Effects of Nickel Impregnation on the Catalytic Removal of Nitric Oxide by Polyimide-Based Activated Carbon Fibers
Abstract
1. Introduction
2. Experimental
2.1. Materials
2.2. Characterization
2.3. NO Removal (Adsorption)
3. Results and Discussion
3.1. Preparation of Nickel-Impregnated ACF Samples
3.2. XRD and XPS Analyses
3.3. N2/77K Adsorption-Desorption Isotherm Curve
3.4. Textural Properties
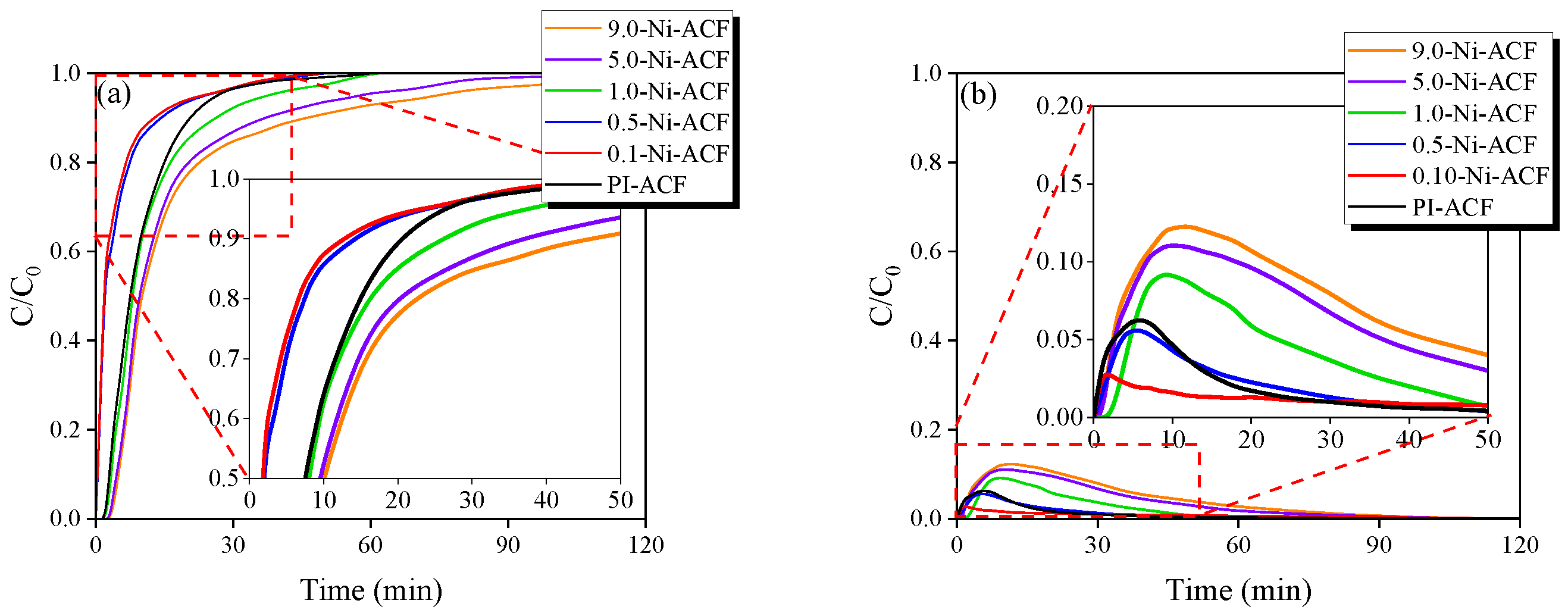
3.5. NO Adsorption Behavior
4. Conclusions
Author Contributions
Funding
Data Availability Statement
Conflicts of Interest
References
- Boningari, T.; Smirniotis, P.G. Impact of nitrogen oxides on the environment and human health: Mn-based materials for the NOx abatement. Curr. Opin. Chem. Eng. 2016, 13, 133–141. [Google Scholar] [CrossRef]
- Chin, T.; Tam, I.C.; Yin, C.-Y. Comparison of various chemical compounds for the removal of SO2 and NOx with wet scrubbing for marine diesel engines. Environ. Sci. Pollut. Res. 2021, 29, 8873–8891. [Google Scholar] [CrossRef]
- Fang, Z.; Yu, X.; Tu, S.-T. Catalytic oxidation of NO on activated carbons. Energy Procedia 2019, 158, 2366–2371. [Google Scholar] [CrossRef]
- Pârvulescu, V.I.; Grange, P.; Delmon, B. Catalytic removal of NO. Catal. Today 1998, 46, 233–316. [Google Scholar] [CrossRef]
- Zhu, J.; Thomas, A. Perovskite-type mixed oxides as catalytic material for NO removal. Appl. Catal. B Environ. 2009, 92, 225–233. [Google Scholar] [CrossRef]
- Nakamura, I.; Negishi, N.; Kutsuna, S.; Ihara, T.; Sugihara, S.; Takeuchi, K. Role of oxygen vacancy in the plasma-treated TiO2 photocatalyst with visible light activity for NO removal. J. Mol. Catal. A Chem. 2000, 161, 205–212. [Google Scholar] [CrossRef]
- Hong, Z.; Wang, Z.; Li, X. Catalytic oxidation of nitric oxide (NO) over different catalysts: An overview. Catal. Sci. Technol. 2017, 7, 3440–3452. [Google Scholar] [CrossRef]
- Wang, T.; Zhu, C.; Liu, H.; Xu, Y.; Zou, X.; Xu, B.; Chen, T. Performance of selective catalytic reduction of NO with NH3 over natural manganese ore catalysts at low temperature. Environ. Technol. 2017, 39, 317–326. [Google Scholar] [CrossRef]
- Wei, J.; Luo, Y.; Yu, P.; Cai, B.; Tan, H. Removal of NO from flue gas by wet scrubbing with NaClO2/(NH2)2CO solutions. J. Ind. Eng. Chem. 2009, 15, 16–22. [Google Scholar] [CrossRef]
- Fang, P.; Cen, C.; Wang, X.; Tang, Z.; Tang, Z.; Chen, D. Simultaneous removal of SO2, NO and Hg0 by wet scrubbing using urea+KMnO4 solution. Fuel Process. Technol. 2013, 106, 645–653. [Google Scholar] [CrossRef]
- Nikolov, P.; Khristova, M.; Mehandjiev, D. Low-temperature NO removal over copper-containing activated carbon. Colloids Surf. A Physicochem. Eng. Asp. 2007, 295, 239–245. [Google Scholar] [CrossRef]
- Wang, M.-X.; Guo, Z.; Huang, Z.-H.; Kang, F. NH3-activated carbon nanofibers for low-concentration NO removal at room temperature. Catal. Commun. 2015, 62, 83–88. [Google Scholar] [CrossRef]
