Enhancement of Casimir Friction between Graphene-Covered Topological Insulator
Abstract
:1. Introduction
2. Theoretical Model
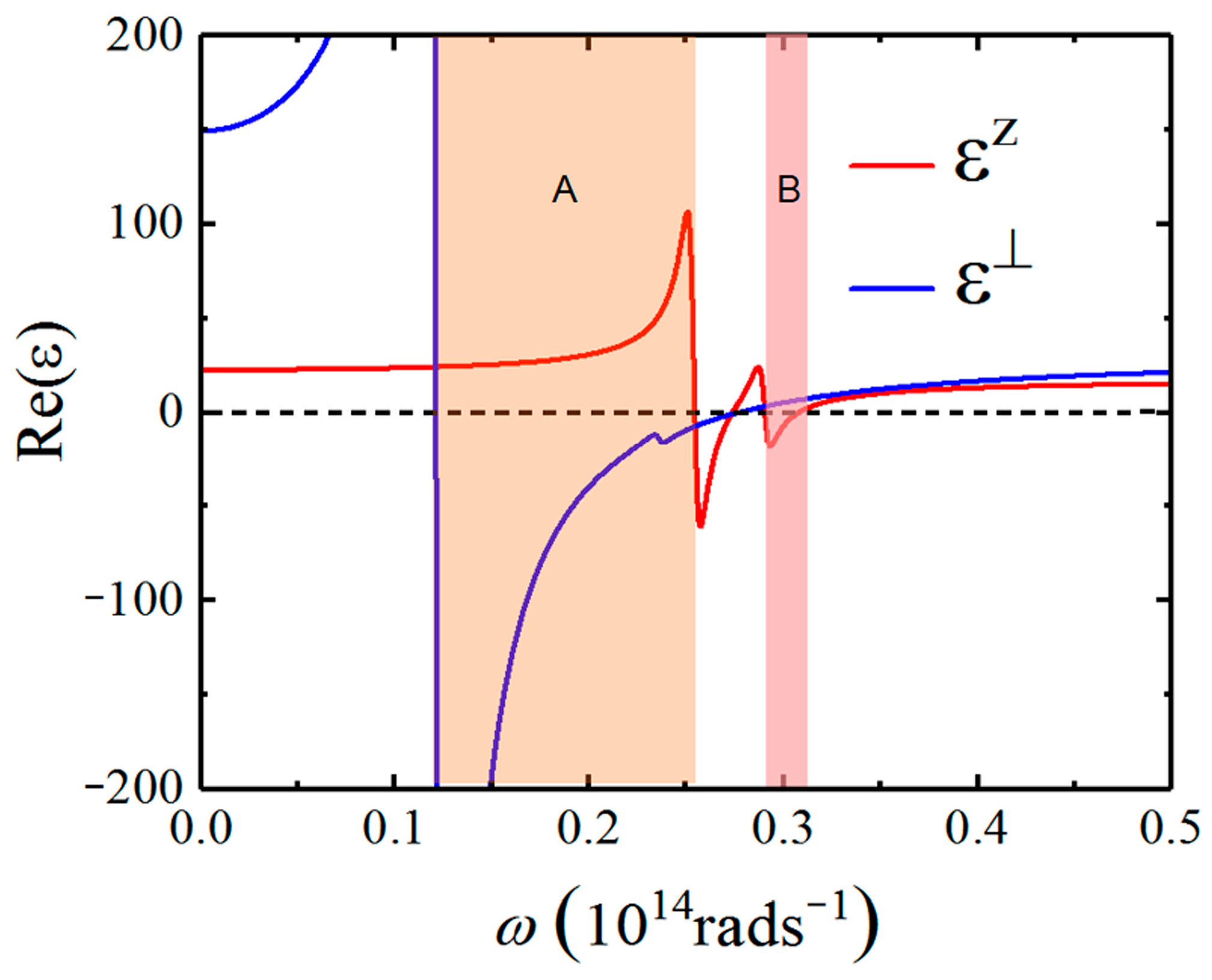
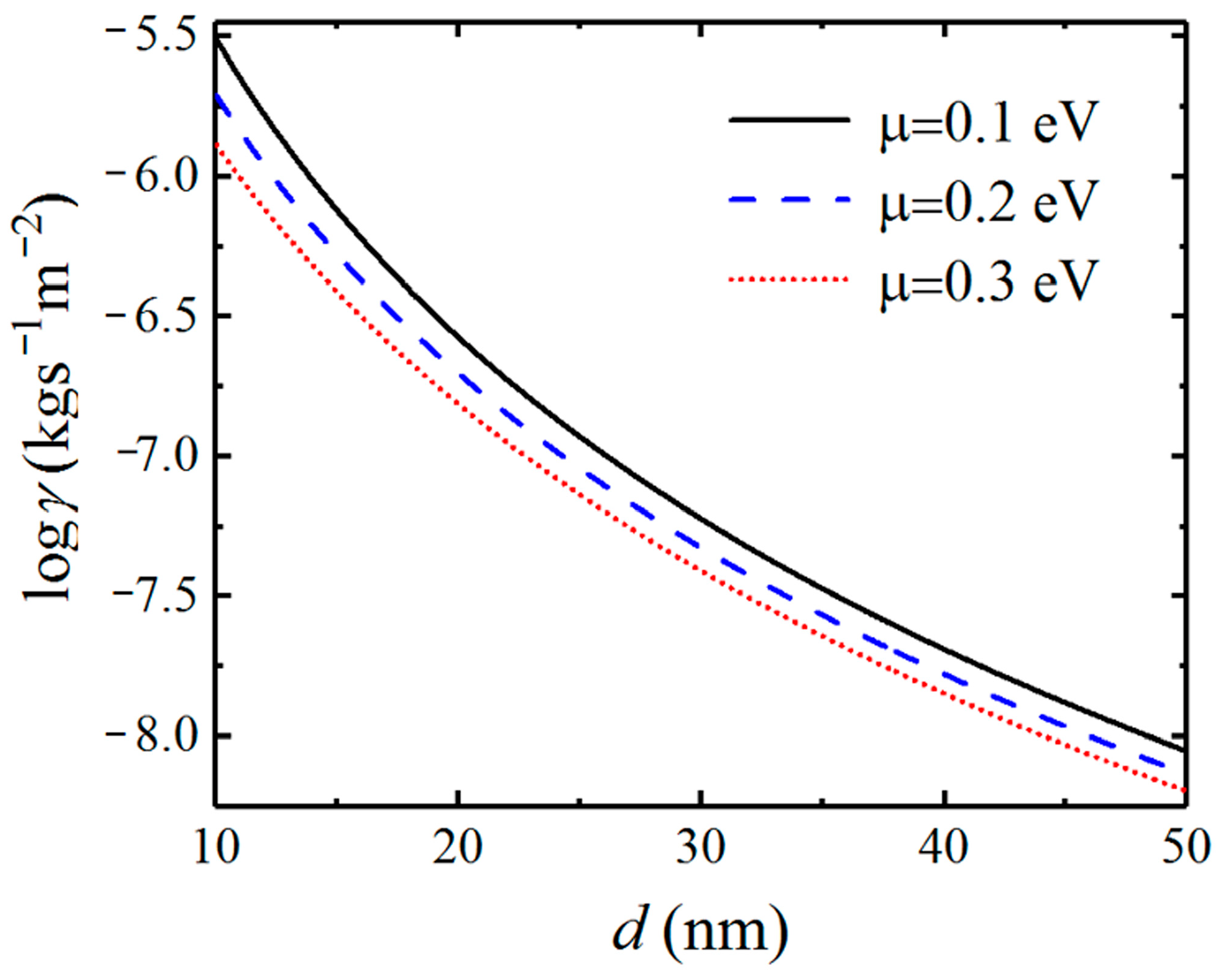
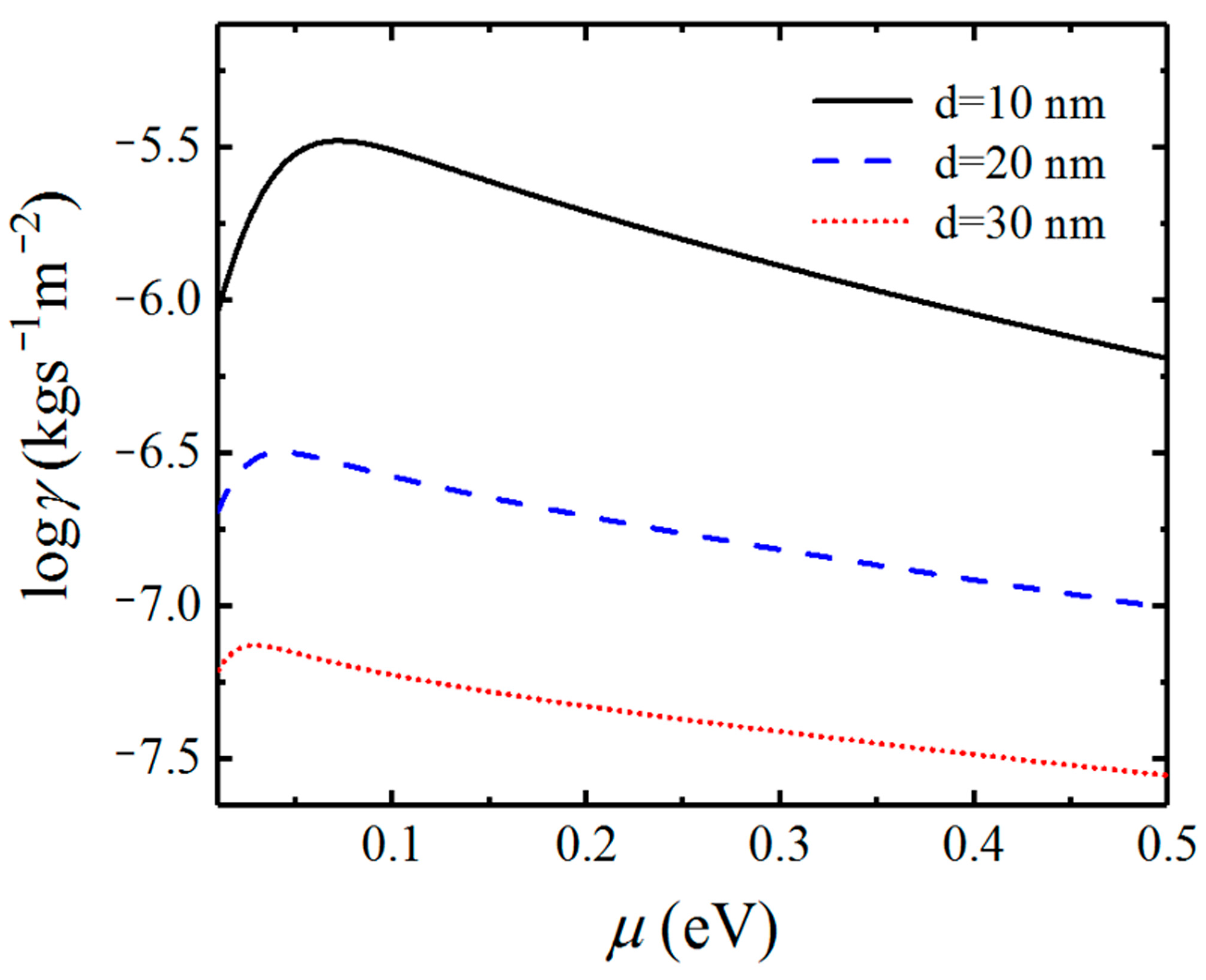
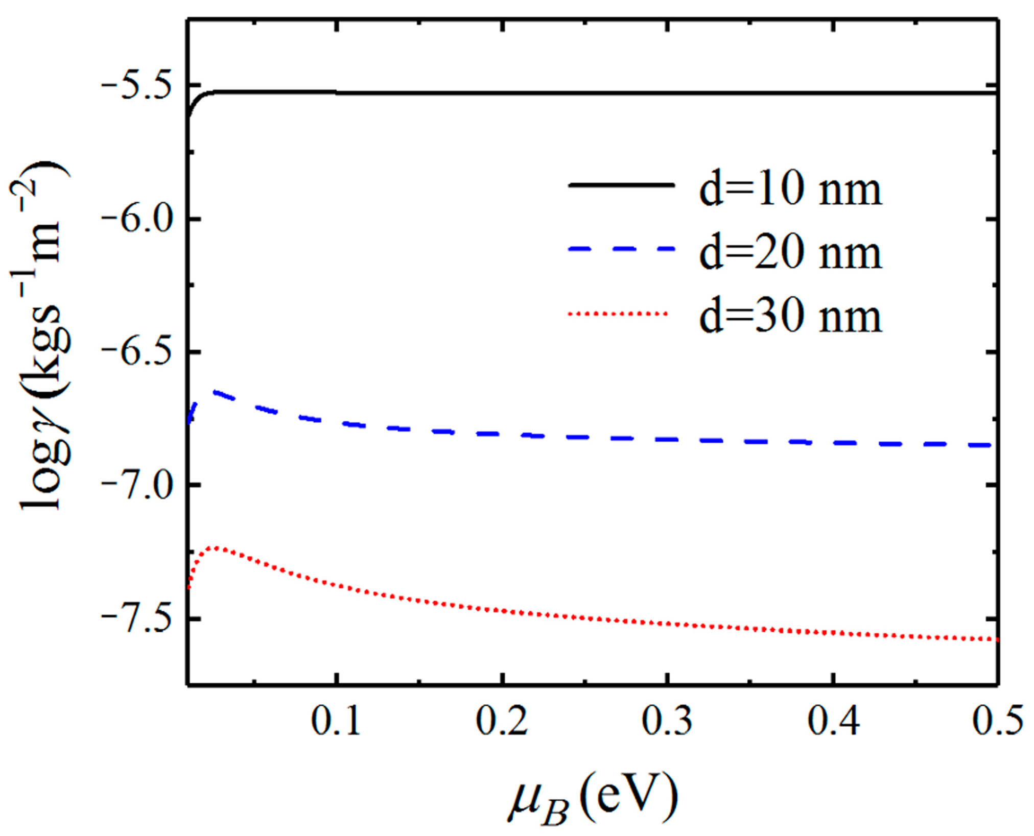
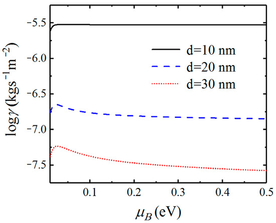
3. Casimir Friction between Graphene-Covered Bi2Se3
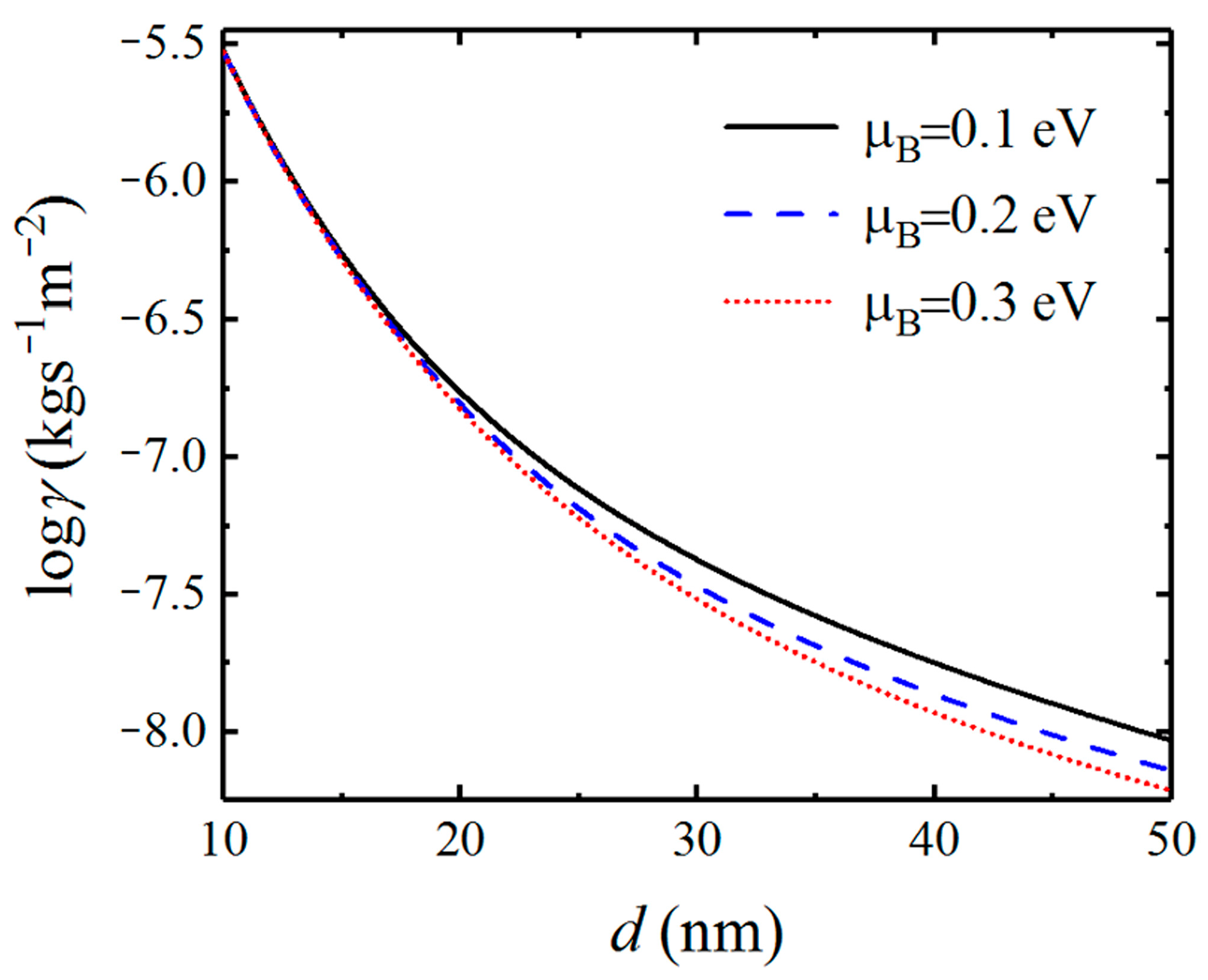
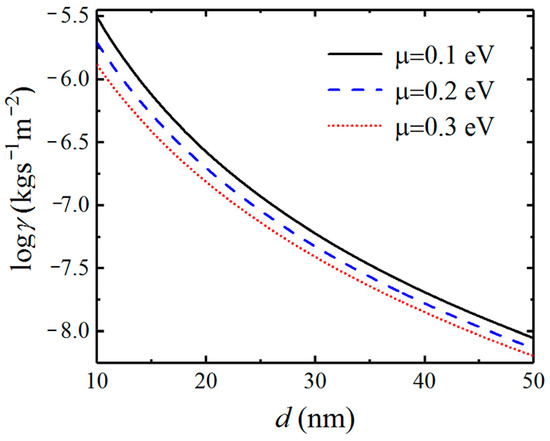
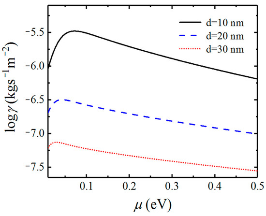
4. Casimir Friction between Doped Bi2Se3 Bulks
5. Conclusions
Author Contributions
Funding
Institutional Review Board Statement
Informed Consent Statement
Data Availability Statement
Conflicts of Interest
References
- Dorofeyev, I.; Fuchs, H.; Wenning, G.; Gotsmann, B. Brownian Motion of Microscopic Solids under the Action of Fluctuating Electromagnetic Fields. Phys. Rev. Lett. 1999, 83, 2402. [Google Scholar] [CrossRef]
- Volokitin, A.I.; Persson, B.N.J. Noncontact friction between nanostructures. Phys. Rev. B 2003, 68, 155420. [Google Scholar] [CrossRef] [Green Version]
- She, J.H.; Balatsky, A.V. Non-contact Friction and Relaxational Dynamics of Surface Defects. Phys. Rev. Lett. 2012, 108, 136101. [Google Scholar] [CrossRef] [Green Version]
- Jentschura, U.D.; Janke, M.; DeKieviet, M. Theory of noncontact friction for atom-surface interactions. Phys. Rev. A 2016, 94, 022510. [Google Scholar] [CrossRef] [Green Version]
- Stipe, B.C.; Mamin, H.J.; Stowe, T.D.; Kenny, T.W.; Rugar, D. Noncontact Friction and Force Fluctuations between Closely Spaced Bodies. Phys. Rev. Lett. 2001, 87, 096801. [Google Scholar] [CrossRef] [PubMed]
