Sustainable Removal of Tolperisone from Waters by Application of Photocatalysis, Nanotechnology, and Chemometrics: Quantification, Environmental Toxicity, and Degradation Optimization
Abstract
1. Introduction
2. Materials and Methods
2.1. Materials and Reagents
2.2. Sample Preparation
2.3. Toxicological Assessments
2.4. Analytical Procedures
2.5. Statistical Analysis
3. Results and Discussion
3.1. Exploratory Clustering of Samples in the Datasets
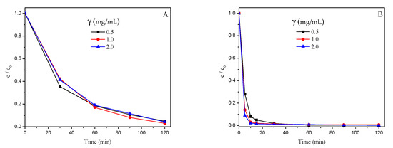
3.2. Photocatalytic Degradation of TLP
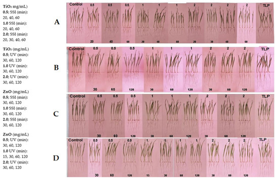
3.3. Germination
3.4. Parameters of Plant Mass
3.5. Concentration of Photosynthetic Pigments
3.6. Optimal Parameters for Photocatalytic Degradation of TLP and Germination of Seeds
4. Conclusions and Outlooks
Author Contributions
Funding
Data Availability Statement
Conflicts of Interest
References
- Qadir, M.; Drechsel, P.; Jiménez Cisneros, B.; Kim, Y.; Pramanik, A.; Mehta, P.; Olaniyan, O. Global and regional potential of wastewater as a water, nutrient and energy source. Nat. Resour. Forum 2020, 44, 40–51. [Google Scholar] [CrossRef]
- Ritchie, H.; Roser, M. Obesity. 2017. Available online: https://ourworldindata.org/obesity (accessed on 15 August 2022).
- Royan, F. Global Water Market Outlook. Water & Wastewater Treatment Market. European Network Rehabilitation Market. In Proceedings of the British Water International Forum Meeting, Frost & Sullivan, London, UK, 13 October 2016. [Google Scholar]
- Hernando, M.D.; Mezcua, M.; Fernández-Alba, A.R.; Barceló, D. Environmental risk assessment of pharmaceutical residues in wastewater effluents, surface waters and sediments. Talanta 2006, 69, 334–342. [Google Scholar] [CrossRef]
- Kanakaraju, D.; Glass, B.D.; Oelgemöller, M. Advanced oxidation process-mediated removal of pharmaceuticals from water: A review. J. Environ. Manag. 2018, 219, 189–207. [Google Scholar] [CrossRef] [PubMed]
- Quasthoff, S.; Möckel, C.; Zieglgänsberger, W.; Schreibmayer, W. Tolperisone: A Typical Representative of a Class of Centrally Acting Muscle Relaxants with Less Sedative Side Effects. CNS Neurosci. Ther. 2008, 14, 107–119. [Google Scholar] [CrossRef] [PubMed]
- Tekes, K. Basic aspects of the pharmacodynamics of tolperisone, a widely applicable centrally acting muscle relaxant. Open Med. Chem. 2014, 8, 17–22. [Google Scholar] [CrossRef] [PubMed]
- Safety Data Sheet According to 1907/2006/ EEC/ Article 31. Available online: https://fagron.com/sites/default/files/document/msds_coa/3644-61-9_%28GB%29.pdf (accessed on 12 September 2021).
