Abstract
We have simulated BiCoO films epitaxially grown along (001) direction with density functional theory computations. Leading candidates for the lowest-energy phases have been identified. The tensile strains induce magnetic phase transition in the ground state ( symmetry) from a C-type antiferromagnetic order to a G-type order for the in-plane lattice parameter above 3.922 Å. The G-type antiferromagnetic order will be maintained with larger tensile strains; however, a continuous structural phase transition will occur, combining the ferroelectric and antiferrodistortive modes. In particular, the larger tensile strain allows an isostructural transition, the so-called Cowley’s ‘‘Type Zero’’ phase transitions, from -(I) to -(II), with a slight volume collapse. The orientation of ferroelectric polarization changes from the out-of-plane direction in the to the in-plane direction in the state under epitaxial tensile strain; meanwhile, the magnetic ordering temperature T can be strikingly affected by the variation of misfit strain.
1. Introduction
Multiferroic materials, which combine broken space inversion symmetry with time inversion symmetry, have become one of the fastest growing research topics [1]. Two or more ferroic orders can coexist in a single phase in such materials, such as ferroelectric and magnetic orders [2,3]. The ferroelectric polarization breaks the space inversion symmetry, while the magnetic order breaks the time inversion symmetry. The couplings between these orders facilitate conditions for controlling the magnetization by an electric field and/or the polarization by a magnetic field, which open up the technological applications in the field of spintronics, microwave filters, energy storage, and resistive switching devices [4,5,6].
BiCoO (BCO), isostructural with ferroelectric PbTiO, possesses a rather large displacement of the Co cation away from the center of the typical oxygen octahedra, resulting in forming a pyramid, whereas the pyramidal coordination can evolve into octahedral coordination under high pressure accompanied by the high-to-low spin state transition and structural phase transition [7,8,9]. Such structural characteristics lead to rich application research. BiCoO-based ferroelectrics could possess a significantly negative thermal expansion (NTE), whereby the volume shrinks rather than expands as the temperature rises, providing an opportunity to control the overall thermal expansion of structural materials [10]. By optimizing the arrangement of ligand vacancies, BiCoO could enhance OER activity at a large current density with low overpotential, meeting the requirements of industrial water splitting [11]. BiCoO was also proposed as a low-cost and high-performance electrode material. The retention of 92.7% after 5000 cycles at 1 Ag current density and an almost invariable specific capacity over different current density cycles were achieved with a 3D urchin-like BiCoO material as a supercapacitor, which is free of templates and surfactants [12]. The Nel temperature could be changed significantly from 44 K for x = 0 to 470 K for x = 1 by varying the composition in the solid solution (1−x)PbVO−xBiCoO[13]. Due to the bulk Rashba effect, BiCoO are particularly promising for energy storage via specific spin texture [14,15].
On the other hand, the properties of thin films could be prominently affected by epitaxial strain derived from lattice mismatch between a thin film and the underlying substrate [16]. In this paper, we perform first-principles calculations to simulate BiCoO films epitaxially grown along the (001) direction. Due to the coupling of AFD and polarization, the polarization tends to tilt away from the out-of-plane in a phase transition between the tetragonal phase and the monoclinic phase and eventually tends to lie along the in-plane direction in the orthorhombic state under epitaxial tensile strain, resulting in an epitaxial strain-induced phase transition. It can also be demonstrated that the magnetic ordering temperature T can be significantly enhanced above 800 K in the phase and phase under tensile strain.
2. Computational Methods
We conducted first-principles calculations by the Vienna Ab initio Simulation Package (VASP) with projector augmented wave (PAW) pseudopotentials based on the density functional theory (DFT) [17,18]. The GGA-PBE exchange–correlation functional was employed to describe the electron–ion interaction [19]. We chose a cutoff energy of 550 eV and a Monkhorst–Pack k-point mesh with 6 × 6 × 4 after carefully evaluating the convergence of the computed results with regard to the cutoff energy and the number of k points. Note that the choice of a 550 eV energy cutoff is higher than 1.3 times the maximum value of ENMAX for oxygen’s pseudopotential and the 6 × 6 × 4 k-point mesh for a unit cell defined as below is also adequately precise, as demonstrated in numerous studies and our previous work [20,21,22,23,24]. In order to model epitaxial (001) BiCoO films, the lattice vectors of these 20-atom cells (i.e., unit cells) are defined as
where , y, and are the unit vectors lying the substrate pseudocubic [100], [010], and [001] directions, respectively. and are the in-plane lattice vectors, while is the out-of-plane lattice vector, which are along the pseudocubic [110], [10], and [001] directions, respectively. is the in-plane lattice parameter corresponding to the epitaxial strain. Hence, the epitaxial strain can be obtained by , where = 3.72 Å corresponds to the in-plane lattice parameter of the equilibrium state of bulk BCO. The model of epitaxial structure grown on a cubic (001)-oriented substrate is shown in Figure 1a. Structural optimizations are carried out by relaxing the cell parameter , , and as well as the atomic positions for total energy minimization until the Hellmann–Feynman force of 0.005 eV Å is reached. The strategy for structural optimizations can result in fixing the in-plane lattice parameters while optimizing the out-of-plane lattice parameter. The validity of such a strategy for modeling epitaxial films has been demonstrated in other systems, such as BiFeO, SrZrO, and NaNbO [21,25,26].