- Kuehn, S.; Loring, R.F.; Marohn, J.A. Dielectric Fluctuations and the Origins of Noncontact Friction. Phys. Rev. Lett. 2006, 96, 156103. [Google Scholar] [CrossRef]
- Saitoh, K.; Hayashi, K.; Shibayama, Y.; Shirahama, K. Gigantic Maximum of Nanoscale Noncontact Friction. Phys. Rev. Lett. 2010, 105, 236103. [Google Scholar] [CrossRef] [Green Version]
- Pendry, J. Shearing the vacuum—quantum friction. J. Phys. Condens. Matter 1997, 9, 10301–10320. [Google Scholar] [CrossRef]
- Farías, M.B.; Fosco, C.D.; Lombardo, F.; Mazzitelli, F.; López, A.E.R. Functional approach to quantum friction: Effective action and dissipative force. Phys. Rev. D 2015, 91, 105020. [Google Scholar] [CrossRef] [Green Version]
- Barton, G. On van der Waals friction between two atoms at nonzero temperature. New J. Phys. 2011, 13, 043023. [Google Scholar] [CrossRef]
- Reiche, D.; Dalvit, D.A.R.; Busch, K.; Intravaia, F. Spatial dispersion in atom-surface quantum friction. Phys. Rev. B 2017, 95, 155448. [Google Scholar] [CrossRef] [Green Version]
- Zhao, R.; Manjavacas, A.; de Abajo, F.J.G.; Pendry, J. Rotational Quantum Friction. Phys. Rev. Lett. 2012, 109, 123604. [Google Scholar] [CrossRef] [PubMed] [Green Version]
- Manjavacas, A.; Rodríguez-Fortuño, F.J.; de Abajo, F.J.G.; Zayats, A.V. Lateral Casimir Force on a Rotating Particle near a Planar Surface. Phys. Rev. Lett. 2017, 118, 133605. [Google Scholar] [CrossRef]
- Høye, J.S.; Brevik, I. Casimir friction between a magnetic and a dielectric material in the nonretarded limit. Phys. Rev. A 2019, 99, 042511. [Google Scholar] [CrossRef] [Green Version]
- Volokitin, A.I.; Persson, B.N.J. Dissipative van der Waals interaction between a small particle and a metal surface. Phys. Rev. B 2002, 65, 115419. [Google Scholar] [CrossRef] [Green Version]
