Reusable Fe2O3/TiO2/PVC Photocatalysts for the Removal of Methylene Blue in the Presence of Simulated Solar Radiation
Abstract
1. Introduction
2. Materials and Methods
2.1. Chemicals and Solutions
2.2. Photocatalyst Preparation
2.3. Characterization
2.4. Removal Activity Test
2.5. Photocatalyst Reuse and Photo-Cleaning
2.6. Antibacterial Activity Testing of Solid Samples
2.7. Antibacterial Activity Testing of Treated Water Solutions and Cleaning Solutions
2.8. Presence of Fungal Contamination in Treated Water Solutions and Cleaning Solutions
3. Results and Discussion
3.1. Characterization of the Synthesized Photocatalyst
3.1.1. X-ray Diffraction Analysis of Fe2O3/(TiO2)/PVC Photocatalysts
3.1.2. SEM Imaging of Fe2O3/(TiO2)/PVC Photocatalysts
3.1.3. Raman Analysis of Fe2O3/(TiO2)/PVC Photocatalysts
3.1.4. UV–Vis DRS of Fe2O3/TiO2/PVC Photocatalysts
3.2. Results of Photocatalytic Experiments on MB Degradation
3.2.1. Study of MB Removal Efficiency Using Fe2O3/TiO2/PVC Photocatalysts
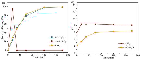
3.2.2. Effect of H2O2 Concentration and pH on MB Degradation Efficiency
3.2.3. MB Removal with the Reused Fe2O3/TiO2/PVC Photocatalyst
3.3. Antibacterial Activity of Nanocomposites, Treated Water Solutions and Cleaning Solutions
4. Conclusions
Supplementary Materials
Author Contributions
Funding
Data Availability Statement
Acknowledgments
Conflicts of Interest
References
- Ravikumar, K.; Deebika, B.; Balu, K. Decolourization of aqueous dye solutions by a novel adsorbent: Application of statistical designs and surface plots for the optimization and regression analysis. J. Hazard. Mater. 2005, 122, 75–83. [Google Scholar] [CrossRef]
- Li, Y.; Du, Q.; Liu, T.; Peng, X.; Wang, J.; Sun, J.; Wang, Y.; Wu, S.; Wang, Z.; Xia, Y.; et al. Comparative study of MB dye adsorption onto activated carbon, graphene oxide, and carbon nanotubes. Chem. Eng. Res. Des. 2013, 91, 361–368. [Google Scholar] [CrossRef]
- Begum, R.; Najeeb, J.; Sattar, A.; Naseem, K.; Irfan, A.; Al-Sehemi, A.G.; Farooqi, Z.H. Chemical reduction of MB in the presence of nanocatalysts: A critical review. Rev. Chem. Eng. 2020, 36, 749–770. [Google Scholar] [CrossRef]
- Banerjee, S.; Benjwal, P.; Singh, M.; Kar, K.K. Graphene oxide (rGO)-metal oxide (TiO2/Fe3O4) based nanocomposites for the removal of MB. Appl. Surf. Sci. 2018, 439, 560–568. [Google Scholar] [CrossRef]
- Zhu, S.; Chen, Y.; Khan, M.A.; Xu, H.; Wang, F.; Xia, M. In-depth study of heavy metal removal by an etidronic acid-functionalized layered double hydroxide. ACS Appl. Mater. Interfaces 2022, 14, 7450–7463. [Google Scholar] [CrossRef] [PubMed]
- Ahmed, M.A.; El-Katori, E.E.; Gharni, Z.H. Photocatalytic degradation of MB dye using Fe2O3/TiO2 nanoparticles prepared by sol-gel method. J. Alloys Compd. 2013, 553, 19–29. [Google Scholar] [CrossRef]
- Behnajady, M.A.; Modirshahla, N. Kinetic modeling on photooxidative degradation of C.I. Acid Orange 7 in a tubular continuous-flow photoreactor. Chemosphere 2006, 62, 1543–1548. [Google Scholar] [CrossRef] [PubMed]
- Zhang, F.; Wang, X.; Liu, H.; Liu, C.; Wan, Y.; Long, Y.; Cai, Z. Recent advances and applications of semiconductor photocatalytic technology. Appl. Sci. 2019, 12, 2489. [Google Scholar] [CrossRef]
- Yamashita, H.; Li, H. Nanostructured Photocatalysts. Advanced Functional Materials, 1st ed.; Springer: Cham, Switzerland; New York City, NY, USA, 2016; p. 261. [Google Scholar] [CrossRef]
- Zhang, X.; Lei, L. Preparation of photocatalytic Fe2O3–TiO2 coatings in one step by metal organic chemical vapor deposition. Appl. Surf. Sci. 2008, 254, 2406–2412. [Google Scholar] [CrossRef]
- Nassoko, D.; Li, Y.-F.; Wang, H.; Li J, -L.; Li Y, -Z.; Yu, Y. Nitrogen-doped TiO2 nanoparticles by using EDTA as nitrogen source and soft template: Simple preparation, mesoporous structure, and photocatalytic activity under visible light. J. Alloys Compd. 2012, 540, 228–235. [Google Scholar] [CrossRef]
