An Alkaline-Acid Glycerol Electrochemical Reformer for Simultaneous Production of Hydrogen and Electricity
Abstract
:1. Introduction
E0 = −0.82 V vs. NHE
E0 = 0.00 V vs. NHE
2. Materials and Methods
2.1. Chemicals
2.2. Preparation of the Pd/C Catalyst
2.3. Physico-Chemical Characterization
2.4. Electrochemical Measurement in the Three-Electrode Glass Cell
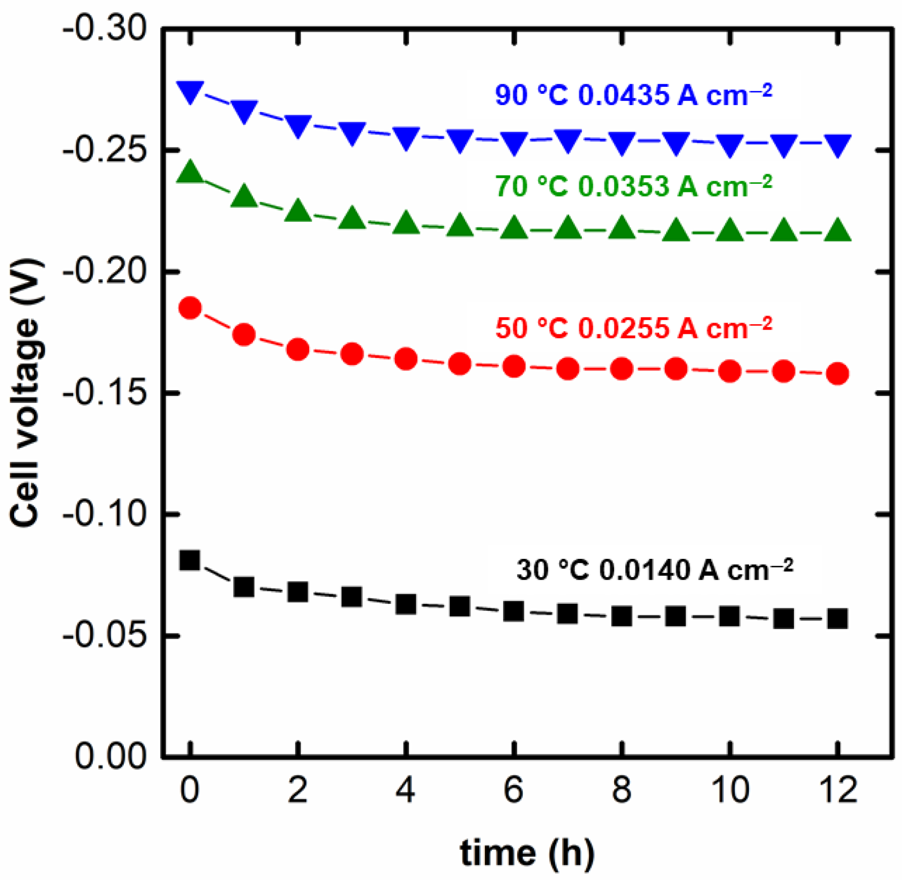
3. Results and Discussion
4. Conclusions
Supplementary Materials
Author Contributions
Funding
Informed Consent Statement
Data Availability Statement
Conflicts of Interest
References
- Staffell, I.; Scamman, D.; Abad, A.V.; Balcombe, P.; Dodds, P.E.; Ekins, P.; Shah, N.; Ward, K.R. The Role of Hydrogen and Fuel Cells in the Global Energy System. Energy Environ. Sci. 2019, 12, 463–491. [Google Scholar] [CrossRef] [Green Version]
- Linares, J.J.; Vieira, C.C.; Costa Santos, J.B.; Magalhães, M.M.; dos Santos, J.R.N.; Carvalho, L.L.; dos Reis, R.G.C.S.; Colmati, F. Electrochemical Reforming of Alcohols. In Electrochemical Methods for Hydrogen Production; Scott, K., Ed.; Royal Society of Chemistry: Croydon, UK, 2019; pp. 94–135. ISBN 978-1-78801-378-9. [Google Scholar]
- Falcone, P.M.; Hiete, M.; Sapio, A. Hydrogen Economy and Sustainable Development Goals: Review and Policy Insights. Curr. Opin. Green Sustain. Chem. 2021, 31, 100506. [Google Scholar] [CrossRef]
- IEA Global Hydrogen Review. 2021. Available online: https://iea.blob.core.windows.net/assets/5bd46d7b-906a-4429-abda-e9c507a62341/GlobalHydrogenReview2021.pdf (accessed on 5 April 2022).