- Volokitin, A.I.; Persson, B.N.J. Resonant Photon Tunneling Enhancement of the van der Waals Friction. Phys. Rev. Lett. 2003, 91, 106101. [Google Scholar] [CrossRef] [Green Version]
- Volokitin, A.I.; Persson, B.N.J. Adsorbate-Induced Enhancement of Electrostatic Noncontact Friction. Phys. Rev. Lett. 2005, 94, 086104. [Google Scholar] [CrossRef] [Green Version]
- Volokitin, A.; Persson, B. Near-field radiative heat transfer and noncontact friction. Rev. Mod. Phys. 2007, 79, 1291–1329. [Google Scholar] [CrossRef]
- Volokitin, A.I.; Persson, B.N.J. Theory of the interaction forces and the radiative heat transfer between moving bodies. Phys. Rev. B 2008, 78, 155437. [Google Scholar] [CrossRef] [Green Version]
- Volokitin, A.; Persson, B.N.J. Quantum Friction. Phys. Rev. Lett. 2011, 106, 094502. [Google Scholar] [CrossRef] [Green Version]
- Despoja, V.; Echenique, P.M.; Šunjić, M. Nonlocal microscopic theory of quantum friction between parallel metallic slabs. Phys. Rev. B 2011, 83, 205424. [Google Scholar] [CrossRef] [Green Version]
- Farias, M.B.; Kort-Kamp, W.J.M.; Dalvit, D.A.R. Quantum friction in two-dimensional topological materials. Phys. Rev. B 2018, 97, 161407. [Google Scholar] [CrossRef] [Green Version]
- Novoselov, K.S.; Geim, A.K.; Morozov, S.V.; Jiang, D.; Zhang, Y.; Dubonos, S.V.; Grigorieva, I.V.; Firsov, A.A. Electric field effect in atomically thin carbon films. Science 2004, 306, 666–669. [Google Scholar] [CrossRef] [PubMed] [Green Version]
- Dell’Anna, L.; Merano, M. Clausius-Mossotti Lorentz-Lorenz relations and retardation effects for two-dimensional crystals. Phys. Rev. A 2016, 93, 053808. [Google Scholar] [CrossRef] [Green Version]
