A thorough Investigation of Rare-Earth Dy3+ Substituted Cobalt-Chromium Ferrite and Its Magnetoelectric Nanocomposite
Abstract
1. Introduction
2. Materials and Methods
3. Results
3.1. Structural Aspects
3.2. Spectral Aspects
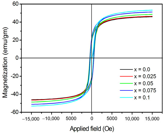
3.3. Magnetic Aspects
3.4. Magnetoelectric Properties
4. Conclusions
Author Contributions
Funding
Data Availability Statement
Conflicts of Interest
References
- Wang, M.; Jiang, C.; Zhang, S.; Song, X.; Tang, Y.; Cheng, H.M. Reversible calcium alloying enables a practical room-temperature rechargeable calcium-ion battery with a high discharge voltage. Nat. Chem. 2018, 10, 667–672. [Google Scholar] [CrossRef] [PubMed]
- Zhang, X.; Tang, Y.; Zhang, F.; Lee, C. A Novel Aluminum-Graphite Dual-Ion Battery. Adv. Energy Mater. 2016, 6, 1502588. [Google Scholar] [CrossRef]
- Friedrich, R.-M.; Sadeghi, M.; Faupel, F. Numerical and Experimental Study of Colored Magnetic Particle Mapping via Magnetoelectric Sensors. Nanomaterials 2023, 13, 347. [Google Scholar] [CrossRef] [PubMed]
- Ramesh, R.; Spaldin, N.A. Multiferroics: Progress and prospects in thin films. Nat. Mater. 2007, 6, 21–29. [Google Scholar] [CrossRef]
- Shirsath, S.E.; Assadi, M.H.N.; Zhang, J.; Kumar, N.; Gaikwad, A.S.; Yang, J.; Maynard-Casely, H.E.; Tay, Y.Y.; Du, J.; Wang, H.; et al. Interface-Driven Multiferroicity in Cubic BaTiO3-SrTiO3 Nanocomposites. ACS Nano 2022, 16, 15413–15424. [Google Scholar] [CrossRef]
- Choudhari, S.S.; Wadgane, S.R.; Gaikwad, B.P.; Satpute, S.S.; Batoo, K.M.; Aldossary, O.M.; Shirsath, S.E.; Kadam, R.H. Strain mediated enhancement in magnetoelectric properties of sonochemically synthesized piezoelectric and piezomagnetic composites. Ceram. Int. 2021, 47, 6496–6504. [Google Scholar] [CrossRef]
- Shirsath, S.E.; Liu, X.; Yasukawa, Y.; Li, S.; Morisako, A. Switching of magnetic easy-axis using crystal orientation for large perpendicular coercivity in CoFe2O4 thin film. Sci. Rep. 2016, 6, 30074. [Google Scholar] [CrossRef]
- Shirsath, S.E.; Wang, D.; Zhang, J.; Morisako, A.; Li, S.; Liu, X. Single-crystal-like textured growth of CoFe2O4 thin film on an amorphous substrate: A self-bilayer approach. ACS Appl. Electron. Mater 2020, 2, 3650–3657. [Google Scholar] [CrossRef]
- Ramos, A.V.; Santos, T.S.; Miao, G.X.; Guittet, M.-J.; Moussy, J.-B.; Moodera, J.S. Influence of oxidation on the spin-filtering properties of CoFe2O4 and the resultant spin polarization. Phys. Rev. B 2008, 78, 180402(R). [Google Scholar] [CrossRef]
- Zheng, H.; Wang, J.; Lofland, S.E.; Ma, Z.; Mohaddes-Ardabili, L.; Zhao, T.; Salamanca-Riba, L.; Shinde, S.R.; Ogale, S.B.; Bai, F.; et al. Multiferroic BaTiO3-CoFe2O4 nanostructures. Science 2004, 303, 661–663. [Google Scholar] [CrossRef]