- Chi, J.; Yu, H. Water Electrolysis Based on Renewable Energy for Hydrogen Production. Cuihua Xuebao/Chin. J. Catal. 2018, 39, 390–394. [Google Scholar] [CrossRef]
- Scott, K. Introduction to Electrolysis, Electrolysers and Hydrogen Production. In Electrochemical Methods for Hydrogen Production; Scott, K., Ed.; Royal Society of Chemistry: Croydon, UK, 2019; pp. 1–27. ISBN 978-1-78801-378-9. [Google Scholar]
- Kumar, S.S.; Himabindu, V. Hydrogen Production by PEM Water Electrolysis—A Review. Mater. Sci. Energy Technol. 2019, 2, 442–454. [Google Scholar] [CrossRef]
- Bristowe, G.; Smallbone, A. The Key Techno-Economic and Manufacturing Drivers for Reducing the Cost of Power-to-Gas and a Hydrogen-Enabled Energy System. Hydrogen 2021, 2, 273–300. [Google Scholar] [CrossRef]
- Bellini, M.; Pagliaro, M.V.; Marchionni, A.; Filippi, J.; Miller, H.A.; Bevilacqua, M.; Lavacchi, A.; Oberhauser, W.; Mahmoudian, J.; Innocenti, M.; et al. Hydrogen and Chemicals from Alcohols through Electrochemical Reforming by Pd-CeO2/C Electrocatalyst. Inorg. Chim. Acta 2021, 518, 120245. [Google Scholar] [CrossRef]
- Coutanceau, C.; Baranton, S.; Kouamé, R.S.B. Selective Electrooxidation of Glycerol Into Value-Added Chemicals: A Short Overview. Front. Chem. 2019, 7, 100. [Google Scholar] [CrossRef]
- An, L.; Zhao, T.S.; Chen, R.; Wu, Q.X. A Novel Direct Ethanol Fuel Cell with High Power Density. J. Power Sources 2011, 196, 6219–6222. [Google Scholar] [CrossRef]
- An, L.; Zhao, T.S. Performance of an Alkaline-Acid Direct Ethanol Fuel Cell. Int. J. Hydrog. Energy 2011, 36, 9994–9999. [Google Scholar] [CrossRef]
- Banjong, J.; Therdthianwong, A.; Therdthianwong, S.; Yongprapat, S.; Wongyao, N. High Performance Alkaline-Acid Direct Glycerol Fuel Cells for Portable Power Supplies via Electrode Structure Design. Int. J. Hydrog. Energy 2020, 45, 2244–2256. [Google Scholar] [CrossRef]
- Li, Y.; Chen, J.; Cai, P.; Wen, Z. An Electrochemically Neutralized Energy-Assisted Low-Cost Acid-Alkaline Electrolyzer for Energy-Saving Electrolysis Hydrogen Generation. J. Mater. Chem. A 2018, 6, 4948–4954. [Google Scholar] [CrossRef]
- Huang, J.; Xie, Y.; Yan, L.; Wang, B.; Kong, T.; Dong, X.; Wang, Y.; Xia, Y. Decoupled Amphoteric Water Electrolysis and Its Integration with Mn–Zn Battery for Flexible Utilization of Renewables. Energy Environ. Sci. 2021, 14, 883–889. [Google Scholar] [CrossRef]
- Wan, L.; Xu, Z.; Wang, P.; Lin, Y.; Wang, B. H2SO4-Doped Polybenzimidazole Membranes for Hydrogen Production with Acid-Alkaline Amphoteric Water Electrolysis. J. Memb. Sci. 2021, 618, 118642. [Google Scholar] [CrossRef]
- Lv, B.; Yin, H.; Shao, Z.; Luan, Z.; Huang, Z.; Sun, S.; Teng, Y.; Miu, C.; Gao, Q. Novel Polybenzimidazole/Graphitic Carbon Nitride Nanosheets Composite Membrane for the Application of Acid-Alkaline Amphoteric Water Electrolysis. J. Energy Chem. 2022, 64, 607–614. [Google Scholar] [CrossRef]