Figure 1.
(a) The model of epitaxial structure grown on a cubic (001)-oriented substrate and the crystal structures for the lowest-energy phases, that is, , , and . The oxygen octahedra tilting in in-plane and out-of-plane directions (red oval arrows) can result in distorted structures with the antiferrodistortive vectors. (b) Total energy of the leading candidates for lowest-energy phase versus the in-plane lattice parameter in epitaxial (001) BCO films.
The ferroelectric polarization is computed by means of Berry phase [27,28]. One can also evaluate the polarization from the product of the Born effective charges with the atomic displacements by the approximated expression [29]:
in which and represent the Born effective charges (BECs) tensor element of atom i and the corresponding displacement of atom i along the direction from the considered ferroelectric phase to its corresponding paraelectric phase, respectively. The indices and run over the three Cartesian axes and index i runs over all the atoms in the unit cell. The structural symmetry of strained epitaxial phases are determined by the use of the FINDSYM program [30].
3. Results and Discussion
3.1. Structures
The perovskite BiCoO adopts the non-centrosymmetric polar point group with space group (the group number 99). As shown in Figure 1a, it yields the tetragonal structure. One can estimate possible low-symmetry distortion from the cubic ABO perovskite structure by the use of the typical tolerance factor [31],
where , , and denote the ionic radii of A, B, and oxygen atoms, respectively. For the typical polar perovskite BaTiO and PbTiO with the non-centrosymmetric state, the tolerance factor is 1.061 (1.062) and 1.022 (1.019) by the bond valence parameter (Shannon ionic radii) [32,33], respectively. The tolerance factor of BiCoO, however, is 0.974, obtained simply by the bond valence parameter. Such a fact (t < 1) is inconsistent with BaTiO and PbTiO and further implies that the oxygen octahedra tiltings will yield a lower symmetry, such as tetragonal, orthorhombic, rhombohedral, etc. Hence, it is legitimate to infer that BiCoO would exhibit more complex phases under external conditions, for example, epitaxial strain. However, before considering the strain engineering, let us focus on the ground state of BiCoO.
Analogous to the typical ABO perovskite, the primitive cell of BCO embodies five atoms to form one formula unit. By the first-principles calculation, the in-lattice parameter in the tetragonal phase of BCO is a = 3.718 for the primitive cell with five atoms. Note that we utilize the unit cell containing 20 atoms for all computations, as mentioned in the Computational Methods section. The use of these enlarged supercells is advantageous for modeling the antiferromagnetic ordering and optimizing the distorted structures. The result is well consistent with the previous experiments [7,34]. Bi atom is located in the vertex of the tetragonal structure with the Wycoff coordinate 1a (0, 0, 0). However, Co and O atoms deviate from the center of both the body and face of the cell. Co atom occupies the Wycoff coordinate 1b (0.5, 0.5, 0.430), while O1 and O2 atoms are located in 1b (0.5, 0.5, 0.863) and 2c ( 0.5, 0, 0.342). The off-center Co atom bonds with the five O atoms, leading to an oxygen pyramid of CoO5 rather than an octahedra.
We first calculate the evolution in the total energy with the in-plane lattice parameter for the low-energy states. The ground state is a symmetry with C-type antiferromagnetic order. As we can see, the tensile strain will induce a magnetic phase transition from the C-type antiferromagnetic order to G-type order for the in-plane lattice parameter above 3.922 Å. Then, the state will change into a monoclinic state, i.e., symmetry, when subject to the in-plane lattice constaint from the matching plane with substrates. The structural phase transition occurs with = 4.03 Å.(4.18,4.47), where the NdScO, BaSnO, BiScO, etc., substrates [35] can provide such epitaxial tensile strains. Meanwhile, the spin orders will remain the G-type antiferromagnetic order as the strain continues to increase. This is even the case when the system undergoes another structural phase transition.
