 1 h at 850 °C in the stream of N2.
- Cleaning step: after carbonization, the samples were washed with demineralized water to remove KOH. Specifically, black powders obtained after carbonization were immersed in water. The powders were separated from water by simple decantation after clean water was added to the powder. The procedure was repeated until the pH was 7.
- After KOH was removed, black powders were collected and dried at 70 °C at a reduced pressure.
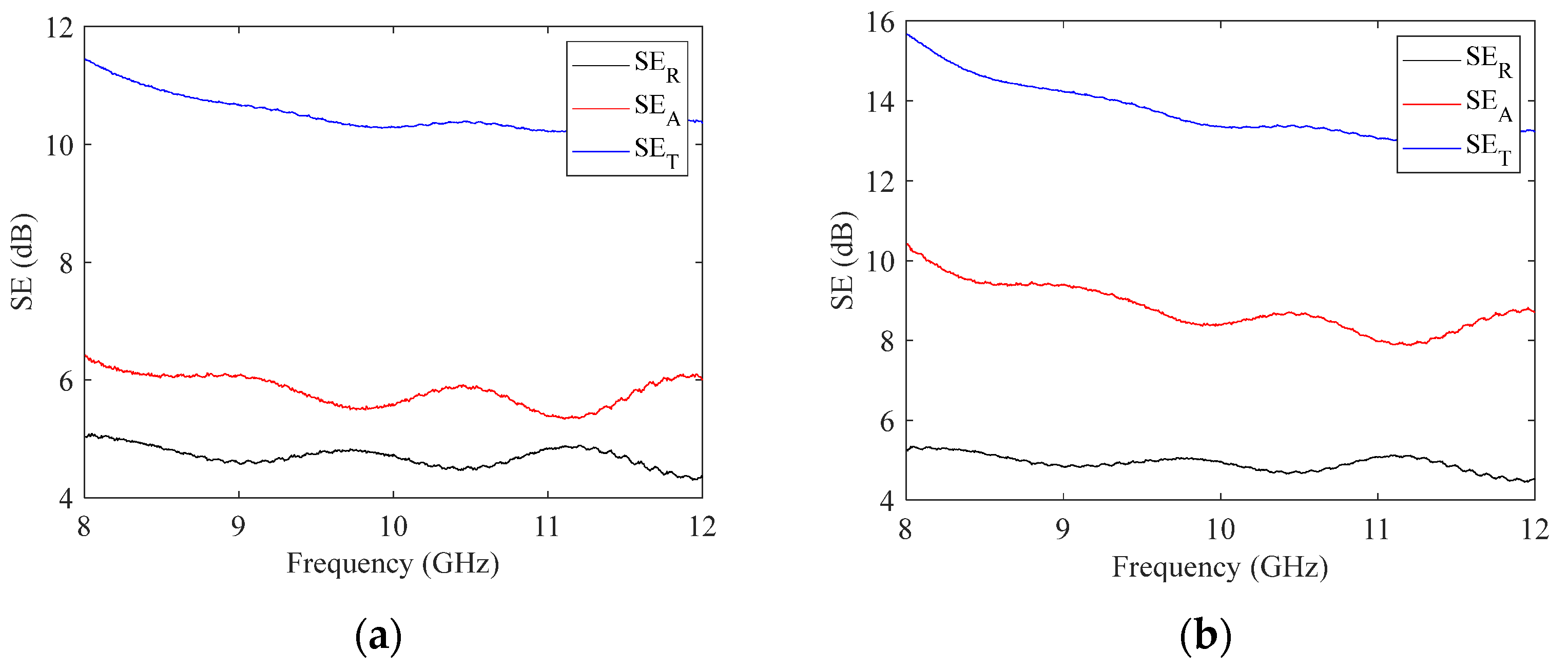
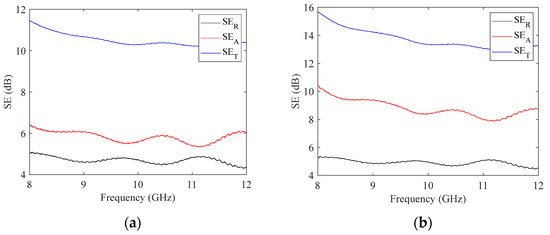
3. Results and Discussion
4. Conclusions
Supplementary Materials
Author Contributions
Funding
Data Availability Statement
Acknowledgments
Conflicts of Interest
References
- Zhao, B.; Hamidinejad, M.; Wang, S.; Bai, P.; Che, R.; Zhang, R.; Park, C.B. Advances in electromagnetic shielding properties of composite foams. J. Mater. Chem. A 2021, 9, 8896–8949. [Google Scholar] [CrossRef]
- Shukla, V. Review of electromagnetic interference shielding materials fabricated by iron ingredients. Nanoscale Adv. 2019, 1, 1640–1671. [Google Scholar] [CrossRef] [PubMed]
- Jeon, Y.-J.; Yun, J.-H.; Kang, M.-S. Analysis of Electromagnetic Shielding Properties of a Material Developed Based on Silver-Coated Copper Core-Shell Spraying. Materials 2022, 15, 5448. [Google Scholar] [CrossRef] [PubMed]
- Hung, F. The effect of Sn-Al-C composite powders on the electromagnetic interference shielding of capsule building materials. IOP Conf. Ser. Mater. Sci. Eng. 2019, 474, 012035. [Google Scholar] [CrossRef]
- Sathish Kumar, K.; Rengaraj, R.; Venkatakrishnan, G.R.; Chandramohan, A. Polymeric materials for electromagnetic shielding—A review. Mater. Today Proc. 2021, 47, 4925–4928. [Google Scholar] [CrossRef]
- Ji, H.; Zhao, R.; Zhang, N.; Jin, C.; Lu, X.; Wang, C. Lightweight and flexible electrospun polymer nanofiber/metal nanoparticle hybrid membrane for high-performance electromagnetic interference shielding. NPG Asia Mater. 2018, 10, 749–760. [Google Scholar] [CrossRef]
- Liu, P.; Hong Ng, V.M.; Yao, Z.; Zhou, J.; Lei, Y.; Yang, Z.; Lv, H.; Kong, B.L. Facile Synthesis and Hierarchical Assembly of Flowerlike NiO Structures with Enhanced Dielectric and Microwave Absorption Properties. ACS Appl. Mater. Interf. 2017, 9, 16404–16416. [Google Scholar] [CrossRef]
- Liu, J.-H.; Huang, Y.-S. Development of Microwave Filters with Tunable Frequency and Flexibility Using Carbon Nanotube Paper. Nanomaterials 2023, 13, 2497. [Google Scholar] [CrossRef]