- Mohan, D.; Pittman, C.U., Jr. Activated carbons and low cost adsorbents for remediation of tri- and hexavalent chromium from water. J. Hazard. Mater. 2006, 137, 762–811. [Google Scholar] [CrossRef] [PubMed]
- Neolaka, Y.A.B.; Riwu, A.A.P.; Aigbe, U.O.; Ukhurebor, K.E.; Onyancha, R.B.; Darmokoesoemo, H.; Kusuma, H.S. Potential of activated carbon from various sources as a low-cost adsorbent to remove heavy metals and synthetic dyes. Results Chem. 2023, 5, 100711. [Google Scholar] [CrossRef]
- Kang, K.C.; Kim, S.S.; Choi, J.W.; Kwon, S.H. Sorption of Cu2+ and Cd2+ onto acid- and base-pretreated granular activated carbon and activated carbon fiber samples. J. Ind. Eng. Chem. 2008, 14, 131–135. [Google Scholar] [CrossRef]
- Kim, B.-J.; Lee, H.-M.; Kim, H.-G.; An, K.-H.; Kang, H.-R. Comparative studies of porous carbon nanofibers by various activation methods. Carbon Lett. 2013, 14, 180–185. [Google Scholar]
- Lee, B.-H.; Lee, H.-M.; Chung, D.C.; Kim, B.-J. Effect of Mesopore Development on Butane Working Capacity of Bio-mass-Derived Activated Carbon for Automobile Canister. Nanomaterials 2021, 11, 673. [Google Scholar] [CrossRef]
- Lee, H.-M.; Lee, B.-H.; An, K.-H.; Park, S.-J.; Kim, B.-J. Facile preparation of activated carbon with optimal pore range for high butane working capacity. Carbon Lett. 2020, 30, 297–305. [Google Scholar] [CrossRef]
- Lozano-Castelló, D.; Cazorla-Amorós, D.; Linares-Solano, A.; Quinn, D.F. Influence of pore size distribution on methane storage at relatively low pressure: Preparation of activated carbon with optimum pore size. Carbon 2002, 40, 989–1002. [Google Scholar] [CrossRef]
- Hao, Y.; Leng, Z.; Yu, C.; Xie, P.; Meng, S.; Zhou, L.; Li, Y.; Liang, G.; Li, X.; Liu, C. Ultra-lightweight hollow bowl-like carbon as microwave absorber owning broad band and low filler loading. Carbon 2023, 212, 118156. [Google Scholar] [CrossRef]
- Mochida, I.; Kawabuchi, Y.; Kawano, S.; Matsumura, Y.; Yoshikawa, M. High catalytic activity of pitch-based activated carbon fibres of moderate surface area for oxidation of NO to NO2 at room temperature. Fuel 1997, 76, 543–548. [Google Scholar] [CrossRef]
- Chang, S.; Han, Z.; Yang, J.; Chen, X.; Liu, J.; Liu, Y.; Li, J. Nitrogen-Doped Pitch-Based Activated Carbon Fibers with Multi-Dimensional Metal Nanoparticle Distribution for the Effective Removal of NO. Catalysts 2022, 12, 1192. [Google Scholar] [CrossRef]
- Qu, Y.-F.; Guo, J.-X.; Chu, Y.-H.; Sun, M.-C.; Yin, H.-Q. The influence of Mn species on the SO2 removal of Mn-based activated carbon catalysts. Appl. Surf. Sci. 2013, 282, 425–431. [Google Scholar] [CrossRef]
- Moosavi, E.S.; Dastgheib, S.A.; Karimzadeh, R. Adsorption of Thiophenic Compounds from Model Diesel Fuel Using Copper and Nickel Impregnated Activated Carbons. Energies 2012, 5, 4233–4250. [Google Scholar] [CrossRef]