Let us now turn our attention to the phase transition from the -(I) to -(II) state being of an isosymmetric phase. Such transition is rather different with the isosymmetric phase transition of to ’ in strained BiFeO[36], i.e., the tetragonal-like T phase to the rhombohedral-like R phase. In striking contrast to the rhombohedral-like R phase of BFO (with a c/a ratio of 1.3 and FeO5 pyramids), the two states in BiCoO both possess CoO6 octahedra with an oxygen octahedral tilting pattern. Hence, the two states should both belong to the rhombohedral-like R phase. Note also that isosymmetric phase transition, the so-called Cowley’s ‘‘Type Zero’’ phase transition [37,38], can abruptly alter c/a lattice parameter ratios and/or unit cell volume, but not change the space group symmetry (inclusive of translational symmetry). As we can see, the symmetry of ( point group with Schoenflies’ symbol) does not change when the phase transition occurs but with a change of c/a ratio from 0.99 to 0.96, as well as with a volume collapse of 2.9%, which are representative of a strong first-order transition. We also predict a tilt change of out-of-plane lattice vector, i.e., c axis, deflecting from the epitaxial perpendicular direction of in-plane, accompanied by a decrease in magnitude of 0.82 degrees, as shown in Figure 2. Note that the -(II) phase can be matched well with the lattice constant of LaLuO substrate [16]. Moreover, the structural phases at a finite temperature may form with a smaller strain.
Figure 2.
Structural properties of epitaxial (001) BCO films as a function of in-plane lattice parameter in the equilibrium phases. Panel (a) displays the lattice parameter a, b, and versus in-plane lattice parameter. Panel (b) shows the volume (left vertical axis) and axial ratio (right vertical axis) versus the in-plane lattice parameter. Panel (c) represents the angle between the c-axis and the ab-plane versus in-plane lattice parameter.
As the strain continues to increase, the phase appears. Without the volume collapses and the change of axial ratio in comparison with the previous phase transition, both volume and axial ratios change continuously at the boundary of the phase transition. Nevertheless, it is still a first-order phase transition, since the change in energy is shown in Figure 1. To facilitate an experimental validation of our theoretical predictions, Table 1 summarizes the calculated lattice parameters and unit cell angles obtained for the relaxed , -(I), -(II), and phases when the in-plane lattice parameters a are equal to 3.72, 4.03, 4.18, and 4.47 Å, respectively, which are redefined by the FINDSYM program.
Table 1.
The reduced unit cell parameters of the , -(I), -(II), and phases when the in-plane lattice parameters a are equal to 3.72, 4.03, 4.18, and 4.47 Å, respectively, which are redefined by the FINDSYM program. a, b, and c are the lattice parameters (in Å). , , and are reduced unit cell angles (in degrees). The number n is the number of atoms in the reduced unit cell of BiCoO.