- Auffan, M.; Rose, J.; Wiesner, M.R.; Bottero, J.-Y. Chemical stability of metallic nanoparticles: A parameter controlling their potential cellular toxicity in vitro. Environ. Pollut. 2009, 157, 1127–1133. [Google Scholar] [CrossRef]
- Nezakati, T.; Seifalian, A.; Tan, A.; Seifalian, A.M. Conductive Polymers: Opportunities and Challenges in Biomedical Applications. Chem. Rev. 2018, 118, 6766–6843. [Google Scholar] [CrossRef]
- Shen, B.; Zhai, W.; Zheng, W. Ultrathin Flexible Graphene Film: An Excellent Thermal Conducting Material with Efficient EMI Shielding. Adv. Funct. Mater. 2014, 24, 4542–4548. [Google Scholar] [CrossRef]
- Jia, H.; Yang, X.; Kong, Q.-Q.; Xie, L.-J.; Guo, Q.-G.; Song, G.; Liang, L.-L.; Chen, J.-P.; Li, Y.; Chen, C.-M. Free-standing, anti-corrosion, super flexible graphene oxide/silver nanowire thin films for ultra-wideband electromagnetic interference shielding. J. Mater. Chem. A 2021, 9, 1180–1191. [Google Scholar] [CrossRef]
- Oliveira, F.M.; Luxa, J.; Bouša, D.; Sofer, Z.; Gusmão, R. Electromagnetic Interference Shielding by Reduced Graphene Oxide Foils. ACS Appl. Nano Mater. 2022, 5, 6792–6800. [Google Scholar] [CrossRef]
- Hong, S.K.; Kim, K.Y.; Kim, T.Y.; Kim, J.H.; Park, S.W.; Kim, J.H.; Cho, B.J. Electromagnetic interference shielding effectiveness of monolayer graphene. Nanotechnology 2012, 23, 455704. [Google Scholar] [CrossRef]
- Zhang, L.; Alvarez, N.T.; Zhang, M.; Haase, M.; Malik, R.; Mast, D.; Shanov, V. Preparation and characterization of graphene paper for electromagnetic interference shielding. Carbon 2015, 82, 353–359. [Google Scholar] [CrossRef]
- Shahzad, F.; Kumar, P.; Yu, S.; Lee, S.; Kim, Y.-H.; Hong, S.M.; Koo, C.M. Sulfur-doped graphene laminates for EMI shielding applications. J. Mater. Chem. C 2015, 3, 9802–9810. [Google Scholar] [CrossRef]
- Lin, S.; Ju, S.; Shi, G.; Zhang, J.; He, Y.; Jiang, D. Ultrathin nitrogen-doping graphene films for flexible and stretchable EMI shielding materials. J. Mater. Sci. 2019, 54, 7165–7179. [Google Scholar] [CrossRef]
- Kumar, P.; Shahzad, F.; Yu, S.; Hong, S.M.; Kim, Y.-H.; Koo, C.M. Large-area reduced graphene oxide thin film with excellent thermal conductivity and electromagnetic interference shielding effectiveness. Carbon 2015, 94, 494–500. [Google Scholar] [CrossRef]
- Jovanović, S.; Huskić, M.; Kepić, D.; Yasir, M.; Haddadi, K. A review on graphene and graphene composites for application in electromagnetic shielding. Graphene 2D Mater. 2023, 8, 59–80. [Google Scholar] [CrossRef]
- Hong, X.; Peng, T.; Zhu, C.; Wan, J.; Li, Y. Electromagnetic shielding, resistance temperature-sensitive behavior, and decoupling of interfacial electricity for reduced graphene oxide paper. J. Alloys Compd. 2021, 882, 160756. [Google Scholar] [CrossRef]