- Rathi, B.S.; Kumar, P.S.; Vo, D.-V.N. Critical review on hazardous pollutants in water environment: Occurrence, monitoring, fate, removal technologies and risk assessment. Sci. Total Environ. 2021, 797, 149134. [Google Scholar] [CrossRef]
- Luo, Y.; Guo, W.; Ngo, H.H.; Nghiem, L.D.; Hai, F.I.; Zhang, J.; Liang, S.; Wang, X.C. A review on the occurrence of micropollutants in the aquatic environment and their fate and removal during wastewater treatment. Sci. Total Environ. 2014, 473–474, 619–641. [Google Scholar] [CrossRef]
- Guo, J.; Wang, J.; Zheng, G.; Jiang, X. A TiO2/crosslinked carboxymethyl starch composite for high-efficiency adsorption and photodegradation of cationic golden yellow X-GL dye. Environ. Sci. Pollut. Res. 2019, 26, 24395–24406. [Google Scholar] [CrossRef] [PubMed]
- Abebe, B.; Murthy, H.C.A.; Amare, E. Enhancing the photocatalytic efficiency of ZnO: Defects, heterojunction, and optimization. Environ. Nanotechnol. Monit. Manag. 2020, 14, 100336. [Google Scholar] [CrossRef]
- Tahir, M.B.; Sohaib, M.; Sagir, M.; Rafique, M. Role of Nanotechnology in Photocatalysis. Ref. Modul. Mater. Sci. Mater. Eng. 2020, 2, 578–589. [Google Scholar] [CrossRef]
- Shan, F.K.; Yu, Y.S. Band gap energy of pure and Al-doped ZnO thin films. J. Eur. Ceram. Soc. 2004, 24, 1869–1872. [Google Scholar] [CrossRef]
- Pelaez, M.; Nolan, N.T.; Pillai, S.C.; Seery, M.K.; Falaras, P.; Kontos, A.G.; Dunlop, P.S.M.; Hamilton, J.W.J.; Byrne, J.A.; O’Shea, K.; et al. A review on the visible light active titanium dioxide photocatalysts for environmental applications. Appl. Catal. B. 2012, 125, 331–349. [Google Scholar] [CrossRef]
- Neppolian, B.; Choi, H.C.; Sakthivel, S.; Arabindoo, B.; Murugesan, V. Solar/UV-induced photocatalytic degradation of three commercial textile dyes. J. Hazard. Mater. 2002, 89, 303–317. [Google Scholar] [CrossRef] [PubMed]
- Shojaeimehr, T.; Tasbihi, M.; Acharjya, A.; Thomas, A.; Schomäcker, R.; Schwarze, M. Impact of operating conditions for the continuous-flow degradation of diclofenac with immobilized carbon nitride photocatalysts. J. Photochem. Photobiol. 2020, 388, 112182. [Google Scholar] [CrossRef]
- Hapeshi, E.; Achilleos, A.; Vasquez, M.I.; Michael, C.; Xekoukoulotakis, N.P.; Mantzavinos, D.; Kassinos, D. Drugs degrading photocatalytically: Kinetics and mechanisms of ofloxacin and atenolol removal on titania suspensions. Water Res. 2010, 44, 1737–1746. [Google Scholar] [CrossRef]
- Kumar, A.; Pandey, G. A Review on the Factors Affecting the Photocatalytic Degradation of Hazardous Materials. Mater. Sci. Eng. 2017, 1, 106–114. [Google Scholar] [CrossRef]
- Granato, D.; Putnik, P.; Kovačević, D.B.; Santos, J.S.; Calado, V.; Rocha, R.S.; Cruz, A.G.D.; Jarvis, B.; Rodionova, O.Y.; Pomerantsev, A. Trends in Chemometrics: Food Authentication, Microbiology, and Effects of Processing. Compr. Rev. Food Sci. Food Saf. 2018, 17, 663–677. [Google Scholar] [CrossRef] [PubMed]
- Alfred, S.E.; Surendra, A.; Le, C.; Lin, K.; Mok, A.; Wallace, I.M.; Proctor, M.; Urbanus, M.L.; Giaever, G.; Nislow, C. A phenotypic screening platform to identify small molecule modulators of Chlamydomonas reinhardtiigrowth, motility and photosynthesis. Genome Biol. 2012, 13, R105. [Google Scholar] [CrossRef] [PubMed]
- Finčur, N.; Sfîrloagă, P.; Putnik, P.; Despotović, V.; Lazarević, M.; Uzelac, M.; Abramović, B.; Vlazan, P.; Ianăși, C.; Alapi, T.; et al. Removal of Emerging Pollutants from Water Using Environmentally Friendly Processes: Photocatalysts Preparation, Characterization, Intermediates Identification and Toxicity Assessment. Nanomaterials 2021, 11, 215. [Google Scholar] [CrossRef] [PubMed]
- Rede, D.; Santos, L.H.M.L.M.; Ramos, S.; Oliva-Teles, F.; Antão, C.; Sousa, S.R.; Delerue-Matos, C. Individual and mixture toxicity evaluation of three pharmaceuticals to the germination and growth of Lactuca sativa seeds. Sci. Total Environ. 2019, 673, 102–109. [Google Scholar] [CrossRef]
- Finčur, N.L.; Krstić, J.B.; Šibul, F.S.; Šojić, D.V.; Despotović, V.N.; Banić, N.D.; Agbaba, J.R.; Abramović, B.F. Removal of alprazolam from aqueous solutions by heterogeneous photocatalysis: Influencing factors, intermediates, and products. J. Chem. Eng. 2017, 307, 1105–1115. [Google Scholar] [CrossRef]
- Šojić, D.V.; Orčić, D.Z.; Četojević-Simin, D.D.; Despotović, V.N.; Abramović, B.F. Kinetics and the mechanism of the photocatalytic degradation of mesotrione in aqueous suspension and toxicity of its degradation mixtures. J. Mol. Catal. A Chem 2014, 392, 67–75. [Google Scholar] [CrossRef]
- Hoagland, D.R.A.; Arnon, D.I. The water-culture method for growing plants without soil. Circ. Calif. Agric. Exp. Stn. 1950, 347, 1–32. [Google Scholar]
- Holm, G. Chlorophyll Mutations in Barley. Acta Agric. Scand. 1954, 4, 457–471. [Google Scholar] [CrossRef]
- Von Wettstein, D. Chlorophyll-letale und der submikroskopische Formwechsel der Plastiden. Exp. Cell Res. 1957, 12, 427–506. [Google Scholar] [CrossRef] [PubMed]
- Croarkin, C. NIST/SEMATECH e-Handbook of Statistical Methods. 2013. Available online: https://doi.org/10.18434/M32189 (accessed on 10 September 2022).