- Novoselov, K.S.; Geim, A.K.; Morozov, S.V.; Jiang, D.; Katsnelson, M.I.; Grigorieva, I.V.; Dubonos, S.V.; Firsov, A.A. Two-dimensional gas of massless Dirac fermions in graphene. Nature 2005, 438, 197–200. [Google Scholar] [CrossRef]
- Zhang, Y.B.; Tan, Y.W.; Stormer, H.L.; Kim, P. Experimental observation of the quantum Hall effect and Berry’s phase in graphene. Nature 2005, 438, 201. [Google Scholar] [CrossRef] [Green Version]
- Geim, A.K.; Novoselov, K.S. The rise of graphene. In Nanoscience and Technology; World Scientific: Singapore, 2009; pp. 11–19. [Google Scholar]
- Berger, C.; Song, Z.; Li, X.; Wu, X.; Brown, N.; Naud, C.; Mayou, D.; Li, T.; Hass, J.; Marchenkov, A.N.; et al. Electronic confinement and coherence in patterned epitaxial graphene. Science 2006, 312, 1191–1196. [Google Scholar] [CrossRef] [PubMed] [Green Version]
- Freitag, M.; Low, T.; Xia, F.; Avouris, P. Photoconductivity of biased graphene. Nat. Photon 2013, 7, 53–59. [Google Scholar] [CrossRef] [Green Version]
- Stauber, T.; Peres, N.M.R.; Geim, A.K. Optical conductivity of graphene in the visible region of the spectrum. Phys. Rev. B 2008, 78, 085432. [Google Scholar] [CrossRef] [Green Version]
- Falkovsky, L.A. Optical properties of graphene. J. Phys. Conf. Ser. 2008, 129, 012004. [Google Scholar] [CrossRef]
- Falkovsky, L.A.; Pershoguba, S. Optical far-infrared properties of a graphene monolayer and multilayer. Phys. Rev. B 2007, 76, 153410. [Google Scholar] [CrossRef] [Green Version]
- Mikhailov, S.A.; Ziegler, K.G. New Electromagnetic Mode in Graphene. Phys. Rev. Lett. 2007, 99, 016803. [Google Scholar] [CrossRef] [PubMed] [Green Version]