- Shen, B.; Zhai, W.; Tao, M.; Ling, J.; Zheng, W. Graphene-based sandwich structures for frequency selectable electromagnetic shielding. ACS Appl. Mater. Inter. 2017, 9, 36119–36129. [Google Scholar] [CrossRef]
- Zhou, E.; Xi, J.; Liu, Y.; Xu, Z.; Guo, Y.; Peng, L.; Gao, W.; Ying, J.; Chen, Z.; Gao, C. Large-area potassium-doped highly conductive graphene films for electromagnetic interference shielding. Nanoscale 2017, 9, 18613–18618. [Google Scholar] [CrossRef]
- Kumar, P.; Shahzad, F.; Hong, S.M.; Koo, C.M. A flexible sandwich graphene/silver nanowires/graphene thin film for high-performance electromagnetic interference shielding. RSC Adv. 2016, 6, 101283–101287. [Google Scholar] [CrossRef]
- Mikucka, W.; Zielińska, M. Distillery Stillage: Characteristics, Treatment, and Valorization. Appl. Biochem. Biotechnol. 2020, 192, 770–793. [Google Scholar] [CrossRef]
- Gebreeyessus, G.D.; Mekonnen, A.; Alemayehu, E. A review on progresses and performances in distillery stillage management. J. Clean. Prod. 2019, 232, 295–307. [Google Scholar] [CrossRef]
- Sajbrt, V.; Rosol, M.; Ditl, P. A Comparison of Distillery Stillage Disposal Methods. Acta Polytech. 2010, 50, 63–69. [Google Scholar] [CrossRef] [PubMed]
- Mikucka, W.; Zielińska, M.; Bułkowska, K.; Witońska, I. Valorization of distillery stillage by polyphenol recovery using microwave-assisted, ultrasound-assisted and conventional extractions. J. Environ. Manag. 2022, 322, 116150. [Google Scholar] [CrossRef]
- Yasir, M.; di Summa, D.; Ruscica, G.; Natali Sora, I.; Savi, P. Shielding Properties of Cement Composites Filled with Commercial Biochar. Electronics 2020, 9, 819. [Google Scholar] [CrossRef]
- Yasir, M.; Savi, P. Shielding Effectiveness of Biochar Composites at Microwave Frequency. In Biochar; IOP Publishing: Bristol, UK, 2020; pp. 8-1–8-12. [Google Scholar] [CrossRef]
- Savi, P.; Yasir, M. Waveguide measurements of biochar derived from sewage sludge. Electron. Lett. 2020, 56, 335–337. [Google Scholar] [CrossRef]
- Li, H.; Lu, X.; Yuan, D.; Sun, Y.; Erden, F.; Wang, F.; He, C. Lightweight flexible carbon nanotube/polyaniline films with outstanding EMI shielding property. J. Mater. Chem. C 2017, 5, 8694–8698. [Google Scholar] [CrossRef]
- Godlewska, P.; Ok, Y.S.; Oleszczuk, P. THE DARK SIDE OF BLACK GOLD: Ecotoxicological aspects of biochar and biochar-amended soils. J. Hazard. Mater. 2021, 403, 123833. [Google Scholar] [CrossRef] [PubMed]
