Heat Transfer of Hybrid Nanomaterials Base Maxwell Micropolar Fluid Flow over an Exponentially Stretching Surface
Abstract
:1. Introduction
2. Mathematical Formulation
- Three-dimensional flow;
- Micropolar fluid;
- Two-phase model (nanofluid model);
- Exponential stretching sheet;
- Thermal slip.
3. Similarity Variables
4. Numerical Procedure
5. Graphical Results and Discussion
6. Conclusions
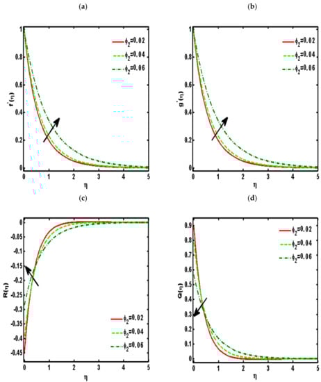
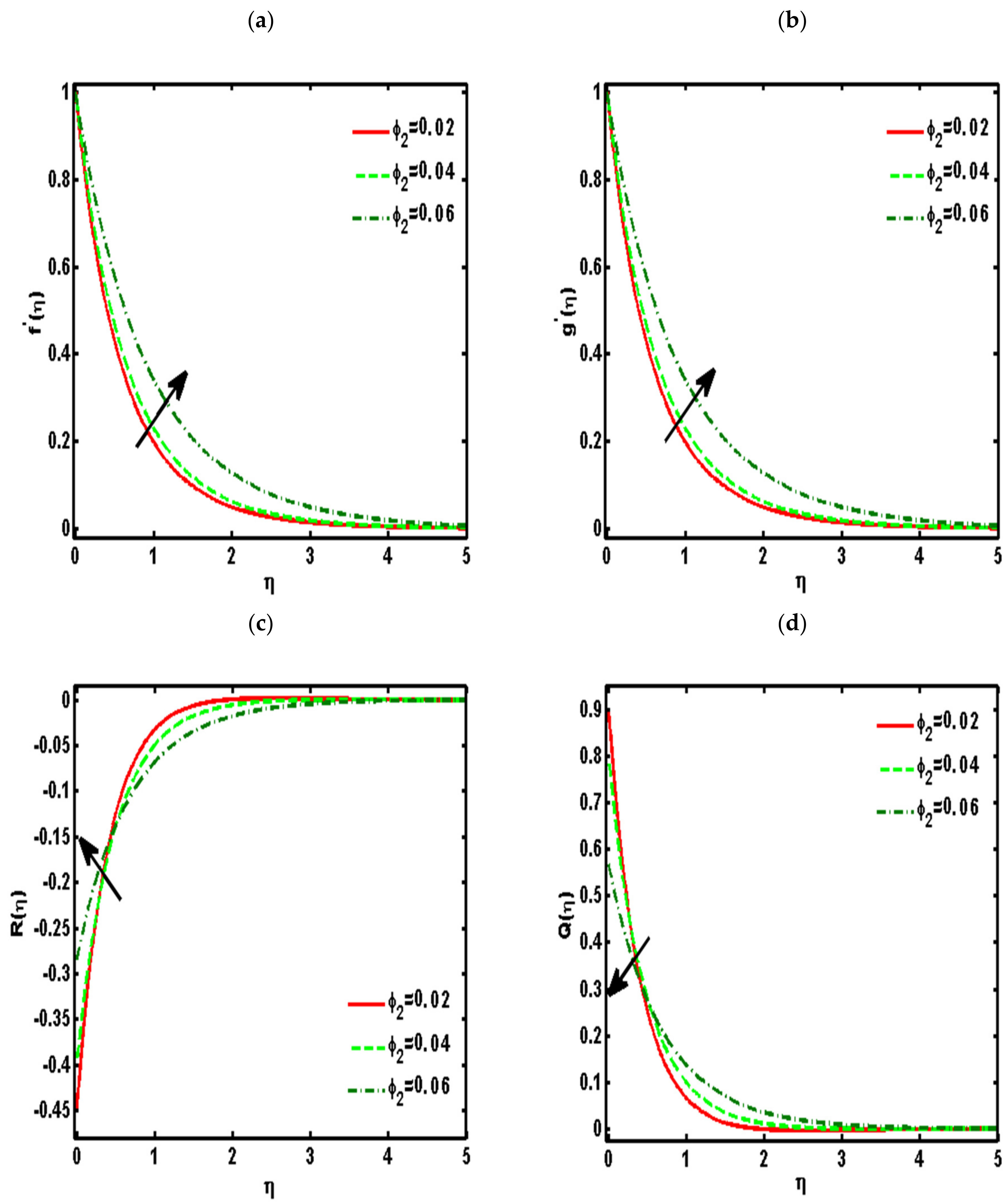
- The velocity function is enhanced due to higher values of the solid nanoparticle concentration.