- Ju, L.; Geng, B.; Horng, J.; Girit, C.; Martin, M.; Hao, Z.; Bechtel, H.A.; Liang, X.; Zettl, A.; Shen, Y.-R.; et al. Graphene plasmonics for tunable terahertz metamaterials. Nat. Nanotechnol. 2011, 6, 630. [Google Scholar] [CrossRef]
- Jablan, M.; Buljan, H.; Soljačić, M. Plasmonics in graphene at infrared frequencies. Phys. Rev. B 2009, 80, 245435. [Google Scholar] [CrossRef] [Green Version]
- Wang, T.-B.; Liu, N.-H.; Liu, J.-T.; Yu, T.-B. Quantum friction controlled by plasmons between graphene sheets. Eur. Phys. J. B 2014, 87, 185. [Google Scholar] [CrossRef]
- Zhang, C.J.; Zhou, T.; Du, X.P.; Wang, T.B.; Liu, N.H. Enhancement of quantum friction via coupling of surface phonon polariton and graphene plasmons. Acta Phys. Sin. 2016, 65, 236801. [Google Scholar] [CrossRef]
- Farias, M.B.; Fosco, C.D.; Lombardo, F.C.; Mazzitelli, F. Quantum friction between graphene sheets. Phys. Rev. D 2017, 95, 065012. [Google Scholar] [CrossRef] [Green Version]
- Despoja, V.; Echenique, P.M.; Šunjić, M. Quantum friction between oscillating crystal slabs: Graphene monolayers on dielectric substrates. Phys. Rev. B 2018, 98, 125405. [Google Scholar] [CrossRef] [Green Version]
- Luo, R.; Yang, J.-R.; Wang, T.-B.; Zhang, D.-J.; Liu, W.-X.; Yu, T.-B.; Liao, Q.-H. Enhancement of Casimir friction between graphene-covered hyperbolic materials. Phys. Lett. A 2021, 387, 127006. [Google Scholar] [CrossRef]
- Fu, L.; Kane, C.L. Superconducting Proximity Effect and Majorana Fermions at the Surface of a Topological Insulator. Phys. Rev. Lett. 2008, 100, 096407. [Google Scholar] [CrossRef] [Green Version]
- Qi, X.-L.; Zhang, S.-C. The quantum spin Hall effect and topological insulators. Phys. Today 2010, 63, 33–38. [Google Scholar] [CrossRef] [Green Version]