- Sakthivel, S.; Neppolian, B.; Shankar, M.V.; Arabindoo, B.; Palanichamy, M.; Murugesan, V. Solar photocatalytic degradation of azo dye: Comparison of photocatalytic efficiency of ZnO and TiO2. Sol. Energy Mater Sol. Cells 2003, 77, 65–82. [Google Scholar] [CrossRef]
- Lee, K.M.; Lai, C.W.; Ngai, K.S.; Juan, J.C. Recent developments of zinc oxide based photocatalyst in water treatment technology: A review. Water Res. 2016, 88, 428–448. [Google Scholar] [CrossRef] [PubMed]
- Doll, T.E.; Frimmel, F.H. Fate of pharmaceuticals––Photodegradation by simulated solar UV-light. Chemosphere 2003, 52, 1757–1769. [Google Scholar] [CrossRef] [PubMed]
- Fonseca-Cervantes, O.R.; Pérez-Larios, A.; Romero Arellano, V.H.; Sulbaran-Rangel, B.; Guzmán González, C.A. Effects in Band Gap for Photocatalysis in TiO2 Support by Adding Gold and Ruthenium. Processes 2020, 8, 1032. [Google Scholar] [CrossRef]
- Akpan, U.G.; Hameed, B.H. Parameters affecting the photocatalytic degradation of dyes using TiO2-based photocatalysts: A review. J. Hazard. Mater. 2009, 170, 520–529. [Google Scholar] [CrossRef] [PubMed]
- Liu, Y.; Ye, N.; Liu, R.; Chen, M.; Zhang, J. H2O2 mediates the regulation of ABA catabolism and GA biosynthesis in Arabidopsis seed dormancy and germination. J. Exp. Bot. 2010, 61, 2979–2990. [Google Scholar] [CrossRef] [PubMed]
- García-Caparrós, P.; Hasanuzzaman, M.; Lao, M.T. Oxidative Stress and Antioxidant Defense in Plants under Salinity. In Reactive Oxygen, Nitrogen and Sulfur Species in Plants; Hasanuzzaman, M., Fotopoulos, V., Nahar, K., Fujita, M., Eds.; Wiley: Hoboken, NJ, USA, 2019; pp. 291–309. [Google Scholar]
- Wahid, A.; Gelani, S.; Ashraf, M.; Foolad, M.R. Heat tolerance in plants: An overview. Environ. Exp. Bot. 2007, 61, 199–223. [Google Scholar] [CrossRef]
- Miladinov, Z.; Maksimovic, I.; Balesevic-Tubic, S.; Djukic, V.; Canak, P.; Miladinovic, J.; Djordjevic, V. Priming seed mitigates the effects of saline stress in soybean seedlings. Legum. Res. 2020, 43, 263–267. [Google Scholar] [CrossRef]
- Miladinov, Z.; Maksimovic, I.; Tubic, S.B.; Canak, P.; Miladinovic, J.; Djukic, V.; Randjelovic, P. Priming Fresh and Aged Seed of Soybean (Glycine max L.). Legum. Res. 2021, 44, 452–457. [Google Scholar] [CrossRef]
- Yang, F.; Baskin, J.M.; Baskin, C.C.; Yang, X.; Cao, D.; Huang, Z. Effects of germination time on seed morph ratio in a seed-dimorphic species and possible ecological significance. Ann. Bot. 2014, 115, 137–145. [Google Scholar] [CrossRef] [PubMed]
- Elghniji, K.; Hentati, O.; Mlaik, N.; Mahfoudh, A.; Ksibi, M. Photocatalytic degradation of 4-chlorophenol under P-modified TiO2/UV system: Kinetics, intermediates, phytotoxicity and acute toxicity. J. Environ. Sci. 2012, 24, 479–487. [Google Scholar] [CrossRef]