3.2. Polarization and Antiferrodistortive Vetors
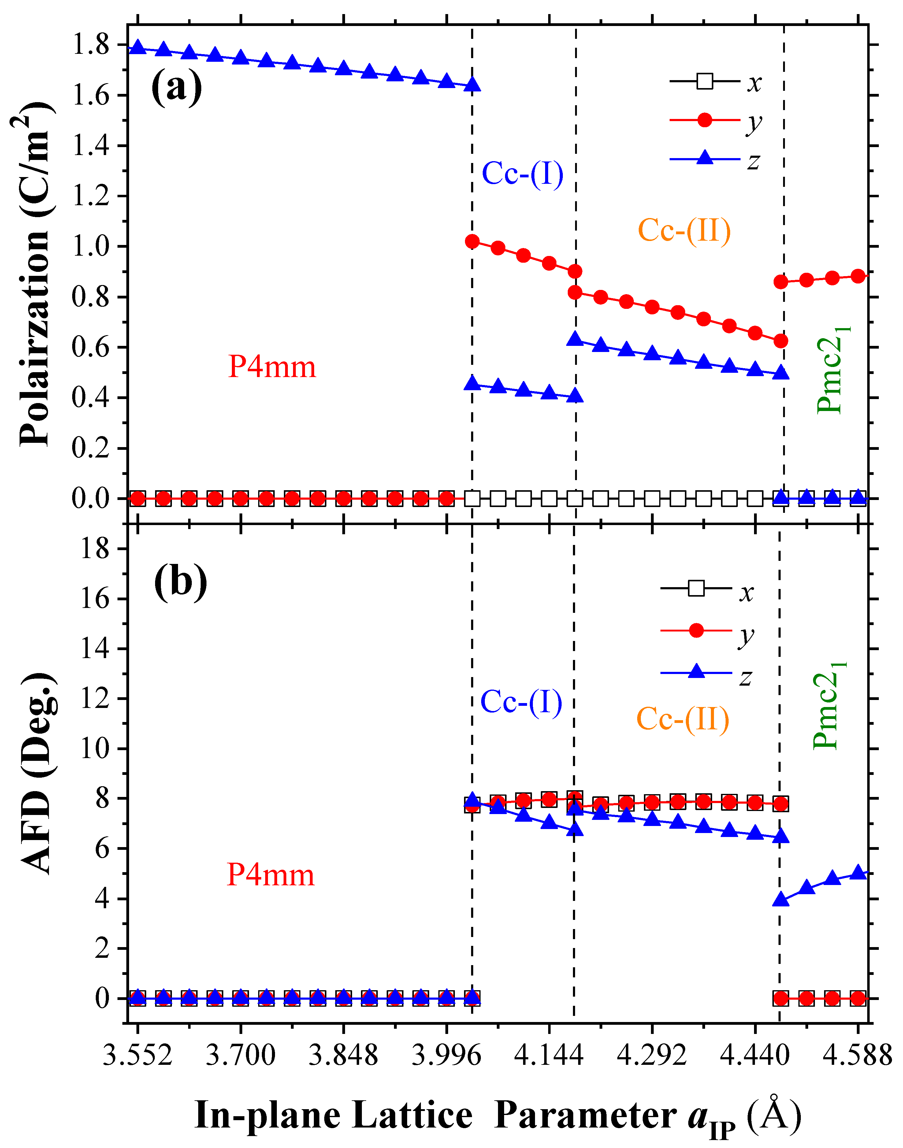
Note that the orientation of ferroelectric polarization tends to tilt away from the out-of-plane in the transition of to and eventually tends to lie along the in-plane direction in the state under epitaxial tensile strain, which is shown in Figure 3a. In the phase, although the out-plane of polarization decreases with the in-plane lattice parameter, the magnitude of polarization is still rather large, at above 160 , up to the boundary of phase transition. For this boundary, the total polarization reduces to 151 in the -I state. While the out-plane of polarization decreases to 45 , the in-plane polarization appears, which is about 102 along y-axis.
Figure 3.
The Cartesian components of (a) the ferroelectric polarization and (b) antiferrodistortive (AFD) vectors of the equilibrium phases of epitaxial (001) BCO films, as a function of in-plane lattice parameter.
At the same time, the pyramidal CoO5 in the phase disappears and oxygen octahedrons in the state begin to form and rotate, which leads to the so-called antiferrodistortion. Here, we use the antiferrodistortive vector (AFD) to determine its magnitude and direction, in which its axis provides the direction of oxygen octahedra rotating, whereas its magnitude provides the angle of such a rotation. For example, the AFD vector of the -I state for this boundary should be (7.7,7.7,7.8), which is about along the [111] direction. Such an AFD vector also corresponds to an octahedra tilting pattern (indicated by Glazer’s notations [39]). With the strain increasing, a decreasing out-of-plane component of the AFD vector causes the polarization to decrease, resulting from their coupling. Similar conditions also occur in the -II phase as well as the boundary between -I and -II phases. Whereas the out-of-plane polarization of -II phase is larger than that of -I phase, the in-plane polarization is smaller than that of -I. When subjected to the state, a vanishing in-plane component of the AFD vector (i.e., tilting pattern) results in the enhancement of out-of-plane polarization and the vanishing of in-plane polarization. The in-plane polarization exceeds 85 . We note that Ref. [26] also reported a polar phase induced by strain, with an octahedral tilting pattern, which is similar to our calculated structure in Figure 1b, featuring in-plane anti-phase rotations (which are higher in energy for our system, with the out-of-plane in-phase tilting suppressed during structural optimization). In contrast, the polar phase of BiCoO in this work has an tilting pattern, with the in-plane anti-phase tiltings suppressed and out-of-plane in-phase rotation activated, resulting in lower energy. Hence, the two structures are distinct. Furthermore, NaNbO has a electronic configuration for Nb without magnetism as a ferroelectric. BiCoO (with for Co) exhibits antiferromagnetic ordering with a Nel temperature above room temperature as discussed later, which makes it a candidate for a room-temperature multiferroic material.