- Hasan, M.Z.; Kane, C.L. Topological insulators. Rev. Mod. Phys. 2010, 82, 3045. [Google Scholar] [CrossRef] [Green Version]
- Qi, X.L.; Zhang, S.C. Topological insulators and superconductors. Rev. Mod. Phys. 2011, 83, 1057. [Google Scholar] [CrossRef] [Green Version]
- Karch, A. Surface plasmon and topological insultors. Phys. Rev. B 2011, 83, 245432. [Google Scholar] [CrossRef] [Green Version]
- Fu, L.; Kane, C.L. Topological insulators with inversion symmetry. Phys. Rev. B 2007, 76, 045302. [Google Scholar] [CrossRef] [Green Version]
- Hsieh, D.; Qian, D.; Wray, L.; Xia, Y.; Hor, Y.S.; Cava, R.J.; Hasan, M.Z. A topological Dirac insulator in a quantum spin Hall phase. Nature 2008, 452, 970–974. [Google Scholar] [CrossRef] [PubMed] [Green Version]
- Zhang, H.; Liu, C.-X.; Qi, X.-L.; Dai, X.; Fang, Z.; Zhang, S.-C. Topological insulators in Bi2Se3, Bi2Te3 and Sb2Te3 with a single Dirac cone on the surface. Nat. Phys. 2009, 5, 438–442. [Google Scholar] [CrossRef]
- Xia, Y.; Qian, D.; Hsieh, D.; Wray, L.A.; Pal, A.; Lin, H.; Bansil, A.; Grauer, D.; Hor, Y.S.; Cava, R.J.; et al. Observation of a large-gap topological-insulator class with a single Dirac cone on the surface. Nat. Phys. 2009, 5, 398–402. [Google Scholar] [CrossRef] [Green Version]
- Hong, S.S.; Kundhikanjana, W.; Cha, J.J.; Lai, K.J.; Kong, D.S.; Meister, S.; Kelly, M.A.; Shen, Z.X.; Cui, Y. Ultrathin Topological Insulator Bi2Se3 Nanoribbons Exfoliated by Atomic Force Microscopy. Nano Lett. 2010, 10, 3118. [Google Scholar] [CrossRef] [Green Version]
- Kong, D.; Dang, W.; Cha, J.J.; Li, H.; Meister, S.; Peng, H.; Liu, Z.; Cui, Y. Few-Layer Nanoplates of Bi2Se3 and Bi2Te3 with Highly Tunable Chemical Potential. Nano Lett. 2010, 10, 2245–2250. [Google Scholar] [CrossRef] [Green Version]