- Murgolo, S.; Moreira, I.S.; Piccirillo, C.; Castro, P.M.L.; Ventrella, G.; Cocozza, C.; Mascolo, G. Photocatalytic Degradation of Diclofenac by Hydroxyapatite–TiO2 Composite Material: Identification of Transformation Products and Assessment of Toxicity. Materials 2018, 11, 1779. [Google Scholar] [CrossRef] [PubMed]
- Sonu, K.; Puttaiah, S.H.; Raghavan, V.S.; Gorthi, S.S. Photocatalytic degradation of MB by TiO2: Studies on recycle and reuse of photocatalyst and treated water for seed germination. Environ. Sci. Pollut. Res. 2021, 28, 48742–48753. [Google Scholar] [CrossRef] [PubMed]
- Ge, L.; Chen, J.; Qiao, X.; Lin, J.; Cai, X. Light-Source-Dependent Effects of Main Water Constituents on Photodegradation of Phenicol Antibiotics: Mechanism and Kinetics. Environ. Sci. Technol. 2009, 43, 3101–3107. [Google Scholar] [CrossRef] [PubMed]
- Yearly Sunshine in Europe, Data Provided by National Meteorological Agencies. Available online: https://www.currentresults.com/Weather/Europe/Cities/sunshine-annual-average.php (accessed on 12 December 2021).
- Abramović, B.; Šojić, D. TiO2-Assisted Photocatalytic Degradation of Herbicides in Aqueous Solution: A Review. In Desalination: Methods, Costs and Technology; Urbonienė, I.A., Ed.; Nova Science Publishers, Inc.: New York, NY, USA, 2010; pp. 117–142. [Google Scholar]
- Stahl, W.; Sies, H. Antioxidant activity of carotenoids. Mol. Aspects Med. 2003, 24, 345–351. [Google Scholar] [CrossRef]
- Caverzan, A.; Casassola, A.; Brammer, S.P. Antioxidant responses of wheat plants under stress. Genet. Mol. Biol. 2016, 39, 1–6. [Google Scholar] [CrossRef]
- Young, A.J.; Lowe, G.L. Carotenoids—Antioxidant Properties. Antioxidants 2018, 7, 28. [Google Scholar] [CrossRef]
- Hasanuzzaman, M.; Bhuyan, M.H.M.B.; Zulfiqar, F.; Raza, A.; Mohsin, S.M.; Mahmud, J.A.; Fujita, M.; Fotopoulos, V. Reactive Oxygen Species and Antioxidant Defense in Plants under Abiotic Stress: Revisiting the Crucial Role of a Universal Defense Regulator. Antioxidants 2020, 9, 681. [Google Scholar] [CrossRef]
- Fang, Z.; Bouwkamp, J.C.; Solomos, T. Chlorophyllase activities and chlorophyll degradation during leaf senescence in non-yellowing mutant and wild type of Phaseolus vulgaris L. J. Exp. Bot. 1998, 49, 503–510. [Google Scholar] [CrossRef]
- Eckardt, N.A. A New Chlorophyll Degradation Pathway. Plant Cell 2009, 21, 700. [Google Scholar] [CrossRef] [PubMed]
- Matsumura, Y.; Ananthaswamy, H.N. Toxic effects of ultraviolet radiation on the skin. Toxicol. Appl. Pharmacol. 2004, 195, 298–308. [Google Scholar] [CrossRef]
- Warner, C.W.; Caldwell, M.M. Influence of photon flux density in the 400–700 nm waveband on inhibition of photosynthesis by UV-B (280–320 nm) irradiation in soybean leaves: Separation of indirect and immediate effects. Photochem. Photobiol. 1983, 38, 341–346. [Google Scholar] [CrossRef]