- Shirsath, S.E.; Liu, X.; Assadi, M.H.N.; Younis, A.; Yasukawa, Y.; Karan, S.K.; Zhang, J.; Kim, J.; Wang, D.; Morisako, A.; et al. Au quantum dots engineered room temperature crystallization and magnetic anisotropy in CoFe2O4 thin films. Nanoscale Horiz. 2019, 4, 434–444. [Google Scholar] [CrossRef] [PubMed]
- Ansari, S.M.; Sinha, B.B.; Sen, D.; Sastry, P.U.; Kolekar, Y.D.; Ramana, C.V. Effect of Oleylamine on the Surface Chemistry, Morphology, Electronic Structure, and Magnetic Properties of Cobalt Ferrite Nanoparticles. Nanomaterials 2022, 12, 3015. [Google Scholar] [CrossRef] [PubMed]
- Toksha, B.G.; Shirsath, S.E.; Mane, M.L.; Patange, S.M.; Jadhav, S.S.; Jadhav, K.M. Auto-combustion high-temperature synthesis, structural and magnetic properties of CoCrxFe2−xO4 (0 ≤ x ≤ 1.0). J. Phys. Chem. C 2011, 115, 20905–20912. [Google Scholar] [CrossRef]
- Rezlescu, N.; Rezlescu, E.; Popa, P.D.; Rezlescu, L. Effects of rare-earth oxides on physical properties of Li–Zn ferrite. J. Alloys Compd. 1998, 275, 657–659. [Google Scholar] [CrossRef]
- Rezlescu, N.; Rezlescu, E. The influence of Fe substitutions by R ions in a Ni-Zn Ferrite. Solid State Commun. 1993, 88, 139–141. [Google Scholar] [CrossRef]
- Tahar, L.B.; Artus, M.; Ammar, S.; Smiri, L.S.; Herbst, F.; Vaulay, M.-J.; Richard, V.; Greneche, J.-M.; Villain, F.; Fievet, F. Magnetic properties of CoFe1.9RE0.1O4 nanoparticles (RE=La, Ce, Nd, Sm, Eu, Gd, Tb, Ho) prepared in polyol. J. Magn. Magn. Mater. 2008, 320, 3242–3250. [Google Scholar] [CrossRef]
- Jing, W.; Hong, Z.; Shuxin, B.; Ke, C.; Changrui, Z. Microwave absorbing properties of rare-earth elements substituted W-type barium ferrite. J. Magn. Magn. Mater. 2007, 312, 310–313. [Google Scholar] [CrossRef]
- Shi, J.; Zhao, Y.; Wu, Y.; Erbe, M.; Guo, C.; Chu, J.; Jiang, G.; Hänisch, J.; Holzapfel, B.; Jin, Z. Supersaturation and crystallization behaviors of rare-earth based cuprate superconducting films grown by chemical solution deposition. Appl. Surf. Sci. 2023, 612, 155820. [Google Scholar] [CrossRef]
- Liu, P.; Peng, J.; Chen, Y.; Liu, M.; Tang, W.; Guo, Z.H.; Yue, K. A general and robust strategy for in-situ templated synthesis of patterned inorganic nanoparticle assemblies. Giant 2021, 8, 100076. [Google Scholar] [CrossRef]
- Liu, P.; Yao, Z.; Zhou, J.; Yangad, Z.; Kong, L.B. Small magnetic Co-doped NiZn ferrite/graphene nanocomposites and their dual-region microwave absorption performance. J. Mater. Chem. C 2016, 4, 9738–9749. [Google Scholar] [CrossRef]
- Lisnevskaya, I.V.; Bobrova, I.A.; Lupeiko, T.G. Synthesis of magnetic and multiferroic materials from polyvinyl alcohol-based gels. J. Magn. Magn. Mater. 2016, 397, 86–95. [Google Scholar] [CrossRef]