- Jovanovic, S.; Bonasera, A.; Dorontic, S.; Zmejkoski, D.; Milivojevic, D.; Janakiev, T.; Todorovic Markovic, B. Antioxidative and Photo-Induced Effects of Different Types of N-Doped Graphene Quantum Dots. Materials 2022, 15, 6525. [Google Scholar] [CrossRef]
- Huskić, M.; Kepić, D.; Kleut, D.; Mozetič, M.; Vesel, A.; Anžlovar, A.; Bogdanović, D.B.; Jovanović, S. The Influence of Reaction Conditions on the Properties of Graphene Oxide. Nanomaterials 2024, 14, 281. [Google Scholar] [CrossRef]
- Coates, J. Interpretation of Infrared Spectra, A Practical Approach. In Encyclopedia of Analytical Chemistry; John Wiley & Sons, Ltd.: Hoboken, NJ, USA, 2006. [Google Scholar]
- Jiang, J.; Yuan, M.; Xu, R.; Bish, D.L. Mobilization of phosphate in variable-charge soils amended with biochars derived from crop straws. Soil. Till Res. 2015, 146, 139–147. [Google Scholar] [CrossRef]
- Kim, N.H.; Kuila, T.; Lee, J.H. Simultaneous reduction, functionalization and stitching of graphene oxide with ethylenediamine for composites application. J. Mater. Chem. A 2013, 1, 1349–1358. [Google Scholar] [CrossRef]
- Park, O.-K.; Hahm, M.G.; Lee, S.; Joh, H.-I.; Na, S.-I.; Vajtai, R.; Lee, J.H.; Ku, B.-C.; Ajayan, P.M. In Situ Synthesis of Thermochemically Reduced Graphene Oxide Conducting Nanocomposites. Nano Lett. 2012, 12, 1789–1793. [Google Scholar] [CrossRef]
- Cheruku, R.; Bhaskaram, D.S.; Govindaraj, G. Variable range hopping and relaxation mechanism in graphene oxide sheets containing sp3 hybridization induced localization. J. Mater. Sci. Mater. Electron. 2018, 29, 9663–9672. [Google Scholar] [CrossRef]
- Ferrari, A.C.; Basko, D.M. Raman spectroscopy as a versatile tool for studying the properties of graphene. Nat. Nanotechnol. 2013, 8, 235–246. [Google Scholar] [CrossRef]
- Park, J.S.; Reina, A.; Saito, R.; Kong, J.; Dresselhaus, G.; Dresselhaus, M.S. G′ band Raman spectra of single, double and triple layer graphene. Carbon 2009, 47, 1303–1310. [Google Scholar] [CrossRef]
- Rajagopal, R.; Komiyama, M.; Borhan, A. Preparation of Graphene Oxide from Lignin by Gel Combustion Method and Its Performance as Supercapacitor. E3S Web Conf. 2021, 287, 04007. [Google Scholar] [CrossRef]
- Knight, D.S.; White, W.B. Characterization of diamond films by Raman spectroscopy. J. Mater. Res. 1989, 4, 385–393. [Google Scholar] [CrossRef]
- Kim, S.-G.; Park, O.-K.; Lee, J.; Ku, B.-C. Layer-by-layer assembled graphene oxide films and barrier properties of thermally reduced graphene oxide membranes. Carbon Lett. 2013, 14, 247–250. [Google Scholar] [CrossRef]