- Gaya, U.I.; Abdullah, A.H. Heterogeneous photocatalytic degradation of organic contaminants over titanium dioxide: A review of fundamentals, progress and problems. J. Photochem. Photobiol. C Photochem. Rev. 2008, 9, 1–12. [Google Scholar] [CrossRef]
- Yu, J.; Liu, W.; Yu, H. A one-pot approach to hierarchically nanoporoustitania hollow microspheres with high photocatalytic activity. Cryst. Growth Des. 2008, 8, 930–934. [Google Scholar] [CrossRef]
- Zhao, W.; Bai, Z.; Ren, A.; Guo, B.; Wu, C. Sunlight photocatalytic activity of CdS modified TiO2 loaded on activated carbon fibers. Appl. Surf. Sci. 2010, 256, 3493–3498. [Google Scholar] [CrossRef]
- Li Puma, G.; Bono, A.; Krishnaiah, D.; Collin, J.G. Preparation of titanium dioxide photocatalyst loaded onto activated carbon support using chemical vapor deposition: A review paper. J. Hazard. Mater. 2009, 157, 209–219. [Google Scholar] [CrossRef]
- Asiltürk, M.; Sayılkan, F.; Arpaç, E. Effect of Fe3+ ion doping to TiO2 on the photocatalytic degradation of Malachite Green dye under UV and vis-irradiation. J. Photochem. Photobiol. A Chem 2009, 203, 64–71. [Google Scholar] [CrossRef]
- Tatlıdil, İ.; Bacaksız, E.; Buruk, C.K.; Breen, C.; Sökmen, M. A short literature survey on iron and cobalt ion doped TiO2 thin films and photocatalytic activity of these films against fungi. J. Alloys Compd. 2012, 517, 80–86. [Google Scholar] [CrossRef]
- Chen, X.; Mao, S.S. Titanium dioxide nanomaterials: Synthesis, properties, modifications and applications. Chem. Rev. 2007, 107, 2891–2959. [Google Scholar] [CrossRef] [PubMed]
- Ahmed, M.A. Synthesis and structural features of mesoporous NiO/TiO2 nanocomposites prepared by sol–gel method for photodegradation of MB dye. J. Photochem. Photobiol. A Chem. 2012, 238, 63–70. [Google Scholar] [CrossRef]
- Bae, S.; Kim, D.; Lee, W. Degradation of diclofenac by pyrite catalyzed Fenton oxidation. Appl. Catal. B Environ. 2013, 134–135, 93–102. [Google Scholar] [CrossRef]
- Yang, X.; Chen, W.; Huang, J.; Zhou, Y.; Zhu, Y.; Li, C. Rapid degradation of MB in a novel heterogeneous Fe3O4 @rGO@TiO2-catalyzed photo-Fenton system. Sci. Rep. 2015, 5, 10632. [Google Scholar] [CrossRef]
- Pariente, M.I.; Martínez, F.; Melero, J.A.; Botas J, Á.; Velegraki, T.; Xekoukoulotakis, N.P.; Mantzavinos, D. Heterogeneous photo-Fenton oxidation of benzoic acid in water: Effect of operating conditions, reaction by-products and coupling with biological treatment. Appl. Catal. B Environ. 2008, 85, 24–32. [Google Scholar] [CrossRef]
- Yaping, Z.; Jiangyong, H. Photo-Fenton degradation of 17 beta-estradiol in presence of alpha-FeOOHR and H2O2. Appl. Catal. B Environ. 2008, 78, 250–258. [Google Scholar] [CrossRef]
- Khan, I.; Saeed, K.; Zekker, I.; Zhang, B.; Hendi, A.H.; Ahmad, A.; Ahmad, S.; Zada, N.; Ahmad, H.; Shan, L.A.; et al. Review on methylene blue: Its properties, uses, toxicity and photodegradation. Water 2022, 14, 242. [Google Scholar] [CrossRef]
- Jagodić, I.D.; Uzelac, M.M.; Guth, I.O.; Lukić-Petrović, S.R.; ·Banić, N.D. Removal of MB using tungsten(VI)-oxide immobilized on commercial PVC in the presence of simulated solar radiation. Int. J. Environ. Sci. Technol. Article in Press. 2022. [Google Scholar] [CrossRef]
- Zhang, J.; Thurber, A.; Hanna, C.; Punnoose, A. Highly shape-selective synthesis, silica coating, self-assembly, and magnetic hydrogen sensing of hematite nanoparticles. Langmuir 2010, 26, 5273–5278. [Google Scholar] [CrossRef] [PubMed]
- Banić, N.; Abramović, B.; Krstić, J.; Šojić, D.; Lončarević, D.; Cherkezova-Zheleva, Z.; Guzsvány, V. Photodegradation of thiacloprid using Fe/TiO2 as a heterogeneous photo-Fenton catalyst. Appl. Catal. B Environ. 2011, 107, 363–371. [Google Scholar] [CrossRef]
- EUCAST Disk Diffusion Method for Antimicrobial Susceptibility Testing—Version 3.0; European Committee on Antimicrobial Susceptibility Testing: Stockholm, Sweden, 2013.