- Jiménez-Marín, E.; Villalpando, I.; Trejo-Valdez, M.; Cervantes-Sodi, F.; Vargas-García, J.R.; Torres-Torres, C. Coexistence of positive and negative photoconductivity in nickel oxide decorated multiwall carbon nanotubes. Mater. Sci. Eng. B 2017, 220, 22–29. [Google Scholar] [CrossRef]
- Yang, J.-K.; Park, H.-J.; Lee, H.-D.; Lee, S.-M. Removal of Cu(II) by activated carbon impregnated with iron(III). Colloids Surf. A Physicochem. Eng. Asp. 2009, 337, 154–158. [Google Scholar] [CrossRef]
- Wang, J.; Zhao, F.; Hu, Y.; Zhao, R.; Liu, R. Modification of Activated Carbon Fiber by Loading Metals and Their Performance on SO2 Removal. Chin. J. Chem. Eng. 2006, 14, 478–485. [Google Scholar] [CrossRef]
- Xu, S.; Niu, M.; Zhao, G.; Ming, S.; Li, X.; Zhu, Q.; Ding, L.-X.; Kim, M.; Alothman, A.A.; Mushab, M.S.S.; et al. Size control and electronic manipulation of Ru catalyst over B, N co-doped carbon network for high-performance hydrogen evolution reaction. Nano Res. 2022, 16, 6212–6219. [Google Scholar] [CrossRef]
- Khristova, M.; Mehandjiev, D. Conversion of NO on a Ni impregnated-active carbon catalyst in the presence of oxygen. Carbon 1998, 36, 1379–1385. [Google Scholar] [CrossRef]
- Yamashita, H.; Yamada, H.; Tomita, A. Reaction of nitric oxide with metal-loaded carbon in the presence of oxygen. Appl. Catal. 1991, 78, L1–L6. [Google Scholar] [CrossRef]
- Veiga, S.; Bussi, J. Steam reforming of crude glycerol over nickel supported on activated carbon. Energy Convers. Manag. 2017, 141, 79–84. [Google Scholar] [CrossRef]
- Lee, H.-M.; Lee, B.-H.; Park, S.-J.; An, K.-H.; Kim, B.-J. Pitch-Derived Activated Carbon Fibers for Emission Control of Low-Concentration Hydrocarbon. Nanomaterials 2019, 9, 1313. [Google Scholar] [CrossRef] [PubMed]
- Lee, H.-M.; Lee, B.-H.; Kim, J.-H.; An, K.-H.; Park, S.-J.; Kim, B.-J. Determination of the optimum porosity for 2-CEES adsorption by activated carbon fiber from various precursors. Carbon Lett. 2019, 29, 649–654. [Google Scholar] [CrossRef]
- Liu, Z.-S.; Chen, J.-Y.; Peng, Y.-H. Activated carbon fibers impregnated with Pd and Pt catalysts for toluene removal. J. Hazard. Mater. 2013, 256–257, 49–55. [Google Scholar] [CrossRef]
- Lin, C.-L.; Cheng, Y.-H.; Liu, Z.-S.; Chen, J.-Y. Metal catalysts supported on activated carbon fibers for removal of polycyclic aromatic hydrocarbons from incineration flue gas. J. Hazard. Mater. 2011, 197, 254–263. [Google Scholar] [CrossRef] [PubMed]
- Wang, C.; Bai, L.; Zhao, F.; Bai, L. Activated carbon fibers derived from natural cattail fibers for supercapacitors. Carbon Lett. 2022, 32, 907–915. [Google Scholar] [CrossRef]
- Hassan, M.F.; Sabri, M.A.; Fazal, H.; Hafeez, A.; Shezad, N.; Hussain, M. Recent trends in activated carbon fibers production from various precursors and applications—A comparative review. J. Anal. Appl. Pyrolysis 2020, 145, 104715. [Google Scholar] [CrossRef]