3.3. Nel Temperature
The Nel temperature (T) can be estimated with the use of the mean field approximation (MFA) or Monte Carlo (MC) simulations [40,41] by considering the in-plane and out-of-plane magnetic exchange constants ( and ). According to the effective Heisenberg Hamiltonian model . The magnetic exchange constants can be determined from our first-principles calculations by mapping the calculated total energies for each magnetic state to the Heisenberg model:
where E(F), E(A), E(C), and E(G) are the total energies of the ferromagnetic (FM) and A-, C-, and G-type antiferromagnetic orders (A-AFM, C-AFM, and G-AFM), respectively. Note that the A-AFM order exhibits the spins of Co, which are parallel in the in-plane direction and antiparallel along the out-of-plane direction. The C-AFM order possesses the spins of Co, which are parallel along the out-of-plane direction and antiparallel in the in-plane direction. The G-AFM order yields the spins of Co antiparallel to all the nearest neighbors. We assume normalized spins and take for simplicity here. The Nel temperature for the magnetic transition can then be evaluated in the MFA level as:
The calculated Nel temperature of bulk BiCoO perovskite oxide for different U values are shown in Figure 4a. These results reveal that the transition temperature from the C-type antiferromagnetic state to the paramagnetic state of the phase for BiCoO is significantly influenced by the value of U. Note that the experimental value of T, i.e., 474 K, was reported, which is marked by the gray and magenta dashed lines in the panels (a) and (b) and presents a direct comparison between our theoretical predictions and the measured transition temperatures. Hence, we employ the conventional value of 4.8 eV for U with the Co ions. Such a value is consistent with the measured values, when recalling that mean field approaches neglect spin fluctuations and thus overestimate magnetic transition temperatures [23,42]. The corresponding local magnetic moment is about 3.10 for each Co ion, which is consistent with the +3 charge of this Co ion and is in rather good agreement with the measurements.
Figure 4.
Magnetic-related properties of epitaxial (001) BCO films. Panel (a) displays the magnetic ordering temperature T varying with the Hubbard parameter U for the ground state of BiCoO. Panels (b,c) show the T with U = 4.8 eV and 5.91 eV and magnetic moment of Co as a function of in-plane lattice parameter. Panel (d) represents the temperature dependency of the specific heat in the ground state of BiCoO. The gray and magenta dashed lines in the panels (a,b) denote the experimentally determined Nel temperatures (T) of the tetragonal phase.
We also solve the Hamiltonians to obtain T by means of Monte Carlo simulations of a 20 × 20 × 20 periodically repeated simulation supercell that contains 8000 Co spins. We use 40,000 Monte Carlo sweeps for thermalization and 10,000 additional sweeps for computing statistical averages. The specific heat can be calculated in MC simulations by
once the system has reached equilibrium at the given temperature (T). Hence, T can be obtained by locating the maximum on the curve of versus T. We perform the MC modeling to determine the transition temperature of the phase in BiCoO. As one can see, the specific heat exhibits a substantial reduction when heating over 410 K, indicating a transition from antiferromagnetic state to paramagnetic state at such a temperature. When recalling that the Monte Carlo simulations usually underestimate the magnetic ordering temperature, we thus employ the mean field approximation by fitting the value of U to estimate the Nel temperature. Figure 4b depicts the transition temperature of the resulting phases possessing the lowest energy as a function of the in-plane lattice parameter. The blue and red data represent the transition temperature estimated by U = 4.8 and 5.91 eV, respectively. Note that, with the modified U = 4.8 eV, the magnetic order transition temperature exceeds 800 K via a strain-induced structural phase transition.