- Shirsath, S.E.; Wang, D.; Jadhav, S.S.; Mane, M.L.; Li, S. Ferrites Obtained by Sol-Gel Method. In Handbook of Sol-Gel Science and Technology; Klein, L., Aparicio, M., Jitianu, A., Eds.; Springer: Cham, Switzerland, 2018; pp. 695–735. [Google Scholar]
- Lisnevskaya, I.V.; Bobrova, I.A.; Petrova, A.V.; Lupeiko, T.G. Low-temperature sol-gel synthesis of modified nickel ferrite. Russ. J. Inorg. Chem. 2012, 57, 474–477. [Google Scholar] [CrossRef]
- Shirsath, S.E.; Toksha, B.G.; Jadhav, K.M. Structural and magnetic properties of In3+ substituted NiFe2O4. Mater. Chem. Phys. 2009, 117, 163–168. [Google Scholar] [CrossRef]
- Shirsath, S.E.; Kadam, R.H.; Mane, M.L.; Ghesami, A.; Yasukawa, Y.; Liu, X.; Morisako, A. Permeability and magnetic interactions in Co2+ substituted Li0.5Fe2.5O4 alloys. J. Alloy. Comp. 2013, 575, 145–151. [Google Scholar] [CrossRef]
- Hall, W.H.; Williamson, G.K. The diffraction pattern of cold worked metals: I the nature of extinction. Proc. Phys. Society. Sect. B 1951, 64, 937–946. [Google Scholar] [CrossRef]
- Stokes, A.R.; Wilson, A.J. The diffraction of X rays by distorted crystal aggregates—I. Proc. Phys. Soc. 1944, 56, 174. [Google Scholar] [CrossRef]
- Williamson, G.K.; Hall, W.H. X-ray line broadening from filled aluminum and wolfram. Acta. Mater. 1953, 1, 22–31. [Google Scholar] [CrossRef]
- Tatarchuk, T.; Myslin, M.; Mironyuk, I.; Bououdina, M.; Pedziwar, A.T.; Gargula, R.; Bogacz, B.F.; Kurzydlo, P. Synthesis, morphology, crystallite size and absorption properties of nanostructured Mg-Zn ferrites with enhanced porous structure. J. Alloy. Comp. 2020, 819, 152945. [Google Scholar] [CrossRef]
- Kaur, G.A.; Shandilya, M.; Rana, P.; Thakur, S.; Uniyal, P. Modification of structural and magnetic properties of Co0.5Ni0.5Fe2O4 nanoparticles embedded polyvinylidene fluoride nanofiber membrane via electro-spinning method. Nano-Struct. Nano-Opjc. 2020, 22, 100428. [Google Scholar] [CrossRef]
- Kuru, M.; Kuru, T.S.; Karaca, E.; Bagci, S. Dielectric, magnetic and humidity properties of Mg-Zn-Cr ferrites. J. Alloy. Comp. 2020, 836, 155318. [Google Scholar] [CrossRef]
- Cullity, B.D. Elements of X-ray Diffraction; Addison-Wesley: Boston, MA, USA, 1956; pp. 474–476. [Google Scholar]
- Prabhu, Y.T.; Rao, K.V.; Kumar, V.S.S.; Kumari, B.S. X-ray analysis by Williamson-Hall and size-strain plot methods of ZnO nanoparticles with fuel variation. World J. Nano Sci. Eng. 2014, 4, 21. [Google Scholar] [CrossRef]
- Chicot, D.; Mendoza, J.; Zaoui, A.; Louis, G.; Lepingle, V.; Roudet, F.; Lesage, J. Mechanical properties of magnetite (Fe3O4), hematite (α-Fe2O3) and goethite (α-FeO·OH) by instrumented indentation and molecular dynamics analysis. Mater. Chem. Phys. 2011, 129, 862–870. [Google Scholar] [CrossRef]