- LaForge, A.D.; Frenzel, A.; Pursley, B.; Lin, T.; Liu, X.; Shi, J.; Basov, D.N. Optical characterization of Bi2Se3 in a magnetic field: Infrared evidence for magnetoelectric coupling in a topological insulator material. Phys. Rev. B 2010, 81, 125120. [Google Scholar] [CrossRef] [Green Version]
- Akrap, A.; Tran, M.; Ubaldini, A.; Teyssier, J.; Giannini, E.; Van Der Marel, D.; Lerch, P.; Homes, C.C. Optical properties of Bi2Te2Se at ambient and high pressures. Phys. Rev. B 2012, 86, 235207. [Google Scholar] [CrossRef] [Green Version]
- Wei, C.; Ren, S.F. Phonons of single quintuple Bi2Te3 and Bi2Se3 films and bulk materials. Phys. Rev. B 2011, 83, 094301. [Google Scholar] [CrossRef] [Green Version]
- Zhou, L.; Carbotte, J.P. Hexagonal warping on spin texture, Hall conductivity and circular dichroism of topological Insulators. Phys. Rev. B 2014, 89, 165420. [Google Scholar] [CrossRef] [Green Version]
- Wu, J.-S.; Basov, D.N.; Fogler, M. Topological insulators are tunable waveguides for hyperbolic polaritons. Phys. Rev. B 2015, 92, 205430. [Google Scholar] [CrossRef] [Green Version]
- Ilic, O.; Jablan, M.; Joannopoulos, J.D.; Celanovic, I.; Buljan, H.; Soljačić, M. Near-field thermal radiation transfer controlled by plasmons in graphene. Phys. Rev. B 2012, 85, 155422. [Google Scholar] [CrossRef]
- Zhao, B.; Guizal, B.; Zhang, Z.M.; Fan, S.; Antezza, M. Near-field heat transfer between graphene/hBN multilayers. Phys. Rev. B 2017, 95, 245437. [Google Scholar] [CrossRef] [Green Version]