- Lei, Q.; Wang, B.; Wang, P.; Liu, S. Hydrogen Generation with Acid/Alkaline Amphoteric Water Electrolysis. J. Energy Chem. 2019, 38, 162–169. [Google Scholar] [CrossRef] [Green Version]
- Cai, P.; Li, Y.; Wang, G.; Wen, Z. Alkaline-Acid Zn-H2O Fuel Cell for the Simultaneous Generation of Hydrogen and Electricity. Angew. Chem. Int. Ed. 2018, 57, 3910–3915. [Google Scholar] [CrossRef]
- Wang, G.; Chen, J.; Li, Y.; Jia, J.; Cai, P.; Wen, Z. Energy-Efficient Electrolytic Hydrogen Production Assisted by Coupling Urea Oxidation with a PH-Gradient Concentration Cell. Chem. Commun. 2018, 54, 2603–2606. [Google Scholar] [CrossRef]
- Chen, J.; Ci, S.; Wang, G.; Senthilkumar, N.; Zhang, M.; Xu, Q.; Wen, Z. Ni(OH)2 Nanosheet Electrocatalyst toward Alkaline Urea Electrolysis for Energy-Saving Acidic Hydrogen Production. ChemElectroChem 2019, 6, 5313–5320. [Google Scholar] [CrossRef]
- Sáez, A.; Montiel, V.; Aldaz, A. An Acid-Base Electrochemical Flow Battery as Energy Storage System. Int. J. Hydrog. Energy 2016, 41, 17801–17806. [Google Scholar] [CrossRef] [Green Version]
- Mundaray, E.; Sáez, A.; Solla-Gullón, J.; Montiel, V. New Insights into the Performance of an Acid-Base Electrochemical Flow Battery. J. Power Sources 2021, 506, 230233. [Google Scholar] [CrossRef]
- Weng, G.-M.; Vanessa Li, C.-Y.; Chan, K.-Y. Hydrogen Battery Using Neutralization Energy. Nano Energy 2018, 53, 240–244. [Google Scholar] [CrossRef]
- Ding, Y.; Cai, P.; Wen, Z. Electrochemical Neutralization Energy: From Concept to Devices. Chem. Soc. Rev. 2021, 50, 1495–1511. [Google Scholar] [CrossRef] [PubMed]
- Antolini, E. Glycerol Electro-Oxidation in Alkaline Media and Alkaline Direct Glycerol Fuel Cells. Catalysts 2019, 9, 980. [Google Scholar] [CrossRef] [Green Version]
- Arjona, N.; Rivas, S.; Álvarez-Contreras, L.; Guerra-Balcázar, M.; Ledesma-García, J.; Kjeang, E.; Arriaga, L.G. Glycerol Electro-Oxidation in Alkaline Media Using Pt and Pd Catalysts Electrodeposited on Three-Dimensional Porous Carbon Electrodes. New J. Chem. 2017, 41, 1854–1863. [Google Scholar] [CrossRef]
- Sarkar, S.; Peter, S.C. An Overview on Pd-Based Electrocatalysts for the Hydrogen Evolution Reaction. Inorg. Chem. Front. 2018, 5, 2060–2080. [Google Scholar] [CrossRef]
- Patterson, A.L. The Scherrer Formula for X-ray Particle Size Determination. Phys. Rev. 1939, 56, 978–982. [Google Scholar] [CrossRef]
- Bergeret, G.; Gallezot, P. Particle Size and Dispersion Measurements. In Handbook of Heterogeneous Catalysis; Ertl, G., Knözinger, H., Schüth, F., Weitkamp, J., Eds.; Wiley-VCH Verlag GmbH & Co. KGaA: Weinheim, Germany, 2008; pp. 738–765. [Google Scholar]