- Yiga, V.A.; Nuwamanya, A.; Birungi, A.; Lubwama, M.; Lubwama, H.N. Development of carbonized rice husks briquettes: Synergy between emissions, combustion, kinetics and thermodynamic characteristics. Energy Rep. 2023, 9, 5977–5991. [Google Scholar] [CrossRef]
- Setter, C.; Oliveira, T.J.P. Evaluation of the physical-mechanical and energy properties of coffee husk briquettes with kraft lignin during slow pyrolysis. Renew. Energy 2022, 189, 1007–1019. [Google Scholar] [CrossRef]
- Setter, C.; Silva, F.T.M.; Assis, M.R.; Ataíde, C.H.; Trugilho, P.F.; Oliveira, T.J.P. Slow pyrolysis of coffee husk briquettes: Characterization of the solid and liquid fractions. Fuel 2020, 261, 116420. [Google Scholar] [CrossRef]
- Ojha, D.K.; Kumar, V.S.P.; Vinu, R. Analytical pyrolysis of bagasse and groundnut shell briquettes: Kinetics and pyrolysate composition studies. Bioresour. Technol. Rep. 2021, 15, 100784. [Google Scholar] [CrossRef]
- Ogwang, I.; Kasedde, H.; Nabuuma, B.; Kirabira, J.B.; Lwanyaga, J.D. Characterization of Biogas Digestate for Solid Biofuel Production in Uganda. Sci. Afr. 2021, 12, e00735. [Google Scholar] [CrossRef]
- Jagnade, P.; Panwar, N.L.; Agarwal, C. Experimental Investigation of Kinetic Parameters of Bamboo and Bamboo Biochar Using Thermogravimetric Analysis Under Non-isothermal Conditions. BioEnergy Res. 2023, 16, 1143–1155. [Google Scholar] [CrossRef]
- Yap, P.L.; Kabiri, S.; Tran, D.N.H.; Losic, D. Multifunctional Binding Chemistry on Modified Graphene Composite for Selective and Highly Efficient Adsorption of Mercury. ACS Appl. Mater. Interf. 2019, 11, 6350–6362. [Google Scholar] [CrossRef]
- Melamane, X.; Strong, J.; Burgess, J. Treatment of Wine Distillery Wastewater: A Review with Emphasis on Anaerobic Membrane Reactors. SAJEV 2007, 28, 25–36. [Google Scholar] [CrossRef]
- Farivar, F.; Lay Yap, P.; Karunagaran, R.U.; Losic, D. Thermogravimetric Analysis (TGA) of Graphene Materials: Effect of Particle Size of Graphene, Graphene Oxide and Graphite on Thermal Parameters. C 2021, 7, 41. [Google Scholar] [CrossRef]
- Ojha, K.; Kumar, B.; Ganguli, A.K. Biomass derived graphene-like activated and non-activated porous carbon for advanced supercapacitors. J. Chem. Sci. 2017, 129, 397–404. [Google Scholar] [CrossRef]
- Park, J.; Kwac, L.K.; Kim, H.G.; Park, K.-Y.; Koo, K.W.; Ryu, D.-H.; Shin, H.K. Electromagnetic-Interference-Shielding Effectiveness of Lyocell-Based Carbon Fabrics Carbonized at Various Temperatures. Molecules 2022, 27, 5392. [Google Scholar] [CrossRef] [PubMed]
- Osman, A.I.; Farrell, C.; Al-Muhtaseb, A.a.H.; Harrison, J.; Rooney, D.W. The production and application of carbon nanomaterials from high alkali silicate herbaceous biomass. Sci. Rep. 2020, 10, 2563. [Google Scholar] [CrossRef]