4. Conclusions
In summary, we have used density functional theory calculations to investigate misfit strain-induced structural phase transition in epitaxial (001) BiCoO films. Tensile strain induces a magnetic phase transition, that is, from a C-type antiferromagnetic order to a G-type order, without changes in spatial symmetry ( space group). BiCoO film maintains the G-type antiferromagnetic order under larger tensile strains, but undergoes a continuous structural phase transition from to to phase in the wake of couplings between the polarization and antiferrodistortive vectors. Strikingly, two isostructural phases occur during the isostructural phase transition, resulting from the so-called Cowley’s ‘‘Type Zero’’ phase transitions. Under epitaxial tensile strain, ferroelectric polarization changes from out-of-plane to in-plane direction, whereas the magnetic ordering temperature T can be significantly enhanced above 800 K in the phase and phase under tensile strain. In ultra-thin ferroelectric and multiferroic films subjected to large epitaxial strains, extrinsic factors (such as temperature, as well as materials’ defects, impurities, thicknesses, interfacial effects, and surface conditions) may impact the emergent phases and physical properties observed experimentally. Our findings exhibit a rich multiferroic phase and broaden its potential application based on multifunctional thin film devices.
Author Contributions
Conceptualization, H.Z.; methodology, S.C.; validation, L.F.; formal analysis, H.T., L.F. and C.L.; investigation, H.T.; data curation, S.C.; writing—original draft, H.T.; writing—review and editing, H.T., Y.C. and A.M.; supervision, H.Z. and Y.C.; project administration, Y.C. and A.M.; funding acquisition, Y.C. All authors have read and agreed to the published version of the manuscript.
Funding
This work was financially supported by the National Natural Science Foundation of China (No. 12104416 and 11904328). We also give thanks for the support of Zhengzhou Normal University Young Backbone Teacher Training Project (QNGG-221971), the China Postdoctoral Science Foundation (No. 2018M642205) and the Jiangsu Planned Projects for Postdoctoral Research Funds (No. 2019K249).
Data Availability Statement
The data are available on request from corresponding author.
Conflicts of Interest
The authors declare no conflict of interest.
References
- Fiebig, M.; Lottermoser, T.; Meier, D.; Trassin, M. The evolution of multiferroics. Nat. Rev. Mater. 2016, 1, 16046. [Google Scholar] [CrossRef]
- Liu, H.; Yang, X. A brief review on perovskite multiferroics. Ferroelectrics 2017, 507, 69–85. [Google Scholar] [CrossRef]
- Spaldin, N.A.; Ramesh, R. Advances in magnetoelectric multiferroics. Nat. Mater. 2019, 18, 203–212. [Google Scholar] [CrossRef]
- Cheng, Y.; Zhao, S.; Zhou, Z.; Liu, M. Recent development of E-field control of interfacial magnetism in multiferroic heterostructures. Nano Res. 2023, 16, 5983–6000. [Google Scholar] [CrossRef]
- Shevlin, S. Multiferroics and the path to the market. Nat. Mater. 2019, 18, 191–192. [Google Scholar] [CrossRef] [PubMed]
- Zhao, X.; Menzel, S.; Polian, I.; Schmidt, H.; Du, N. Review on resistive switching devices based on multiferroic BiFeO3. Nanomaterials 2023, 13, 1325. [Google Scholar] [CrossRef]
- Oka, K.; Azuma, M.; Chen, W.T.; Yusa, H.; Belik, A.A.; Takayama-Muromachi, E.; Mizumaki, M.; Ishimatsu, N.; Hiraoka, N.; Tsujimoto, M.; et al. Pressure-induced spin-state transition in BiCoO3. J. Am. Chem. Soc. 2010, 132, 9438–9443. [Google Scholar] [CrossRef]
- Ming, X.; Meng, X.; Hu, F.; Wang, C.Z.; Huang, Z.F.; Fan, H.G.; Chen, G. Pressure-induced magnetic moment collapse and insulator-to-semimetal transition in BiCoO3. J. Phys. Condens. Matter 2009, 21, 295902. [Google Scholar] [CrossRef]