- Nascimento, A.P.; Linares, J.J. Performance of a Direct Glycerol Fuel Cell Using KOH Doped Polybenzimidazole as Electrolyte. J. Braz. Chem. Soc. 2014, 25, 509–516. [Google Scholar] [CrossRef]
- De Paula, J.; Nascimento, D.; Linares, J.J. Influence of the Anolyte Feed Conditions on the Performance of an Alkaline Glycerol Electroreforming Reactor. J. Appl. Electrochem. 2015, 45, 689–700. [Google Scholar] [CrossRef]
- An, L.; Zhao, T.S. An Alkaline Direct Ethanol Fuel Cell with a Cation Exchange Membrane. Energy Environ. Sci. 2011, 4, 2213. [Google Scholar] [CrossRef]
- Grdeń, M.; Łukaszewski, M.; Jerkiewicz, G.; Czerwiński, A. Electrochemical Behaviour of Palladium Electrode: Oxidation, Electrodissolution and Ionic Adsorption. Electrochim. Acta 2008, 53, 7583–7598. [Google Scholar] [CrossRef]
- Burke, L.D.; Casey, J.K. An Examination of the Electrochemical Behavior of Palladium Electrodes in Acid. J. Electrochem. Soc. 1993, 140, 1284–1291. [Google Scholar] [CrossRef]
- Burke, L.D.; Casey, J.K. The Electrocatalytic Behaviour of Palladium in Acid and Base. J. Appl. Electrochem. 1993, 23, 573–582. [Google Scholar] [CrossRef]
- Wang, L.; Lavacchi, A.; Bellini, M.; D’Acapito, F.; Di Benedetto, F.; Innocenti, M.; Miller, H.A.; Montegrossi, G.; Zafferoni, C.; Vizza, F. Deactivation of Palladium Electrocatalysts for Alcohols Oxidation in Basic Electrolytes. Electrochim. Acta 2015, 177, 100–106. [Google Scholar] [CrossRef]
- Burke, L.D.; Casey, J.K. An Examination of the Electrochemical Behavior of Palladium in Base. J. Electrochem. Soc. 1993, 140, 1292–1298. [Google Scholar] [CrossRef]
- Hu, C.-C.; Wen, T.-C. Voltammetric Investigation of Palladium Oxides—I: Their Formation/Reduction in NaOH. Electrochim. Acta 1995, 40, 495–503. [Google Scholar] [CrossRef]
- Liang, Z.X.; Zhao, T.S.; Xu, J.B.; Zhu, L.D. Mechanism Study of the Ethanol Oxidation Reaction on Palladium in Alkaline Media. Electrochim. Acta 2009, 54, 2203–2208. [Google Scholar] [CrossRef]
- Wang, L.Q.; Bellini, M.; Filippi, J.; Folliero, M.; Lavacchi, A.; Innocenti, M.; Marchionni, A.; Miller, H.A.; Vizza, F. Energy Efficiency of Platinum-Free Alkaline Direct Formate Fuel Cells. Appl. Energy 2016, 175, 479–487. [Google Scholar] [CrossRef]
- Chierchie, T.; Mayer, C.; Lorenz, W.J. Structural Changes of Surface Oxide Layers on Palladium. J. Electroanal. Chem. Interfacial Electrochem. 1982, 135, 211–220. [Google Scholar] [CrossRef]
- Simões, M.; Baranton, S.; Coutanceau, C. Electrooxidation of Sodium Borohydride at Pd, Au, and Pdx Au1 − x Carbon-Supported Nanocatalysts. J. Phys. Chem. C 2009, 113, 13369–13376. [Google Scholar] [CrossRef]
- Perez, J.; Paganin, V.A.; Antolini, E. Particle Size Effect for Ethanol Electro-Oxidation on Pt/C Catalysts in Half-Cell and in a Single Direct Ethanol Fuel Cell. J. Electroanal. Chem. 2011, 654, 108–115. [Google Scholar] [CrossRef] [Green Version]