- The velocity function is enhanced due larger values of the micropolar parameter.
- The micropolar function increases for higher values of the micropolar parameter and nanoparticle concentration.
- The micropolar function declines for higher values of the micropolar parameter and nanoparticle concentration.
- The temperature function is enhanced for higher values of the solid nanoparticle concentration.
- Temperature function declines for higher values of the micropolar parameter.
Author Contributions
Funding
Institutional Review Board Statement
Informed Consent Statement
Data Availability Statement
Acknowledgments
Conflicts of Interest
References
- Eringen, A.C. Microcontinuum Field Theories: II. Fluent Media; Springer Science & Business Media: Berlin/Heidelberg, Germany, 2001; Volume 2. [Google Scholar]
- Lukaszewicz, G. Micropolar Fluids: Theory and Applications; Springer Science & Business Media: Berlin/Heidelberg, Germany, 1999. [Google Scholar]
- Qin, Y.; Liu, X.; Wang, T. The Cauchy Problem for a 1D Compressible Viscous Micropolar Fluid Model. In Global Existence and Uniqueness of Nonlinear Evolutionary Fluid Equations; Birkhäuser: Basel, Switzerland, 2015; pp. 113–141. [Google Scholar]
- Chen, M.; Xu, X.; Zhang, J. Global weak solutions of 3D compressible micropolar fluids with discontinuous initial data and vacuum. Commun. Math. Sci. 2015, 13, 225–247. [Google Scholar] [CrossRef]
- Su, J. Incompressible limit of a compressible micropolar fluid model with general initial data. Nonlinear Anal. Theory Methods Appl. 2016, 132, 1–24. [Google Scholar] [CrossRef]
- Liu, Q.; Zhang, P. Optimal time decay of the compressible micropolar fluids. J. Differ. Equ. 2016, 260, 7634–7661. [Google Scholar] [CrossRef]
- Jena, P.; Brocchi, E.; Motta, M. In-situ formation of Cu–Al2O3 nano-scale composites by chemical routes and studies on their microstructures. Mater. Sci. Eng. A 2001, 313, 180–186. [Google Scholar] [CrossRef]
- Suresh, S.; Venkitaraj, K.P.; Selvakumar, P.; Chandrasekar, M. Synthesis of Al2O3–Cu/water hybrid nanofluids using two step method and its thermo physical properties. Colloid. Surf. A Physicochem. Eng. Asp. 2011, 388, 41–48. [Google Scholar] [CrossRef]
- Senthilraja, S.; Vijayakumar, K.; Gangadevi, R. A comparative study on thermal conductivity of Al2O3/water, CuO/water and Al2O3–CuO/water nanofluids. Dig. J. Nanomater. Biostruct. 2015, 10, 1449–1458. [Google Scholar]
- Chamkha, A.; Doostanidezfuli, A.; Izadpanahi, E.; Ghalambaz, M. Phase-change heat transfer of single/hybrid nanoparticles-enhanced phase-change materials over a heated horizontal cylinder confined in a square cavity. Adv. Powder Technol. 2017, 28, 385–397. [Google Scholar] [CrossRef]
- Ghalambaz, M.; Doostani, A.; Chamkha, A.J.; Ismael, M. Melting of nanoparticles-enhanced phase-change materials in an enclosure: Effect of hybrid nanoparticles. Int. J. Mech. Sci. 2017, 134, 85–97. [Google Scholar] [CrossRef]
- Ghalambaz, M.; Doostani, A.; Izadpanahi, E.; Chamkha, A. Phase-change heat transfer in a cavity heated from below: The effect of utilizing single or hybrid nanoparticles as additives. J. Taiwan Inst. Chem. Eng. 2017, 72, 104–115. [Google Scholar] [CrossRef]