- Rabiei, M.; Palevicius, A.; Monshi, A.; Nasiri, S.; Vilkauskas, A.; Janusas, G. Comparing Methods for Calculating Nano Crystal Size of Natural Hydroxyapatite Using X-Ray Diffraction. Nanomaterials 2020, 10, 1627. [Google Scholar] [CrossRef]
- Pawar, R.A.; Patange, S.M.; Shitre, A.R.; Gore, S.K.; Jadhav, S.S.; Shirsath, S.E. Crystal chemistry and single-phase synthesis of Gd3+ substituted Co–Zn ferrite nanoparticles for enhanced magnetic properties. RSC Adv. 2018, 8, 25258–25267. [Google Scholar] [CrossRef] [PubMed]
- Weil, L.; Bertaut, E.F.; Bochirol, L. Magnetic properties and structure of the tetragonal phase of Cu ferrite. J. Phys. Radium 1950, 11, 208. [Google Scholar] [CrossRef]
- Porta, P.; Stone, F.S.; Turner, R.G. The distribution of nickel ions among octahedral and tetrahedral sites in NiAl2O4-MgAl2O4 solid solutions. J. Solid State Chem. 1974, 11, 135–147. [Google Scholar] [CrossRef]
- Eoiska, E.; Woiski, W. The evidence of Cdx2+Fe1−x3+[Ni1−x2+Fe1+x3+]O4 cation distribution based on X-ray and Mössbauer data. Phys. Status Solidi A 1992, 132, K51–K56. [Google Scholar] [CrossRef]
- Patange, S.M.; Shirsath, S.E.; Toksha, B.G.; Jadhav, S.S.; Shukla, S.J.; Jadhav, K.M. Cation distribution by Rietveld, spectral and magnetic studies of chromium-substituted nickel ferrites. Appl. Phys. A 2009, 95, 429–435. [Google Scholar] [CrossRef]
- Smit, J.; Wijn, H.P.J. Ferrites: Physical Properties of Ferrimagnetic Oxides in Relation to Their Technical Applications; Wiley: New York, NY, USA, 1959. [Google Scholar]
- Yousef, A.A.; El-Zain, M.E.; Mazen, S.A.; Sutherland, H.H.; Abdallab, M.A.; Mansour, S.G. A Mossbauer and X-ray diffraction investigation of Li-Ti ferrites. J. Phys. Condens. Matter. 1994, 6, 5717. [Google Scholar] [CrossRef]
- Valenzuela, R. Magnetic Ceramics; Cambridge University: Cambridge, UK, 1994. [Google Scholar]
- Standley, K.J. Oxide Magnetic Materials; Clarendon: Oxford, UK, 1972. [Google Scholar]
- Waldron, R. Infrared spectra of ferrites. Phys. Rev. 1955, 99, 1727. [Google Scholar] [CrossRef]
- More, S.S.; Kadam, R.H.; Kadam, A.B.; Mane, D.R.; Bichile, G.K. Structural properties and magnetic interactions in Al3+ and Cr3+ co-substituted CoFe2O4 ferrite. Central Euro. J. Chem. 2010, 8, 419–425. [Google Scholar] [CrossRef]
- Kadam, R.H.; Borade, R.B.; Mane, M.L.; Mane, D.R.; Batoo, K.M.; Shirsath, S.E. Structural, mechanical, dielectric properties and magnetic interactions in Dy3+ substituted Co-Cu-Zn nanoferrites. RSC Adv. 2020, 10, 27911. [Google Scholar] [CrossRef] [PubMed]