- Su, L.; Jia, W.; Schempf, A.; Lei, Y. Palladium/Titanium Dioxide Nanofibers for Glycerol Electrooxidation in Alkaline Medium. Electrochem. Commun. 2009, 11, 2199–2202. [Google Scholar] [CrossRef]
- Kahyaoglu, A.; Beden, B.; Lamy, C. Oxydation Electrocatalitique Du Glycerol Sur Electrodes d’or et de Platine En Milieu Aqueux. Electrochim. Acta 1984, 29, 1489–1492. [Google Scholar] [CrossRef]
- Habibi, E.; Razmi, H. Glycerol Electrooxidation on Pd, Pt and Au Nanoparticles Supported on Carbon Ceramic Electrode in Alkaline Media. Int. J. Hydrog. Energy 2012, 37, 16800–16809. [Google Scholar] [CrossRef]
- Lum, Y.; Huang, J.E.; Wang, Z.; Luo, M.; Nam, D.-H.; Leow, W.R.; Chen, B.; Wicks, J.; Li, Y.C.; Wang, Y.; et al. Tuning OH Binding Energy Enables Selective Electrochemical Oxidation of Ethylene to Ethylene Glycol. Nat. Catal. 2020, 3, 14–22. [Google Scholar] [CrossRef]
- Crisafulli, R.; de Lino Amorim, F.M.; de Oliveira Marcionilio, S.M.; Cunha, W.M.; de Araújo, B.R.S.; Dias, J.A.; Linares, J.J. Electrochemistry for Biofuels Waste Valorization: Vinasse as a Reducing Agent for Pt/C and Its Application to the Electrolysis of Glycerin and Vinasse. Electrochem. Commun. 2019, 102, 25–30. [Google Scholar] [CrossRef]
- Rodríguez-Gómez, A.; Dorado, F.; de Lucas-Consuegra, A.; de la Osa, A.R. Influence of Pt/Ru Anodic Ratio on the Valorization of Ethanol by PEM Electrocatalytic Reforming towards Value-Added Products. J. Energy Chem. 2021, 56, 264–275. [Google Scholar] [CrossRef]
- Ruiz-López, E.; Amores, E.; de la Osa, A.R.; Dorado, F.; de Lucas-Consuegra, A. Electrochemical Reforming of Ethanol in a Membrane-Less Reactor Configuration. Chem. Eng. J. 2020, 379, 122289. [Google Scholar] [CrossRef]
- Caravaca, A.; Sapountzi, F.M.; de Lucas-Consuegra, A.; Molina-Mora, C.; Dorado, F.; Valverde, J.L. Electrochemical Reforming of Ethanol–Water Solutions for Pure H2 Production in a PEM Electrolysis Cell. Int. J. Hydrog. Energy 2012, 37, 9504–9513. [Google Scholar] [CrossRef]
- Sun, J.; Zhang, X.; Jin, M.; Xiong, Q.; Wang, G.; Zhang, H.; Zhao, H. Robust Enhanced Hydrogen Production at Acidic Conditions over Molybdenum Oxides-Stabilized Ultrafine Palladium Electrocatalysts. Nano Res. 2021, 14, 268–274. [Google Scholar] [CrossRef]
- Santos, J.B.C.; Vieira, C.; Crisafulli, R.; Linares, J.J. Promotional Effect of Auxiliary Metals Bi on Pt, Pd, and Ag on Au, for Glycerol Electrolysis. Int. J. Hydrog. Energy 2020, 45, 25658–25671. [Google Scholar] [CrossRef]
- Bambagioni, V.; Bevilacqua, M.; Bianchini, C.; Filippi, J.; Lavacchi, A.; Marchionni, A.; Vizza, F.; Shen, P.K. Self-Sustainable Production of Hydrogen, Chemicals, and Energy from Renewable Alcohols by Electrocatalysis. ChemSusChem 2010, 3, 851–855. [Google Scholar] [CrossRef] [PubMed]