- Park, J.; Kwac, L.K.; Kim, H.G.; Shin, H.K.J.N. Fabrication and characterization of waste wood cellulose fiber/graphene nanoplatelet carbon papers for application as electromagnetic interference shielding materials. Nanomaterials 2021, 11, 2878. [Google Scholar] [CrossRef]
- Aïssa, B.; Sinopoli, A.; Ali, A.; Zakaria, Y.; Zekri, A.; Helal, M.; Nedil, M.; Rosei, F.; Mansour, S.; Mahmoud, K.J.C. Nanoelectromagnetic of a highly conductive 2D transition metal carbide (MXene)/Graphene nanoplatelets composite in the EHF M-band frequency. Carbon 2021, 173, 528–539. [Google Scholar] [CrossRef]
- Hossain, M.S.; Jahan, S.A.; Ahmed, S. Crystallographic characterization of bio-waste material originated CaCO3, green-synthesized CaO and Ca(OH)2. Results Chem. 2023, 5, 100822. [Google Scholar] [CrossRef]
- Sing, K.S.W. Reporting physisorption data for gas/solid systems with special reference to the determination of surface area and porosity (Recommendations 1984). Pure Appl. Chem. 1985, 57, 603–619. [Google Scholar] [CrossRef]
- Tompsett, G.A.; Krogh, L.; Griffin, D.W.; Conner, W.C. Hysteresis and Scanning Behavior of Mesoporous Molecular Sieves. Langmuir 2005, 21, 8214–8225. [Google Scholar] [CrossRef]
- Mohan, D.; Rajput, S.; Singh, V.K.; Steele, P.H.; Pittman, C.U. Modeling and evaluation of chromium remediation from water using low cost bio-char, a green adsorbent. J. Hazard. Mater. 2011, 188, 319–333. [Google Scholar] [CrossRef]
- Fahmi, A.H.; Samsuri, A.W.; Jol, H.; Singh, D. Physical modification of biochar to expose the inner pores and their functional groups to enhance lead adsorption. RSC Adv. 2018, 8, 38270–38280. [Google Scholar] [CrossRef] [PubMed]
- Wang, Y.; Song, T.; Zhang, P.; Huang, T.; Wang, T.; Wang, T.; Zeng, H. Gas-Exfoliation Assisted Fabrication of Porous Graphene Nanosheets Derived from Plumeria rubra for Highly Efficient Photocatalytic Hydrogen Evolution. ACS Sustain. Chem. Eng. 2018, 6, 11536–11546. [Google Scholar] [CrossRef]
- Wang, L.; Su, B.; Zhao, X.; Li, X.; Han, S.; Jiang, J. Appropriate Design of Electrode Material by Bio-Derived Nanopores Structure for Symmetric Supercapacitors. Energy Fuels 2020, 34, 8956–8965. [Google Scholar] [CrossRef]
- Wei, F.; Bi, H.; Jiao, S.; He, X. Interconnected Graphene-like Nanosheets for Supercapacitors. Acta Phys.-Chim. Sin. 2020, 36, 1903043. [Google Scholar] [CrossRef]
- Sun, Z.; Zheng, M.; Hu, H.; Dong, H.; Liang, Y.; Xiao, Y.; Lei, B.; Liu, Y. From biomass wastes to vertically aligned graphene nanosheet arrays: A catalyst-free synthetic strategy towards high-quality graphene for electrochemical energy storage. J. Chem. Eng. 2018, 336, 550–561. [Google Scholar] [CrossRef]