- Kim, J.-H.; Jung, S.-C.; Lee, H.-M.; Kim, B.-J. Comparison of Pore Structures of Cellulose-Based Activated Carbon Fibers and Their Applications for Electrode Materials. Int. J. Mol. Sci. 2022, 23, 3680. [Google Scholar] [CrossRef]
- Lee, H.-M.; An, K.-H.; Kim, B.-J. Effects of carbonization temperature on pore development in polyacrylonitrile-based activated carbon nanofibers. Carbon Lett. 2014, 15, 146–150. [Google Scholar] [CrossRef]
- Zhang, M.Y.; Niu, H.Q.; Qi, S.L.; Tian, G.F.; Wang, X.D.; Wu, D.Z. Structure evolutions involved in the carbonization of polyimide fibers with different chemical constitution. Mater. Today Commun. 2014, 1, 1–8. [Google Scholar] [CrossRef]
- Brunauer, S.; Emmett, P.H.; Teller, E. Adsorption of Gases in Multimolecular Layers. J. Am. Chem. Soc. 1938, 60, 309–319. [Google Scholar] [CrossRef]
- Lippens, B. Studies on pore systems in catalysts V. The t method. J. Catal. 1965, 4, 319–323. [Google Scholar] [CrossRef]
- Barrett, E.P.; Joyner, L.G.; Halenda, P.P. The Determination of Pore Volume and Area Distributions in Porous Substances. I. Computations from Nitrogen Isotherms. J. Am. Chem. Soc. 1951, 73, 373–380. [Google Scholar] [CrossRef]
- Aboud, M.; ALOthman, Z.; Habila, M.; Zlotea, C.; Latroche, M.; Cuevas, F. Hydrogen Storage in Pristine and d10-Block Metal-Anchored Activated Carbon Made from Local Wastes. Energies 2015, 8, 3578–3590. [Google Scholar] [CrossRef]
- Jayaseelan, C.; Rahuman, A.A.; Ramkumar, R.; Perumal, P.; Rajakumar, G.; Kirthi, A.V.; Santhoshkumar, T.; Marimuthu, S. Effect of sub-acute exposure to nickel nanoparticles on oxidative stress and histopathological changes in Mozambique tilapia, Oreochromis mossambicus. Ecotoxicol. Environ. Saf. 2014, 107, 220–228. [Google Scholar] [CrossRef]
- Biesinger, M.C.; Payne, B.P.; Lau, L.W.M.; Gerson, A.; Smart, R.S.C. X-ray photoelectron spectroscopic chemical state quantification of mixed nickel metal, oxide and hydroxide systems. Surf. Interface Anal. 2009, 41, 324–332. [Google Scholar] [CrossRef]
- Thommes, M.; Kaneko, K.; Neimark, A.V.; Olivier, J.P.; Rodriguez-Reinoso, F.; Rouquerol, J.; Sing, K.S.W. Physisorption of gases, with special reference to the evaluation of surface area and pore size distribution (IUPAC Technical Report). Pure Appl. Chem. 2015, 87, 1051–1069. [Google Scholar] [CrossRef]
- Chen, Z.; Lin, M.; Ignowski, J.; Kelly, B.; Linjewile, T.M.; Agarwal, P.K. Mathematical modeling of fluidized bed combustion. 4: N2O and NOX emissions from the combustion of char. Fuel 2001, 80, 1259–1272. [Google Scholar] [CrossRef]
- Swartz, W.E., Jr.; Youssefi, M. The reactions of nitric oxide with nickel films as studied by X-ray photoelectron spectroscopy. J. Electron Spectrosc. Relat. Phenom. 1976, 8, 61–70. [Google Scholar] [CrossRef]