- M07A10|Methods for Dilution Antimicrobial Susceptibility Tests for Bacteria That Grow Aerobically, 10th ed.; Clinical and Laboratory Standards Institute: Wayne, PA, USA, 2015.
- ISO. Water Quality—Pseudomonas putida Growth Inhibition Test (Pseudomonas Putida Cell Multiplication Inhibition Test); ISO 10712; ISO: Geneva, Switzerland, 1995. [Google Scholar]
- Buzgar, N.; Apopei, A.I.; Buzatu, A. Romanian Database of Raman Spectroscopy. 2009. Available online: http://rdrs.uaic.ro (accessed on 29 December 2022).
- Morales, A.E.; Mora, E.S.; Pal, U. Use of diffuse reflectance spectroscopy for optical characterisation of non/supported nanostructures. Rev. Mex. Fis. 2007, 53, 18–22. Available online: http://www.redalyc.org/articulo.oa?id=57028299004 (accessed on 29 December 2022).
- Piscopo, A.; Robert, D.; Weber, J.V. Influence of ph and chloride anion on the photocatalytic degradation of organic compounds: Part I. Effect on the benzamide and para-hydroxybenzoic acid in TiO2 aqueous solution. Appl. Catal. B Environ. 2001, 35, 117–124. [Google Scholar] [CrossRef]
- Bouzaida, I.; Ferronato, C.; Chovelon, J.M.; Rammah, M.E.; Herrmann, J.M. Heterogeneous photocatalytic degradation of the anthraquinonic dye, Acid Blue 25 (AB25): A kinetic approach. J. Photochem. Photobiol. A Chem. 2004, 168, 23–30. [Google Scholar] [CrossRef]
- Babuponnusami, A.; Muthukumar, K. A review on Fenton and improvements to the Fenton process for wastewater treatment. J. Environ. Chem. Eng. 2014, 2, 557–572. [Google Scholar] [CrossRef]
- Niu, P.; Hao, J. Photocatalytic degradation of methyl orange by titanium dioxide-decatungstate nanocomposite films supported on glass slides. Colloids Surf. A Physicochem. Eng. Asp. 2013, 431, 127–132. [Google Scholar] [CrossRef]
- Lee, S.K.; Mills, A. Novel photochemistry of leuco-MB. Chem. Commun. 2003, 3, 2366–2367. [Google Scholar] [CrossRef] [PubMed]
- Yanyan, L.; Kurniawan, T.A.; Ying, Z.; Albadarin, A.B.; Walker, G. Enhanced photocatalytic degradation of acetaminophen from wastewater using WO3/TiO2/SiO2 composite under UV–VIS irradiation. J. Mol. Liq. 2017, 243, 761–770. [Google Scholar] [CrossRef]










| Sample | B1 | B2 | B3 | ||||||
|---|---|---|---|---|---|---|---|---|---|
| λmax (nm) | FWHM | I | λmax (nm) | FWHM | I | λmax (nm) | FWHM | I | |
| Fe2O3/TiO2/PVC | 448 | 90 | 8.98 | 537 | 158 | 14.1 | 657 | 203 | 13.9 |
| Fe2O3(1)/TiO2/PVC | 450 | 128 | 26.5 | 544 | 129 | 37.7 | 690 | 314 | 22.1 |
| Fe2O3(2)/TiO2(1)/PVC | 443 | 67 | 19.4 | 533 | 88 | 29.6 | 651 | 77 | 6.01 |
| Sample | Eg (eV) | ||
|---|---|---|---|
| B1 | B2 | B3 | |
| Fe2O3/TiO2/PVC | 3.22 3.15 | (~2.6) | 2.08 |
| Fe2O3(1)/TiO2/PVC | 3.26 | (~2.6) | 2.12 |
| Fe2O3(2)/TiO2(1)/PVC | (~3.3) | 2.72 | 2.16 |
| Sample | Zone of Inhibition Diameter (mm) | |||
|---|---|---|---|---|
| E. coli | P. aeruginosa | B. cereus | S. aureus | |