- Modi, K.B.; Shah, S.J.; Pujara, N.B.; Pathak, T.K.; Vasoya, N.H.; Jhala, I.G. Infrared spectral evolution, elastic, optical and thermodynamic properties study on mechanically milled Ni0.5Zn0.5Fe2O4 spinel ferrite. J. Mol. Stru. 2013, 1049, 250. [Google Scholar] [CrossRef]
- Mohamed, M.B.; Wahba, A.M. Structural, magnetic and elastic properties of nanocrystalline al-substituted Mn0.5Zn0.5Fe2O4 ferrite. Ceram. Int. 2014, 40, 11773. [Google Scholar] [CrossRef]
- Bhaskar, A.; Murthy, S.R. Effect of sintering temperature on the elastic properties of Mn(1%) added MgCuZn ferrites. J. Magn. Magn. Mater. 2014, 355, 100–103. [Google Scholar] [CrossRef]
- Mazen, S.A.; Mansour, S.F.; Dhahri, E.; Zaki, H.M.; Elmosalami, T.A. The infrared absorption and dielectric properties of Li-Ga ferrite. J. Alloys Compd. 2009, 470, 294–300. [Google Scholar] [CrossRef]
- Jadhav, S.S.; Shirsath, S.E.; Toksha, B.G.; Shukla, S.J.; Jadhav, K.M. Effect of Cation Proportion on the Structural and Magnetic Properties of Ni-Zn Ferrites Nano-Size Particles Prepared By Co-Precipitation Technique. Chin. J. Chem. Phys. 2008, 21, 381–386. [Google Scholar] [CrossRef]
- Coey, J.M.D. Rare Earth Permanent Magnetism; John Wiley and Sons: Hoboken, NJ, USA, 1996. [Google Scholar]
- Fan, X.; Wei, G.; Lin, X.; Wang, X.; Si, Z.; Zhang, X.; Sha, Q.; Mangin, S.; Fullerton, E.; Jiang, L.; et al. Reversible Switching of Interlayer Exchange Coupling through Atomically Thin VO2 via Electronic State Modulation. Matter 2020, 2, 1582–1593. [Google Scholar] [CrossRef]
- Vopson, M.M.; Fetisov, Y.K.; Caruntu, G.; Srinivasan, G. Measurement Techniques of the Magneto-Electric Coupling in Multiferroics. Materials 2017, 10, 963. [Google Scholar] [CrossRef]
- Gaikwad, A.S.; Kadam, R.H.; Shirsath, S.E.; Wadgane, S.R.; Shah, J.; Kotnala, R.K.; Kadam, A.B. Surprisingly high magneto-electric coupling in cubic Co0.7Fe2.3O4-SrTiO3 nano-composites. J. Alloys Compd. 2019, 773, 564–570. [Google Scholar] [CrossRef]
- Rivera, J.P. The linear magnetoelectric effect in LiCoPO4 Revisited. Ferroelectrics 1994, 161, 147–164. [Google Scholar] [CrossRef]












| ‘x’ | ‘a’ (Å) | RP | RWP | RExp | χ2 |
|---|---|---|---|---|---|
| 0.0 | 8.3626 | 43.9 | 17.4 | 17.32 | 1.01 |
| 0.025 | 8.3652 | 39.5 | 18.8 | 16.53 | 1.29 |
| 0.050 | 8.3671 | 43.4 | 22.1 | 19.69 | 1.26 |
| 0.075 | 8.3687 | 41.6 | 20.5 | 18.33 | 1.25 |
| 0.1 | 8.3717 | 42.7 | 18.4 | 18.77 | 1.02 |
| ‘x’ | N-R Function ‘a0′ (Å) [0.002°] | ‘ρx-ray’ (g/cc) [0.005] | ‘ρexp’ (g/cc) [0.005] | ‘P’ (%) [0.1] | ‘S’ (m2/g) [2] | ‘txrd’ (nm) [0.1] | ‘tW-H’ (nm) [0.1] | ε × 10−4 [0.05 × 10−4] | ‘tSSP’ (nm) [0.1] | ε × 10−3 [0.05 × 10−4] |
|---|---|---|---|---|---|---|---|---|---|---|
| 0.0 | 8.3619 | 5.267 | 4.92 | 6.63 | 84 | 14.5 | 14.9 | 1.54 | 15.0 | 6.47 |