- Bellini, M.; Bevilacqua, M.; Innocenti, M.; Lavacchi, A.; Miller, H.A.; Filippi, J.; Marchionni, A.; Oberhauser, W.; Wang, L.; Vizza, F. Energy & Chemicals from Renewable Resources by Electrocatalysis. J. Electrochem. Soc. 2014, 161, D3032–D3043. [Google Scholar] [CrossRef]
- Chen, Y.X.; Lavacchi, A.; Miller, H.A.; Bevilacqua, M.; Filippi, J.; Innocenti, M.; Marchionni, A.; Oberhauser, W.; Wang, L.; Vizza, F. Nanotechnology Makes Biomass Electrolysis More Energy Efficient than Water Electrolysis. Nat. Commun. 2014, 5, 4036. [Google Scholar] [CrossRef] [PubMed]
- Hongsirikarn, K.; Goodwin, J.G.; Greenway, S.; Creager, S. Effect of Cations (Na+, Ca2+, Fe3+) on the Conductivity of a Nafion Membrane. J. Power Sources 2010, 195, 7213–7220. [Google Scholar] [CrossRef]
- Geraldes, A.N.; da Silva, D.F.; e Silva, L.G.D.A.; Spinacé, E.V.; Neto, A.O.; dos Santos, M.C. Binary and Ternary Palladium Based Electrocatalysts for Alkaline Direct Glycerol Fuel Cell. J. Power Sources 2015, 293, 823–830. [Google Scholar] [CrossRef]
- Calcerrada, A.B.; de la Osa, A.R.; Dole, H.A.E.; Dorado, F.; Baranova, E.A.; de Lucas-Consuegra, A. Stability Testing of Ptx Sn1 − x/C Anodic Catalyst for Renewable Hydrogen Production via Electrochemical Reforming of Ethanol. Electrocatalysis 2018, 9, 293–301. [Google Scholar] [CrossRef]
- Wang, Z.-L.; Yan, J.-M.; Wang, H.-L.; Ping, Y.; Jiang, Q. Pd/C Synthesized with Citric Acid: An Efficient Catalyst for Hydrogen Generation from Formic Acid/Sodium Formate. Sci. Rep. 2012, 2, 598. [Google Scholar] [CrossRef] [Green Version]
- Zhang, Q.; Chen, T.; Jiang, R.; Jiang, F. Comparison of Electrocatalytic Activity of Pt1−xPdx/C Catalysts for Ethanol Electro-Oxidation in Acidic and Alkaline Media. RSC Adv. 2020, 10, 10134–10143. [Google Scholar] [CrossRef] [Green Version]
- Garcia, A.C.; Morais, C.; Napporn, T.W.; Kokoh, K.B.; Tremiliosi-Filho, G. Unexpected Activity for Glycerol Electro-Oxidation of Nanostructured Pd−Pt and Pd−Pt−Ru Catalysts. ChemElectroChem 2017, 4, 1314–1319. [Google Scholar] [CrossRef]





| Electrocatalyst | Experimental Pd Percentage from EDX | Average Crystallite Size by XRD (nm) | Average Particle Size by TEM (nm) |
|---|---|---|---|
| 20% Pd/C | 19.5 ± 0.8 | 5.0 | 5.5 |
| Reference Curves | Work | Anode | Fuel | Cathode | Catholyte | Membrane | Temperature |
|---|---|---|---|---|---|---|---|
| 1 | Costa Santos et al. [54] | 2 mg cm−2 20% Pd/C | 1 mol L−1 glycerol and 4 mol L−1 KOH | 1 mg cm−2 commercial 20% Pt/C | 2 mol L−1 KOH | KOH-doped polybenzimidazole (PBI) | 30 °C |
| 2 | Costa Santos et al. [54] | 2 mg cm−2 20% Pd/C | 1 mol L−1 glycerol and 4 mol L−1 KOH | 1 mg cm−2 commercial 20% Pt/C | 2 mol L−1 KOH | KOH-doped polybenzimidazole (PBI) | 90 °C |
| 3 | Bambagioni et al. [55] | Pd-(NiZn)/C on Ni foam anode (Pd loading 1 mg cm−2) | 10 wt% glycerol in 2 mol L−1 KOH | Pt/C cathode on carbon paper (Pt loading 2 mg cm−2) | 2 mol L−1 KOH | Tokuyama A006 | 40 °C |