- Gharehkhani, S.; Seyed Shirazi, S.F.; Pilban Jahromi, S.; Sookhakian, M.; Baradaran, S.; Yarmand, H.; Ataollahi Oshkour, A.; Kazi, S.N.; Basirun, W.J. Spongy nitrogen-doped activated carbonaceous hybrid derived from biomass material/graphene oxide for supercapacitor electrodes. RSC Adv. 2015, 5, 40505–40513. [Google Scholar] [CrossRef]
- Lin, S.; Ju, S.; Zhang, J.; Shi, G.; He, Y.; Jiang, D. Ultrathin flexible graphene films with high thermal conductivity and excellent EMI shielding performance using large-sized graphene oxide flakes. RSC Adv. 2019, 9, 1419–1427. [Google Scholar] [CrossRef]
- Cheng, Z.; Wang, R.; Wang, Y.; Cao, Y.; Shen, Y.; Huang, Y.; Chen, Y.J.C. Recent advances in graphene aerogels as absorption-dominated electromagnetic interference shielding materials. Carbon 2023, 205, 112–137. [Google Scholar] [CrossRef]
- Yang, Y.; Wan, C.; Huang, Q.; Hua, J. Pore-Rich Cellulose-Derived Carbon Fiber@Graphene Core-Shell Composites for Electromagnetic Interference Shielding. Nanomaterials 2022, 13, 174. [Google Scholar] [CrossRef]
- Zhou, X.; Wen, J.; Wang, Z.; Ma, X.; Wu, H. Size-controllable porous flower-like NiCo2O4 fabricated via sodium tartrate assisted hydrothermal synthesis for lightweight electromagnetic absorber. J. Colloid Interface Sci. 2021, 602, 834–845. [Google Scholar] [CrossRef]
- Shi, S.; Jiang, Y.; Ren, H.; Deng, S.; Sun, J.; Cheng, F.; Jing, J.; Chen, Y. 3D-Printed Carbon-Based Conformal Electromagnetic Interference Shielding Module for Integrated Electronics. Nano-Micro Lett. 2024, 16, 85. [Google Scholar] [CrossRef] [PubMed]
- Li, J.; Sun, H.; Yi, S.Q.; Zou, K.-K.; Zhang, D.; Zhong, G.-J.; Yan, D.-X.; Li, Z.-M. Flexible Polydimethylsiloxane Composite with Multi-Scale Conductive Network for Ultra-Strong Electromagnetic Interference Protection. Nano-Micro Lett. 2023, 15, 15. [Google Scholar] [CrossRef] [PubMed]











| BA | BQ | ||||
|---|---|---|---|---|---|
| Element | wt% | Atomic% | Element | wt% | Atomic% | 
| C | 77.82 | 85.18 | C | 75.66 | 83.05 | 
| O | 13.90 | 11.43 | O | 16.49 | 13.59 | 
| Mg | 0.56 | 0.30 | Mg | 1.90 | 1.03 | 
| Al | 0.48 | 0.24 | Al | 0.25 | 0.12 | 
| Si | 4.21 | 1.97 | Si | 2.33 | 1.09 | 
| S | 0.11 | 0.04 | P | 0.26 | 0.11 | 
| K | 0.62 | 0.21 | S | 0.21 | 0.09 | 
| Ca | 0.99 | 0.32 | K | 0.28 | 0.09 | 
| Fe | 1.30 | 0.31 | Ca | 2.22 | 0.73 | 
| Sample | G Position | ID/IG | La = 4.4 (ID/IG)−1 | 
|---|---|---|---|
| BA | 1583 | 0.96 | 4.58 | 
| BQ | 1588 | 0.98 | 4.48 | 