| Fe2O3/TiO2/PVC | 0 | 0 | 0 | 6 |
| PVC | 0 | 0 | 6 | 8 |
| Fe2O3/PVC | 0 | 0 | 6 | 8 |
| Gentamicin (control) | 19 | 17 | 22 | 20 |
| Sample No. | Sample Description | MIC (%)* | I (%) ** | |||
|---|---|---|---|---|---|---|
| E. coli | P. aeruginosa | B. cereus | S. aureus | |||
| 1 | Dye solution of MB | No inhibition | No inhibition | No inhibition | 12.5 | Nd *** |
| 2 | Dye solution after photolysis | 25 | Nd *** | |||
| 3 | PVC/SSR | No inhibition | 18.77 | |||
| 4 | 1st removal Fe2O3/TiO2/PVC/SSR | 17.07 | ||||
| 5 | 2nd removal Fe2O3/TiO2/PVC/SSR | 10.68 | ||||
| 6 | 3rd removal Fe2O3/TiO2/PVC/SSR | 12.38 | ||||
| 7 | 4th removal Fe2O3/TiO2/PVC/SSR | 23.03 | ||||
| 8 | 5th removal Fe2O3/TiO2/PVC/SSR | 18.28 | ||||
| 9 | 1st run cleaning | 17.48 | ||||
| 10 | 2nd run cleaning | 20.26 | ||||
| 11 | 3rd run cleaning | 17.62 | ||||
| 12 | 4th run cleaning | 15.98 | ||||
| 13 | 5th run cleaning | 15.22 | ||||
Disclaimer/Publisher’s Note: The statements, opinions and data contained in all publications are solely those of the individual author(s) and contributor(s) and not of MDPI and/or the editor(s). MDPI and/or the editor(s) disclaim responsibility for any injury to people or property resulting from any ideas, methods, instructions or products referred to in the content. |
© 2023 by the authors. Licensee MDPI, Basel, Switzerland. This article is an open access article distributed under the terms and conditions of the Creative Commons Attribution (CC BY) license (https://creativecommons.org/licenses/by/4.0/).
Share and Cite
Jagodić, I.; Guth, I.; Lukić-Petrović, S.; Tamindžija, D.; Šojić Merkulov, D.; Finčur, N.; Bognár, S.; Putnik, P.; Banić, N. Reusable Fe2O3/TiO2/PVC Photocatalysts for the Removal of Methylene Blue in the Presence of Simulated Solar Radiation. Nanomaterials 2023, 13, 460. https://doi.org/10.3390/nano13030460
Jagodić I, Guth I, Lukić-Petrović S, Tamindžija D, Šojić Merkulov D, Finčur N, Bognár S, Putnik P, Banić N. Reusable Fe2O3/TiO2/PVC Photocatalysts for the Removal of Methylene Blue in the Presence of Simulated Solar Radiation. Nanomaterials. 2023; 13(3):460. https://doi.org/10.3390/nano13030460
Chicago/Turabian StyleJagodić, Ivana, Imre Guth, Svetlana Lukić-Petrović, Dragana Tamindžija, Daniela Šojić Merkulov, Nina Finčur, Szabolcs Bognár, Predrag Putnik, and Nemanja Banić. 2023. "Reusable Fe2O3/TiO2/PVC Photocatalysts for the Removal of Methylene Blue in the Presence of Simulated Solar Radiation" Nanomaterials 13, no. 3: 460. https://doi.org/10.3390/nano13030460
APA StyleJagodić, I., Guth, I., Lukić-Petrović, S., Tamindžija, D., Šojić Merkulov, D., Finčur, N., Bognár, S., Putnik, P., & Banić, N. (2023). Reusable Fe2O3/TiO2/PVC Photocatalysts for the Removal of Methylene Blue in the Presence of Simulated Solar Radiation. Nanomaterials, 13(3), 460. https://doi.org/10.3390/nano13030460