| 0.025 | 8.3647 | 5.324 | 4.90 | 8.08 | 88 | 13.9 | 14.1 | 1.83 | 14.2 | 6.70 |
| 0.050 | 8.3671 | 5.376 | 4.89 | 9.11 | 91 | 13.5 | 13.9 | 2.37 | 13.7 | 7.18 |
| 0.075 | 8.3715 | 5.430 | 4.88 | 10.17 | 94 | 13.1 | 13.5 | 2.61 | 13.4 | 7.42 |
| 0.1 | 8.3752 | 5.483 | 4.84 | 11.65 | 97 | 12.8 | 13.4 | 2.96 | 13.3 | 7.64 |
| x | A-Site | B-Site | ‘rA’ (Å) [0.001] | ‘rB’ (Å) [0.001] | ‘u’ (Å) [0.001] | ‘ath’ (Å) [0.002] |
|---|---|---|---|---|---|---|
| 0.0 | (Cr0.3Fe0.7) | [Co1.0Cr0.2Fe0.8] | 0.710 | 0.792 | 0.3858 | 8.755 |
| 0.025 | (Cr0.3Fe0.7) | [Co1.0Dy0.025 Cr0.2Fe0.775] | 0.710 | 0.796 | 0.3857 | 8.767 |
| 0.050 | (Cr0.3Fe0.7) | [Co1.0Dy0.05 Cr0.2Fe0.75] | 0.710 | 0.801 | 0.3856 | 8.779 |
| 0.075 | (Cr0.3Fe0.7) | [Co1.0Dy0.075 Cr0.2Fe0.725] | 0.710 | 0.805 | 0.3855 | 8.791 |
| 0.1 | (Cr0.3Fe0.7) | [Co1.0Dy0.1 Cr0.2Fe0.7] | 0.710 | 0.810 | 0.3854 | 8.803 |
| ‘x’ | 0.0 | 0.025 | 0.050 | 0.075 | 0.1 |
| ν1 (cm−1) | 564.95 | 569.03 | 575.15 | 581.26 | 587.38 |
| ν2 (cm−1) | 379.35 | 387.51 | 395.67 | 401.78 | 409.74 |
| MA | 78.69 | 78.69 | 78.69 | 78.69 | 78.69 |
| MB | 154.01 | 156.67 | 159.34 | 162.01 | 164.67 |
| KT (×105 dynes/cm) | 191.38 | 194.15 | 198.35 | 202.59 | 206.88 |
| KO (×105 dynes/cm) | 117.68 | 124.93 | 132.46 | 138.87 | 146.95 |
| Kav (×105 dynes/cm) | 154.5 | 159.5 | 165.4 | 170.7 | 176.9 |
| C11 (GPa) | 184.57 | 190.51 | 197.42 | 203.69 | 210.98 |
| B (GPa) | 184.57 | 190.51 | 197.42 | 203.69 | 210.98 |
| G (GPa) | 61.52 | 63.50 | 65.81 | 67.90 | 70.33 |
| E (GPa) | 166.11 | 171.46 | 177.68 | 183.32 | 189.88 |
| Vm (m/s) | 3794 | 3834 | 3884 | 3926 | 3976 |
| Vt (m/s) | 3418 | 3454 | 3499 | 3536 | 3581 |
| Vl (m/s) | 5920 | 5982 | 6060 | 6125 | 6203 |
| σ | 0.35 | 0.35 | 0.35 | 0.35 | 0.35 |
| θD (K) | 540 | 545 | 552 | 558 | 565 |
| Com. ‘x’ | E0 (GPa) | G0 (GPa) | B0 (GPa) | σ0 |
|---|---|---|---|---|
| 0.0 | 197.87 | 72.32 | 249.86 | 0.368 |
| 0.025 | 205.91 | 75.21 | 261.82 | 0.369 |
| 0.050 | 217.28 | 79.24 | 280.71 | 0.371 |
| 0.075 | 228.36 | 83.15 | 300.03 | 0.373 |
| 0.1 | 239.03 | 86.96 | 317.14 | 0.374 |
| Com. ‘x’ | Ms@15kOe (emu/g) [0.5] | Mr (emu/g) [0.2] | Hc (Oe) [20] | R [0.05] | K1 × 104 [0.05 × 104] | nB (μB) [0.02] | nBN (μB) [0.02] |
|---|---|---|---|---|---|---|---|
| 0.0 | 45.9 | 19.2 | 504 | 0.418 | 2.41 | 1.912 | 3.200 |
| 0.025 | 46.5 | 21.4 | 478 | 0.460 | 2.31 | 1.960 | 3.337 |
| 0.050 | 48.6 | 22.8 | 433 | 0.469 | 2.19 | 2.071 | 3.474 |
| 0.075 | 50.3 | 23.9 | 409 | 0.475 | 2.14 | 2.168 | 3.611 |
| 0.1 | 50.4 | 25.7 | 387 | 0.490 | 2.11 | 2.283 | 3.748 |
| Me–O | Me–Me | Bond Angles |
|---|---|---|
| ↓Formula\‘x’→ | 0.0 | 0.025 | 0.050 | 0.075 | 0.1 |
|---|---|---|---|---|---|
| Me–O lengths (nm) [0.002] | |||||