- Richter, W.; Becker, C.R. A Raman and far-infrared investigation of phonons in the rhombohedral V2–VI3 compounds Bi2Te3, Bi2Se3, Sb2Te3 and Bi2(Te1−xSex)3 (0 < x < 1), (Bi1−ySby)2Te3 (0 < y < 1). Phys. Status Solidi 1977, 84, 619–628. [Google Scholar] [CrossRef]
- Di Pietro, P.; Vitucci, F.M.; Nicoletti, D.; Baldassarre, L.; Calvani, P.; Cava, R.; Hor, Y.S.; Schade, U.; Lupi, S. Optical conductivity of bismuth-based topological insulators. Phys. Rev. B 2012, 86, 045439. [Google Scholar] [CrossRef] [Green Version]










Publisher’s Note: MDPI stays neutral with regard to jurisdictional claims in published maps and institutional affiliations. |
© 2022 by the authors. Licensee MDPI, Basel, Switzerland. This article is an open access article distributed under the terms and conditions of the Creative Commons Attribution (CC BY) license (https://creativecommons.org/licenses/by/4.0/).
Share and Cite
Yu, T.; Luo, R.; Wang, T.; Zhang, D.; Liu, W.; Yu, T.; Liao, Q. Enhancement of Casimir Friction between Graphene-Covered Topological Insulator. Nanomaterials 2022, 12, 1148. https://doi.org/10.3390/nano12071148
Yu T, Luo R, Wang T, Zhang D, Liu W, Yu T, Liao Q. Enhancement of Casimir Friction between Graphene-Covered Topological Insulator. Nanomaterials. 2022; 12(7):1148. https://doi.org/10.3390/nano12071148
Chicago/Turabian StyleYu, Ting, Rong Luo, Tongbiao Wang, Dejian Zhang, Wenxing Liu, Tianbao Yu, and Qinghua Liao. 2022. "Enhancement of Casimir Friction between Graphene-Covered Topological Insulator" Nanomaterials 12, no. 7: 1148. https://doi.org/10.3390/nano12071148
APA StyleYu, T., Luo, R., Wang, T., Zhang, D., Liu, W., Yu, T., & Liao, Q. (2022). Enhancement of Casimir Friction between Graphene-Covered Topological Insulator. Nanomaterials, 12(7), 1148. https://doi.org/10.3390/nano12071148