- Zhao, J.; Haw, S.C.; Wang, X.; Hu, Z.; Kuo, C.Y.; Chen, S.A.; Ishii, H.; Hiraoka, N.; Lin, H.J.; Chen, C.T.; et al. Spin State and Spin-State Transition of Co3+ Ion in BiCoO3. Phys. Status Solidi B 2021, 258, 2100117. [Google Scholar] [CrossRef]
- Pan, Z.; Jiang, X.; Nishikubo, T.; Sakai, Y.; Ishizaki, H.; Oka, K.; Lin, Z.; Azuma, M. Pronounced negative thermal expansion in lead-free BiCoO3-based ferroelectrics triggered by the stabilized perovskite structure. Chem. Mater. 2019, 31, 6187–6192. [Google Scholar] [CrossRef]
- Hu, Y.; Li, L.; Zhao, J.; Huang, Y.C.; Kuo, C.Y.; Zhou, J.; Fan, Y.; Lin, H.J.; Dong, C.L.; Pao, C.W.; et al. Large current density for oxygen evolution from pyramidally-coordinated Co oxide. Appl. Catal. B Environ. 2023, 333, 122785. [Google Scholar] [CrossRef]
- Zhao, S.; Liu, T.; Yu, L.; Zeng, W.; Zhang, Y.; Ke, B.; Hussain, S.; Lin, L.; Peng, X. Low-cost and high-performance electrode materials based on BiCoO3 microspheres. Ceram. Int. 2017, 43, 2956–2961. [Google Scholar] [CrossRef]
- Belik, A.A. Solid Solutions between PbVO3 and BiCoO3. Inorg. Chem. 2021, 60, 4957–4965. [Google Scholar] [CrossRef] [PubMed]
- Yamauchi, K.; Barone, P.; Picozzi, S. Bulk Rashba effect in multiferroics: A theoretical prediction for BiCoO3. Phys. Rev. B 2019, 100, 245115. [Google Scholar] [CrossRef]
- Tserkovnyak, Y.; Xiao, J. Energy storage via topological spin textures. Phys. Rev. Lett. 2018, 121, 127701. [Google Scholar] [CrossRef] [PubMed]
- Hong, S.S.; Gu, M.; Verma, M.; Harbola, V.; Wang, B.Y.; Lu, D.; Vailionis, A.; Hikita, Y.; Pentcheva, R.; Rondinelli, J.M.; et al. Extreme tensile strain states in La0.7Ca0.3MnO3 membranes. Science 2020, 368, 71–76. [Google Scholar] [CrossRef]
- Kresse, G.; Furthmüller, J. Efficiency of ab-initio total energy calculations for metals and semiconductors using a plane-wave basis set. Comput. Mater. Sci. 1996, 6, 15–50. [Google Scholar] [CrossRef]
- Kresse, G.; Joubert, D. From ultrasoft pseudopotentials to the projector augmented-wave method. Phys. Rev. B 1999, 59, 1758. [Google Scholar] [CrossRef]
- Perdew, J.P.; Burke, K.; Ernzerhof, M. Generalized gradient approximation made simple. Phys. Rev. Lett. 1996, 77, 3865. [Google Scholar] [CrossRef]
- Chen, X.Y.; Chen, L.J.; Yang, X.B.; Zhao, Y.J.; Ding, H.C.; Duan, C.G. Tuning the polarization and magnetism in BiCoO3 by strain and oxygen vacancy effect: A first-principle study. J. Appl. Phys. 2012, 111, 013901. [Google Scholar] [CrossRef]
- Yang, Y.; Ren, W.; Stengel, M.; Yan, X.; Bellaiche, L. Revisiting properties of ferroelectric and multiferroic thin films under tensile strain from first principles. Phys. Rev. Lett. 2012, 109, 057602. [Google Scholar] [CrossRef]
- Yang, Y.; Stengel, M.; Ren, W.; Yan, X.H.; Bellaiche, L. Epitaxial short-period PbTiO3/BiFeO3 superlattices studied by first-principles calculations. Phys. Rev. B 2012, 86, 144114. [Google Scholar] [CrossRef]
- Tian, H.; Kuang, X.Y.; Mao, A.J.; Yang, Y.; Xiang, H.; Xu, C.; Sayedaghaee, S.O.; Íñiguez, J.; Bellaiche, L. Novel type of ferroelectricity in brownmillerite structures: A first-principles study. Phys. Rev. Mater. 2018, 2, 084402. [Google Scholar] [CrossRef]
- Tian, H.; Bellaiche, L.; Yang, Y. Diversity of structural phases and resulting control of properties in brownmillerite oxides: A first-principles study. Phys. Rev. B 2019, 100, 220103. [Google Scholar] [CrossRef]
- Tian, H.; Mao, A.J.; Zhao, H.J.; Cui, Y.; Li, H.; Kuang, X.Y. Large polarization and dielectric response in epitaxial SrZrO3 films. Phys. Chem. Chem. Phys. 2016, 18, 7680–7687. [Google Scholar] [CrossRef] [PubMed]