- Suresh, S.; Venkitaraj, K.P.; Selvakumar, P.; Chandrasekar, M. Effect of Al2O3–Cu/water hybrid nanofluid in heat transfer. Exp. Therm. Fluid Sci. 2012, 38, 54–60. [Google Scholar] [CrossRef]
- Esfe, M.H.; Arani, A.A.A.; Rezaie, M.; Yan, W.-M.; Karimipour, A. Experimental determination of thermal conductivity and dynamic viscosity of Ag–MgO/water hybrid nanofluid. Int. Commun. Heat Mass Transf. 2015, 66, 189–195. [Google Scholar] [CrossRef]
- Moghadassi, A.; Ghomi, E.; Parvizian, F. A numerical study of water based Al2O3 and Al2O3–Cu hybrid nanofluid effect on forced convective heat transfer. Int. J. Therm. Sci. 2015, 92, 50–57. [Google Scholar] [CrossRef]
- Mehryan, S.; Kashkooli, F.M.; Ghalambaz, M.; Chamkha, A.J. Free convection of hybrid Al2O3-Cu water nanofluid in a differentially heated porous cavity. Adv. Powder Technol. 2017, 28, 2295–2305. [Google Scholar] [CrossRef]
- Ismael, M.; Armaghani, T.; Chamkha, A.J. Mixed convection and entropy generation in a lid-driven cavity filled with a hybrid nanofluid and heated by a triangular solid. Heat Transf. Res. 2018, 49, 1645–1665. [Google Scholar] [CrossRef]
- Nadeem, S.; Ahmed, Z.; Saleem, S. Carbon nanotubes effects in magneto nanofluid flow over a curved stretching surface with variable viscosity. Microsyst. Technol. 2018, 25, 2881–2888. [Google Scholar] [CrossRef]
- Nadeem, S.; Abbas, N. Effects of MHD on Modified Nanofluid Model with Variable Viscosity in a Porous Medium. Nanofluid Flow Porous Media 2019, 69, 109–117. [Google Scholar]
- Nadeem, S.; Abbas, N.; Malik, M. Inspection of hybrid based nanofluid flow over a curved surface. Comput. Methods Programs Biomed. 2020, 189, 105193. [Google Scholar] [CrossRef]
- Awan, A.U.; Abid, S.; Abbas, N. Theoretical study of unsteady oblique stagnation point based Jeffrey nanofluid flow over an oscillatory stretching sheet. Adv. Mech. Eng. 2020, 12, 1687814020971881. [Google Scholar] [CrossRef]
- Awan, A.U.; Abid, S.; Ullah, N.; Nadeem, S. Magnetohydrodynamic oblique stagnation point flow of second grade fluid over an oscillatory stretching surface. Results Phys. 2020, 18, 103233. [Google Scholar] [CrossRef]
- Nadeem, S.; Malik, M.Y.; Abbas, N. Heat transfer of three-dimensional micropolar fluid on a Riga plate. Can. J. Phys. 2020, 98, 32–38. [Google Scholar] [CrossRef]
- Selimefendigil, F.; Öztop, H.F.; Abu-Hamdeh, N. Mixed convection due to rotating cylinder in an internally heated and flexible walled cavity filled with SiO2 –water nanofluids: Effect of nanoparticle shape. Int. Commun. Heat Mass Transf. 2016, 71, 9–19. [Google Scholar] [CrossRef]
- Gireesha, B.; Sowmya, G.; Khan, M.I.; Öztop, H.F. Flow of hybrid nanofluid across a permeable longitudinal moving fin along with thermal radiation and natural convection. Comput. Methods Programs Biomed. 2020, 185, 105166. [Google Scholar] [CrossRef] [PubMed]
- Gopal, D.; Saleem, S.; Jagadha, S.; Ahmad, A.; Almatroud, A.O.; Kishan, N. Numerical analysis of higher order chemical reaction on electrically MHD nanofluid under influence of viscous dissipation. Alex. Eng. J. 2021, 60, 1861–1871. [Google Scholar] [CrossRef]
- Xie, Y.; Meng, X.; Chang, Y.; Mao, D.; Yang, Y.; Xu, Y.; Wan, L.; Huang, Y. Ameliorating strength-ductility efficiency of graphene nanoplatelet-reinforced aluminum composites via deformation-driven metallurgy. Compos. Sci. Technol. 2021, 219, 109225. [Google Scholar] [CrossRef]