- Zvezdanović, J.; Cvetić, T.; Veljović-Jovanović, S.; Marković, D. Chlorophyll bleaching by UV-irradiation in vitro and in situ: Absorption and fluorescence studies. Radiat. Phys. Chem. 2009, 78, 25–32. [Google Scholar] [CrossRef]
- Esteban, R.; Barrutia, O.; Artetxe, U.; Fernández-Marín, B.; Hernández, A.; García-Plazaola, J.I. Internal and external factors affecting photosynthetic pigment composition in plants: A meta-analytical approach. New Phytol. 2015, 206, 268–280. [Google Scholar] [CrossRef]








| Independent Variables | n | TLP [%] | GS |
|---|---|---|---|
| Catalyst type | p ≤ 0.01 † | p ≤ 0.01 † | |
| TiO2 | 162 | 35.07 ± 0.12 a | 79.37 ± 0.64 a |
| ZnO | 162 | 11.14 ± 0.12 b | 76.85 ± 0.64 b |
| Light source | p ≤ 0.01 † | p = 0.23 ‡ | |
| SSI | 162 | 45.16 ± 0.12 a | 77.55 ± 0.64 a |
| UV | 162 | 1.04 ± 0.12 b | 78.67 ± 0.64 a |
| Catalyst loading [mg/mL] | p ≤ 0.01 † | p ≤ 0.01 † | |
| 0.5 | 108 | 21.90 ± 0.15 c | 76.25 ± 0.78 a |
| 1.0 | 108 | 23.47 ± 0.15 b | 79.95 ± 0.78 a,b |
| 2.0 | 108 | 23.94 ± 0.15 a | 78.13 ± 0.78 a |
| Irradiation time [min] | p ≤ 0.01 † | p = 0.43 ‡ | |
| 30 | 108 | 30.72 ± 0.15 a | 77.25 ± 0.78 a |
| 60 | 108 | 22.87 ± 0.15 b | 78.66 ± 0.78 a |
| 120 | 108 | 15.71 ± 0.15 c | 78.43 ± 0.78 a |
| Germination time [h] | p = 1.00 ‡ | p ≤ 0.01 † | |
| 24 | 108 | 23.10 ± 0.15 a | 60.65 ± 0.78 c |
| 48 | 108 | 23.10 ± 0.15 a | 84.72 ± 0.78 b |
| 72 | 108 | 23.10 ± 0.15 a | 88.96 ± 0.78 a |
| Sample mean | 324 |
| Plant Mass (mg Plant−1) | Concentration of Photosynthetic Pigments (mg g−1 FW) and Their Ratios | ||||||||
|---|---|---|---|---|---|---|---|---|---|
| Independent Variables | n | m (AG/P) | m (R/Plant) | m (AB/R) | Chl a | Chl b | Chl a+b | Car | Chl a+b/car |
| Catalyst type | p = 0.27 ‡ | p ≤ 0.01 † | p ≤ 0.01 † | p ≤ 0.01 † | p ≤ 0.01 † | p ≤ 0.01 † | p = 0.53 ‡ | p ≤ 0.01 † | |
| TiO2 | 72 | 235.00 ± 1.92 a | 101.58 ± 1.69 a | 2.38 ± 0.03 b | 5.74 ± 0.10 b | 2.48 ± 0.02 b | 7.33 ± 0.13 b | 1.54 ± 0.03 a | 5.01 ± 0.05 b |
| ZnO | 72 | 232.04 ± 1.92 a | 93.36 ± 1.69 b | 2.57 ± 0.03 a | 6.06 ± 0.10 a | 2.80 ± 0.02 a | 7.90 ± 0.13 a | 1.52 ± 0.03 a | 5.30 ± 0.05 a |
| Light source | p ≤ 0.01 † | p ≤ 0.01 † | p = 0.93 ‡ | p ≤ 0.01 † | p = 0.64 ‡ | p ≤ 0.01 † | p ≤ 0.01 † | p ≤ 0.01 † | |
| SSI | 72 | 221.71 ± 1.92 b | 93.11 ± 1.69 b | 2.48 ± 0.03 a | 5.25 ± 0.10 b | 2.65 ± 0.02 a | 6.93 ± 0.13 b | 1.35 ± 0.03 a | 5.27 ± 0.05 a |
| UV | 72 | 245.33 ± 1.92 a | 101.83 ± 1.69 a | 2.47 ± 0.03 a | 6.56 ± 0.10 a | 2.64 ± 0.02 a | 8.29 ± 0.13 a | 1.71 ± 0.03 b | 5.04 ± 0.05 b |
| Catalyst loading [mg/mL] | p ≤ 0.01 † | p ≤ 0.01 † | p ≤ 0.01 † | p ≤ 0.01 † | p = 0.15 ‡ | p ≤ 0.01 † | p ≤ 0.01 † | p = 0.08 ‡ | |
| 0.5 | 48 | 221.52 ± 2.35 b | 83.73 ± 2.07 b | 2.71 ± 0.04 a | 5.69 ± 0.13 b | 2.63 ± 0.03 a | 7.33 ± 0.16 b | 1.43 ± 0.04 b | 5.27 ± 0.07 a |