- Patel, K.; Prosandeev, S.; Xu, B.; Xu, C.; Bellaiche, L. Properties of (001) NaNbO3 films under epitaxial strain: A first-principles study. Phys. Rev. B 2021, 103, 094103. [Google Scholar] [CrossRef]
- Resta, R.; Posternak, M.; Baldereschi, A. Towards a quantum theory of polarization in ferroelectrics: The case of KNbO3. Phys. Rev. Lett. 1993, 70, 1010. [Google Scholar] [CrossRef]
- King-Smith, R.; Vanderbilt, D. Theory of polarization of crystalline solids. Phys. Rev. B 1993, 47, 1651. [Google Scholar] [CrossRef] [PubMed]
- He, L.; Neaton, J.; Cohen, M.H.; Vanderbilt, D.; Homes, C. First-principles study of the structure and lattice dielectric response of CaCu3Ti4O12. Phys. Rev. B 2002, 65, 214112. [Google Scholar] [CrossRef]
- Stokes, H.T.; Hatch, D.M. FINDSYM: Program for identifying the space-group symmetry of a crystal. J. Appl. Crystallogr. 2005, 38, 237–238. [Google Scholar] [CrossRef]
- Goldschmidt, V. The laws of crystal chemistry. Naturwissenschaften 1926, 14, 477–485. [Google Scholar] [CrossRef]
- Lufaso, M.W.; Woodward, P.M. Prediction of the crystal structures of perovskites using the software program SPuDS. Acta Crystallogr. Sect. B Struct. Sci. 2001, 57, 725–738. [Google Scholar] [CrossRef] [PubMed]
- Brown, I.D. Bond valences—A simple structural model for inorganic chemistry. Chem. Soc. Rev. 1978, 7, 359–376. [Google Scholar] [CrossRef]
- Belik, A.A.; Iikubo, S.; Kodama, K.; Igawa, N.; Shamoto, S.I.; Niitaka, S.; Azuma, M.; Shimakawa, Y.; Takano, M.; Izumi, F.; et al. Neutron powder diffraction study on the crystal and magnetic structures of BiCoO3. Chem. Mater. 2006, 18, 798–803. [Google Scholar] [CrossRef]
- Schlom, D.G.; Chen, L.Q.; Eom, C.B.; Rabe, K.M.; Streiffer, S.K.; Triscone, J.M. Strain tuning of ferroelectric thin films. Annu. Rev. Mater. Res. 2007, 37, 589–626. [Google Scholar] [CrossRef]
- Chen, L.; Yang, Y.; Meng, X. Giant electric-field-induced strain in lead-free piezoelectric materials. Sci. Rep. 2016, 6, 25346. [Google Scholar] [CrossRef]
- Scott, J.F. Iso-Structural Phase Transitions in BiFeO3. Adv. Mater. 2010, 22, 2106–2107. [Google Scholar] [CrossRef]
- Cowley, R. Acoustic phonon instabilities and structural phase transitions. Phys. Rev. B 1976, 13, 4877. [Google Scholar] [CrossRef]
- Glazer, A.M. The classification of tilted octahedra in perovskites. Acta Crystallogr. Sect. Struct. Crystallogr. Cryst. Chem. 1972, 28, 3384–3392. [Google Scholar] [CrossRef]
- Metropolis, N.; Ulam, S. The monte carlo method. J. Am. Stat. Assoc. 1949, 44, 335–341. [Google Scholar] [CrossRef]
- Fan, F.; Li, Z.; Zhao, Z.; Yang, K.; Wu, H. Unusual high-spin Fe 5+-Ni 3+ state and strong ferromagnetism in the mixed perovskite SrFe0.5Ni0.5O3. Phys. Rev. B 2016, 94, 214401. [Google Scholar] [CrossRef]
- Zhao, H.J.; Ren, W.; Chen, X.M.; Bellaiche, L. Effect of chemical pressure, misfit strain and hydrostatic pressure on structural and magnetic behaviors of rare-earth orthochromates. J. Phys. Condens. Matter 2013, 25, 385604. [Google Scholar] [CrossRef] [PubMed]
Disclaimer/Publisher’s Note: The statements, opinions and data contained in all publications are solely those of the individual author(s) and contributor(s) and not of MDPI and/or the editor(s). MDPI and/or the editor(s) disclaim responsibility for any injury to people or property resulting from any ideas, methods, instructions or products referred to in the content. |
© 2023 by the authors. Licensee MDPI, Basel, Switzerland. This article is an open access article distributed under the terms and conditions of the Creative Commons Attribution (CC BY) license (https://creativecommons.org/licenses/by/4.0/).