| ‘p’ | 0.2003 | 0.2004 | 0.2006 | 0.2007 | 0.2009 |
| ‘q’ | 0.1968 | 0.1968 | 0.1968 | 0.1968 | 0.1968 |
| ‘r’ | 0.3768 | 0.3768 | 0.3767 | 0.3767 | 0.3766 |
| ‘s’ | 0.3677 | 0.3678 | 0.3679 | 0.3680 | 0.3681 |
| Me–Me lengths (nm) [0.002] | |||||
| ‘b’ | 0.2960 | 0.2961 | 0.2962 | 0.2963 | 0.2965 |
| ‘c’ | 0.3471 | 0.3472 | 0.3474 | 0.3475 | 0.3476 |
| ‘d’ | 0.3625 | 0.3626 | 0.3628 | 0.3629 | 0.3631 |
| ‘e’ | 0.5438 | 0.5439 | 0.5442 | 0.5444 | 0.5446 |
| ‘f’ | 0.5127 | 0.5128 | 0.5131 | 0.5133 | 0.5135 |
| Bond angles (°) [0.05] | |||||
| θ1 | 122.12 | 122.17 | 122.23 | 122.25 | 122.28 |
| θ2 | 139.24 | 139.29 | 139.32 | 139.34 | 139.37 |
| θ3 | 95.84 | 95.79 | 95.77 | 95.71 | 95.68 |
| θ4 | 126.42 | 126.39 | 126.38 | 126.37 | 126.35 |
| θ5 | 71.04 | 71.05 | 71.06 | 71.07 | 71.07 |
Disclaimer/Publisher’s Note: The statements, opinions and data contained in all publications are solely those of the individual author(s) and contributor(s) and not of MDPI and/or the editor(s). MDPI and/or the editor(s) disclaim responsibility for any injury to people or property resulting from any ideas, methods, instructions or products referred to in the content. |
© 2023 by the authors. Licensee MDPI, Basel, Switzerland. This article is an open access article distributed under the terms and conditions of the Creative Commons Attribution (CC BY) license (https://creativecommons.org/licenses/by/4.0/).
Share and Cite
Kadam, R.H.; Shitole, R.; Kadam, S.B.; Desai, K.; Birajdar, A.P.; Barote, V.K.; Batoo, K.M.; Hussain, S.; Shirsath, S.E. A thorough Investigation of Rare-Earth Dy3+ Substituted Cobalt-Chromium Ferrite and Its Magnetoelectric Nanocomposite. Nanomaterials 2023, 13, 1165. https://doi.org/10.3390/nano13071165
Kadam RH, Shitole R, Kadam SB, Desai K, Birajdar AP, Barote VK, Batoo KM, Hussain S, Shirsath SE. A thorough Investigation of Rare-Earth Dy3+ Substituted Cobalt-Chromium Ferrite and Its Magnetoelectric Nanocomposite. Nanomaterials. 2023; 13(7):1165. https://doi.org/10.3390/nano13071165
Chicago/Turabian StyleKadam, Ram H., Ravi Shitole, Santosh B. Kadam, Kirti Desai, Atul P. Birajdar, Vinod K. Barote, Khalid Mujasam Batoo, Sajjad Hussain, and Sagar E. Shirsath. 2023. "A thorough Investigation of Rare-Earth Dy3+ Substituted Cobalt-Chromium Ferrite and Its Magnetoelectric Nanocomposite" Nanomaterials 13, no. 7: 1165. https://doi.org/10.3390/nano13071165
APA StyleKadam, R. H., Shitole, R., Kadam, S. B., Desai, K., Birajdar, A. P., Barote, V. K., Batoo, K. M., Hussain, S., & Shirsath, S. E. (2023). A thorough Investigation of Rare-Earth Dy3+ Substituted Cobalt-Chromium Ferrite and Its Magnetoelectric Nanocomposite. Nanomaterials, 13(7), 1165. https://doi.org/10.3390/nano13071165