- Zhang, X.; Tang, Y.; Zhang, F.; Lee, C.-S. A Novel Aluminum-Graphite Dual-Ion Battery. Adv. Energy Mater. 2016, 6, 1502588. [Google Scholar] [CrossRef] [Green Version]
- Elbashbeshy, E.M.; Emam, T.; Abdelgaber, K. Effects of thermal radiation and magnetic field on unsteady mixed convection flow and heat transfer over an exponentially stretching surface with suction in the presence of internal heat generation/absorption. J. Egypt. Math. Soc. 2012, 20, 215–222. [Google Scholar] [CrossRef] [Green Version]
- Sandeep, N.; Sulochana, C.; Kumar, B.R. Unsteady MHD radiative flow and heat transfer of a dusty nanofluid over an exponentially stretching surface. Eng. Sci. Technol. Int. J. 2016, 19, 227–240. [Google Scholar] [CrossRef] [Green Version]






| Viscosity | |
| Density | |
| Heat capacity | |
| Thermal conductivity |
| 0.01 | 0.5 | 0.5 | 0.5 | −2.4259 | −1.5957 |
| 0.02 | −2.6676 | −1.7458 | |||
| 0.03 | −2.9206 | −1.9017 | |||
| 0.04 | −3.1853 | −2.0635 | |||
| 0.01 | 0.1 | −2.4259 | −1.5957 | ||
| 0.3 | −2.4259 | −1.5957 | |||
| 0.5 | −2.4259 | −1.5957 | |||
| 0.7 | −2.4259 | −1.5957 | |||
| 0.5 | 0.1 | −2.2351 | −1.1983 | ||
| 0.3 | −2.3285 | −1.3996 | |||
| 0.5 | −2.4259 | −1.5957 | |||
| 0.7 | −2.5248 | −1.7870 | |||
| 0.5 | 0.1 | −2.2392 | −0.2946 | ||
| 0.3 | −2.3340 | −0.9212 | |||
| 0.5 | −2.4259 | −1.5957 | |||
| 0.7 | −2.5150 | −2.3161 |
| Pr | Elbashbeshy et al. [29] | Sandeep et al. [30] | Present Work |
|---|---|---|---|
| 0.72 | 0.7672800 | 0.76727610 | 0.76726891 |
| 1 | 0.9547800 | 0.95478230 | 0.95487123 |
| 2 | 1.4714600 | 1.47145810 | 1.4713654 |
| 3 | 1.8690700 | 1.86907210 | 1.8690612 |
| 5 | 2.5001300 | 2.50013010 | 2.5000987 |
| 10 | 3.6603700 | 3.66037230 | 3.66029876 |
Publisher’s Note: MDPI stays neutral with regard to jurisdictional claims in published maps and institutional affiliations. |
© 2022 by the authors. Licensee MDPI, Basel, Switzerland. This article is an open access article distributed under the terms and conditions of the Creative Commons Attribution (CC BY) license (https://creativecommons.org/licenses/by/4.0/).
Share and Cite
Li, P.; Z. Duraihem, F.; Awan, A.U.; Al-Zubaidi, A.; Abbas, N.; Ahmad, D. Heat Transfer of Hybrid Nanomaterials Base Maxwell Micropolar Fluid Flow over an Exponentially Stretching Surface. Nanomaterials 2022, 12, 1207. https://doi.org/10.3390/nano12071207
Li P, Z. Duraihem F, Awan AU, Al-Zubaidi A, Abbas N, Ahmad D. Heat Transfer of Hybrid Nanomaterials Base Maxwell Micropolar Fluid Flow over an Exponentially Stretching Surface. Nanomaterials. 2022; 12(7):1207. https://doi.org/10.3390/nano12071207
Chicago/Turabian StyleLi, Piyu, Faisal Z. Duraihem, Aziz Ullah Awan, A. Al-Zubaidi, Nadeem Abbas, and Daud Ahmad. 2022. "Heat Transfer of Hybrid Nanomaterials Base Maxwell Micropolar Fluid Flow over an Exponentially Stretching Surface" Nanomaterials 12, no. 7: 1207. https://doi.org/10.3390/nano12071207
APA StyleLi, P., Z. Duraihem, F., Awan, A. U., Al-Zubaidi, A., Abbas, N., & Ahmad, D. (2022). Heat Transfer of Hybrid Nanomaterials Base Maxwell Micropolar Fluid Flow over an Exponentially Stretching Surface. Nanomaterials, 12(7), 1207. https://doi.org/10.3390/nano12071207