| 1.0 | 48 | 236.88 ± 2.35 a | 102.00 ± 2.07 a | 2.39 ± 0.04 b | 6.18 ± 0.13 a | 2.69 ± 0.03 a | 8.00 ± 0.16 a | 1.64 ± 0.04 a | 5.08 ± 0.07 a |
| 2.0 | 48 | 242.17 ± 2.35 a | 106.69 ± 2.07 a | 2.33 ± 0.04 b | 5.83 ± 0.13 b | 2.61 ± 0.03 a | 7.50 ± 0.16 b | 1.52 ± 0.04 b | 5.12 ± 0.07 a |
| Irradiation time [min] | p ≤ 0.01 † | p ≤ 0.01 † | p = 0.07 ‡ | p ≤ 0.01 † | p ≤ 0.01 † | p ≤ 0.01 † | p ≤ 0.01 † | p = 0.72 ‡ | |
| 30 | 48 | 237.79 ± 2.35 a | 98.31 ± 2.07 a | 2.51 ± 0.04 a | 5.76 ± 0.13 b | 2.65 ± 0.03 b | 7.47 ± 0.16 b | 1.49 ± 0.04 b | 5.19 ± 0.07 a |
| 60 | 48 | 224.21 ± 2.35 b | 91.40 ± 2.07 b | 2.51 ± 0.04 a | 6.31 ± 0.13 a | 2.73 ± 0.03 a | 8.13 ± 0.16 a | 1.62 ± 0.04 a | 5.15 ± 0.07 a |
| 120 | 48 | 238.56 ± 2.35 a | 102.71 ± 2.07 a | 2.40 ± 0.04 a | 5.63 ± 0.13 b | 2.54 ± 0.03 c | 7.24 ± 0.16 b | 1.48 ± 0.04 b | 5.12 ± 0.07 a |
| GRAND MEAN | 144 | 233.52 ± 1.33 | 97.47 ± 1.20 | 2.48 ± 0.02 | 5.90 ± 0.06 | 2.64 ± 0.02 | 7.61 ± 0.09 | 1.54 ± 0.03 | 5.15 ± 0.04 |
Publisher’s Note: MDPI stays neutral with regard to jurisdictional claims in published maps and institutional affiliations. |
© 2022 by the authors. Licensee MDPI, Basel, Switzerland. This article is an open access article distributed under the terms and conditions of the Creative Commons Attribution (CC BY) license (https://creativecommons.org/licenses/by/4.0/).
Share and Cite
Bognár, S.; Putnik, P.; Maksimović, I.; Velebit, B.; Putnik-Delić, M.; Šojić Merkulov, D. Sustainable Removal of Tolperisone from Waters by Application of Photocatalysis, Nanotechnology, and Chemometrics: Quantification, Environmental Toxicity, and Degradation Optimization. Nanomaterials 2022, 12, 4199. https://doi.org/10.3390/nano12234199
Bognár S, Putnik P, Maksimović I, Velebit B, Putnik-Delić M, Šojić Merkulov D. Sustainable Removal of Tolperisone from Waters by Application of Photocatalysis, Nanotechnology, and Chemometrics: Quantification, Environmental Toxicity, and Degradation Optimization. Nanomaterials. 2022; 12(23):4199. https://doi.org/10.3390/nano12234199
Chicago/Turabian StyleBognár, Szabolcs, Predrag Putnik, Ivana Maksimović, Branko Velebit, Marina Putnik-Delić, and Daniela Šojić Merkulov. 2022. "Sustainable Removal of Tolperisone from Waters by Application of Photocatalysis, Nanotechnology, and Chemometrics: Quantification, Environmental Toxicity, and Degradation Optimization" Nanomaterials 12, no. 23: 4199. https://doi.org/10.3390/nano12234199
APA StyleBognár, S., Putnik, P., Maksimović, I., Velebit, B., Putnik-Delić, M., & Šojić Merkulov, D. (2022). Sustainable Removal of Tolperisone from Waters by Application of Photocatalysis, Nanotechnology, and Chemometrics: Quantification, Environmental Toxicity, and Degradation Optimization. Nanomaterials, 12(23), 4199. https://doi.org/10.3390/nano12234199