| 4 | Bellini et al. [56] | Pd-(NiZn)/C on Ni foam anode (Pd loading 1 mg cm−2) | 10 wt% glycerol in 2 mol L−1 KOH | Pt/C cathode on carbon paper (Pt loading 2 mg cm−2) | 2 mol L−1 KOH | Tokuyama A201 | Room temperature |
| 5 | Chen et al. [57] | Pd supported on titania nanotubes (Pd loading 1.7 mg cm−2) | 2 mol L−1 glycerol and KOH | Pt/C on carbon cloth cathode (Pt loading 0.3 mg cm−2) | No liquid | Tokuyama A201 | 80 °C (the study also included 25 and 50 °C) |
| 6 | Bellini et al. [9] | Pd-CeO2/C (Pd loading of 1 mg cm−2) supported onto Ni foam | 2 mol L−1 glycerol and KOH | Commercial 40% Pt/C (Pt loading 0.4 mg cm−2) on carbon cloth | Not specified | Tokuyama A201 | 60 °C |
| Temperature (°C) | Current Density (A cm−2) | Anolyte | Catholyte | ||
|---|---|---|---|---|---|
| Initial OH− Concentration (mol L−1) | Final OH− Concentration (mol L−1) | Initial H+ Concentration (mol L−1) | Final H+ Concentration (mol L−1) | ||
| 30 | 0.0140 | 3.98 | 3.70 | 2.02 | 1.81 |
| 50 | 0.0255 | 4.02 | 3.60 | 1.96 | 1.60 |
| 70 | 0.0353 | 3.95 | 3.35 | 1.89 | 1.40 |
| 90 | 0.0435 | 3.89 | 3.19 | 2.05 | 1.43 |
| Temperature (°C) | Current Density (A cm−2) | Theoretical Final H+ Concentration (mol L−1) | Experimental H+ Concentration (mol L−1) | 103 Non-Faradic Consumed Protons (mol) |
|---|---|---|---|---|
| 30 | 0.0140 | 1.86 | 1.81 | 2.5 |
| 50 | 0.0255 | 1.66 | 1.60 | 3.0 |
| 70 | 0.0353 | 1.48 | 1.40 | 4.0 |
| 90 | 0.0435 | 1.54 | 1.43 | 5.5 |
Publisher’s Note: MDPI stays neutral with regard to jurisdictional claims in published maps and institutional affiliations. |
© 2022 by the authors. Licensee MDPI, Basel, Switzerland. This article is an open access article distributed under the terms and conditions of the Creative Commons Attribution (CC BY) license (https://creativecommons.org/licenses/by/4.0/).
Share and Cite
Amorim, F.M.L.; Crisafulli, R.; Linares, J.J. An Alkaline-Acid Glycerol Electrochemical Reformer for Simultaneous Production of Hydrogen and Electricity. Nanomaterials 2022, 12, 1315. https://doi.org/10.3390/nano12081315
Amorim FML, Crisafulli R, Linares JJ. An Alkaline-Acid Glycerol Electrochemical Reformer for Simultaneous Production of Hydrogen and Electricity. Nanomaterials. 2022; 12(8):1315. https://doi.org/10.3390/nano12081315
Chicago/Turabian StyleAmorim, Fernando M. L., Rudy Crisafulli, and José J. Linares. 2022. "An Alkaline-Acid Glycerol Electrochemical Reformer for Simultaneous Production of Hydrogen and Electricity" Nanomaterials 12, no. 8: 1315. https://doi.org/10.3390/nano12081315
APA StyleAmorim, F. M. L., Crisafulli, R., & Linares, J. J. (2022). An Alkaline-Acid Glycerol Electrochemical Reformer for Simultaneous Production of Hydrogen and Electricity. Nanomaterials, 12(8), 1315. https://doi.org/10.3390/nano12081315