- Liu, X.; Sun, F.; Qu, Z.; Gao, J.; Wu, S. The effect of functional groups on the SO2 adsorption on carbon surface I: A new insight into noncovalent interaction between SO2 molecule and acidic oxygen-containing groups. Appl. Surf. Sci. 2016, 369, 552–557. [Google Scholar] [CrossRef]
- Liu, H.; Yu, Y.; Shao, Q.; Long, C. Porous polymeric resin for adsorbing low concentration of VOCs: Unveiling adsorption mechanism and effect of VOCs’ molecular properties. Sep. Purif. Technol. 2019, 228, 115755. [Google Scholar] [CrossRef]









| Sample Name | FT-IR (mg/g) | ICP-OES (mg/g) |
|---|---|---|
| PI-ACF | - | - |
| 0.1-Ni-ACF | 0.83 | 0.56 |
| 0.5-Ni-ACF | 2.35 | 2.10 |
| 1.0-Ni-ACF | 3.26 | 2.89 |
| 5.0-Ni-ACF | 4.08 | 3.88 |
| 9.0-Ni-ACF | 5.16 | 5.41 |
| Sample Name | SBET a (m2/g) | VTotal b (cm3/g) | VMicro c (cm3/g) | VMeso d (cm3/g) | RMicro e (%) | Davg f (nm) |
|---|---|---|---|---|---|---|
| PI-ACF | 1150 | 0.48 | 0.45 | 0.03 | 93.8 | 1.69 |
| 0.1-Ni-ACF | 1180 | 0.50 | 0.47 | 0.03 | 94.0 | 1.68 |
| 0.5-Ni-ACF | 1160 | 0.49 | 0.46 | 0.03 | 93.9 | 1.71 |
| 1.0-Ni-ACF | 1130 | 0.48 | 0.45 | 0.03 | 93.8 | 1.71 |
| 5.0-Ni-ACF | 1070 | 0.46 | 0.43 | 0.03 | 93.5 | 1.73 |
| 9.0-Ni-ACF | 1010 | 0.43 | 0.41 | 0.02 | 95.3 | 1.74 |
Disclaimer/Publisher’s Note: The statements, opinions and data contained in all publications are solely those of the individual author(s) and contributor(s) and not of MDPI and/or the editor(s). MDPI and/or the editor(s) disclaim responsibility for any injury to people or property resulting from any ideas, methods, instructions or products referred to in the content. |
© 2023 by the authors. Licensee MDPI, Basel, Switzerland. This article is an open access article distributed under the terms and conditions of the Creative Commons Attribution (CC BY) license (https://creativecommons.org/licenses/by/4.0/).
Share and Cite
Jeong, H.-S.; Kim, B.-J. Effects of Nickel Impregnation on the Catalytic Removal of Nitric Oxide by Polyimide-Based Activated Carbon Fibers. Nanomaterials 2023, 13, 2297. https://doi.org/10.3390/nano13162297
Jeong H-S, Kim B-J. Effects of Nickel Impregnation on the Catalytic Removal of Nitric Oxide by Polyimide-Based Activated Carbon Fibers. Nanomaterials. 2023; 13(16):2297. https://doi.org/10.3390/nano13162297
Chicago/Turabian StyleJeong, Hun-Seung, and Byung-Joo Kim. 2023. "Effects of Nickel Impregnation on the Catalytic Removal of Nitric Oxide by Polyimide-Based Activated Carbon Fibers" Nanomaterials 13, no. 16: 2297. https://doi.org/10.3390/nano13162297
APA StyleJeong, H.-S., & Kim, B.-J. (2023). Effects of Nickel Impregnation on the Catalytic Removal of Nitric Oxide by Polyimide-Based Activated Carbon Fibers. Nanomaterials, 13(16), 2297. https://doi.org/10.3390/nano13162297