| GO | 1580 | 0.88–0.95 [34] | 5.00 | 
| Graphite | 1575 | 0.04 [44] | 110 | 
| Sample | C1s | O1s | N1s | ||||
|---|---|---|---|---|---|---|---|
| Bond | C-C/C=C | C=O | C-O | C-O | Metal Carbonate | C=O | C-NH2 | 
| BA | 56.43 | 17.36 | 26.21 | 57.17 | 1.89 | 40.95 | 100 | 
| BQ | 29.98 | 12.68 | 57.34 | 5.77 | 8.47 | 85.76 | 100 | 
| Parameter | BQ | BA | 
|---|---|---|
| SSA (BET) (m2g−1) | 1618 | 1260 | 
| Micropore t-test (cm3g−1) | 0.70 | 0.52 | 
| Micropore HK method (cm3g−1) | 0.74 | 0.55 | 
| BJH Total pore volume (cm3g−1) | 0.22 | 0.21 | 
| Average pore diameter (nm) | 2.19 | 2.22 | 
| Total pore volume (cm3g−1) for pores <nm diameter | 0.89 | 0.70 | 
| Disclaimer/Publisher’s Note: The statements, opinions and data contained in all publications are solely those of the individual author(s) and contributor(s) and not of MDPI and/or the editor(s). MDPI and/or the editor(s) disclaim responsibility for any injury to people or property resulting from any ideas, methods, instructions or products referred to in the content. | 
© 2024 by the authors. Licensee MDPI, Basel, Switzerland. This article is an open access article distributed under the terms and conditions of the Creative Commons Attribution (CC BY) license (https://creativecommons.org/licenses/by/4.0/).
Share and Cite
Milenkovic, M.; Saeed, W.; Yasir, M.; Milivojevic, D.; Azmy, A.; Nassar, K.E.S.; Syrgiannis, Z.; Spanopoulos, I.; Bajuk-Bogdanovic, D.; Maletić, S.; et al. Carbonized Apples and Quinces Stillage for Electromagnetic Shielding. Nanomaterials 2024, 14, 1882. https://doi.org/10.3390/nano14231882
Milenkovic M, Saeed W, Yasir M, Milivojevic D, Azmy A, Nassar KES, Syrgiannis Z, Spanopoulos I, Bajuk-Bogdanovic D, Maletić S, et al. Carbonized Apples and Quinces Stillage for Electromagnetic Shielding. Nanomaterials. 2024; 14(23):1882. https://doi.org/10.3390/nano14231882
Chicago/Turabian StyleMilenkovic, Mila, Warda Saeed, Muhammad Yasir, Dusan Milivojevic, Ali Azmy, Kamal E. S. Nassar, Zois Syrgiannis, Ioannis Spanopoulos, Danica Bajuk-Bogdanovic, Snežana Maletić, and et al. 2024. "Carbonized Apples and Quinces Stillage for Electromagnetic Shielding" Nanomaterials 14, no. 23: 1882. https://doi.org/10.3390/nano14231882
APA StyleMilenkovic, M., Saeed, W., Yasir, M., Milivojevic, D., Azmy, A., Nassar, K. E. S., Syrgiannis, Z., Spanopoulos, I., Bajuk-Bogdanovic, D., Maletić, S., Kerkez, D., Barudžija, T., & Jovanović, S. (2024). Carbonized Apples and Quinces Stillage for Electromagnetic Shielding. Nanomaterials, 14(23), 1882. https://doi.org/10.3390/nano14231882
 
        








 
       