Development of Gold Nanoparticle-Based SERS Substrates on TiO2-Coating to Reduce the Coffee Ring Effect
Abstract
:1. Introduction
2. Materials and Methods
2.1. Gold Nanoparticle Synthesis
2.2. Fabrication of the SERS-Substrates
2.3. SEM Analysis
2.4. Water Contact Angle Measurements
2.5. Raman Analysis
3. Results and Discussion
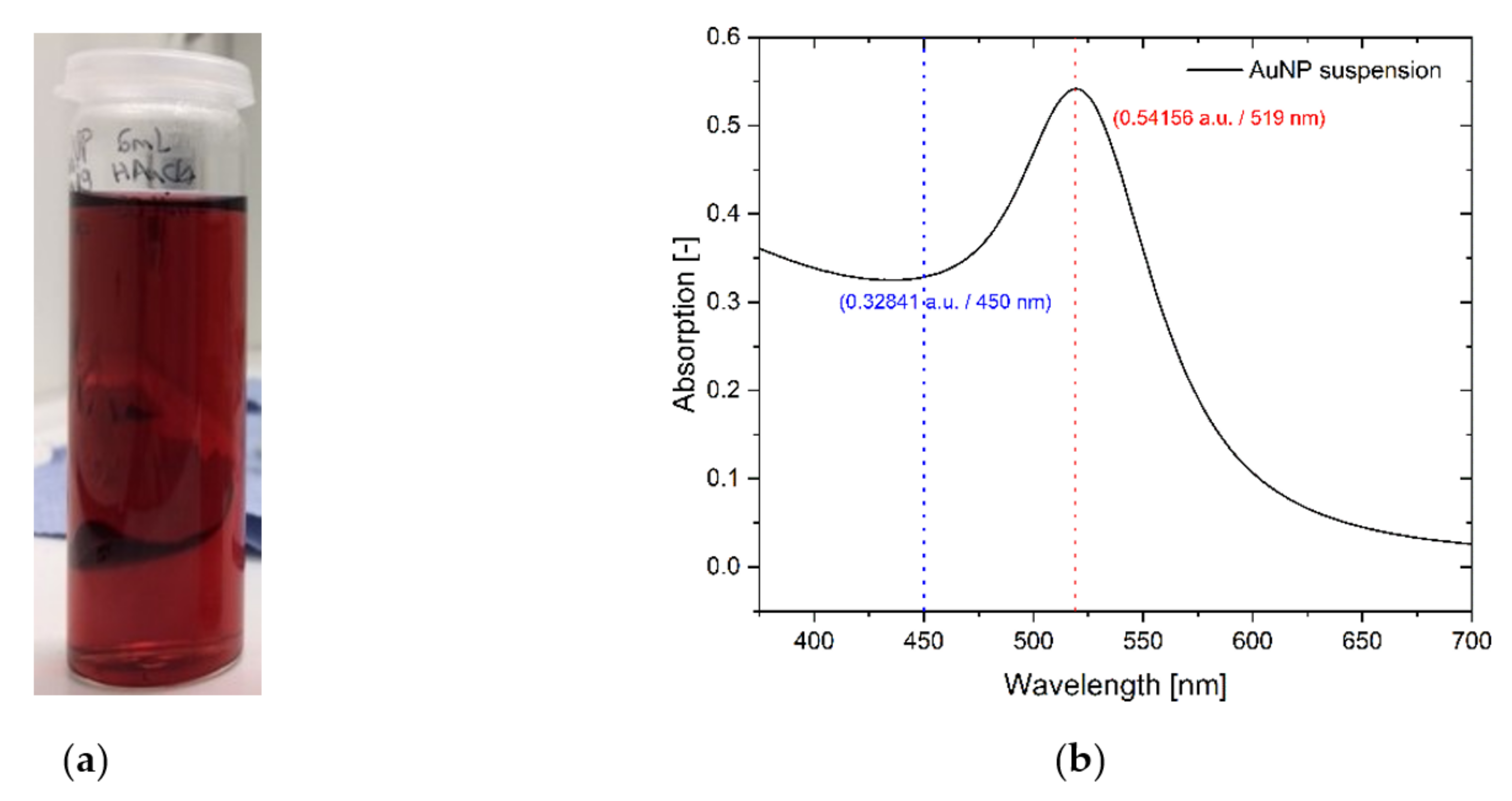
3.1. Synthesis of Gold Nanoparticles
3.2. Fabrication of AuNPs-TiO2-SERS Substrates
3.3. SERS-Enhancement and the Reduced Coffee Ring Effect
4. Conclusions
Supplementary Materials
Author Contributions
Funding
Data Availability Statement
Acknowledgments
Conflicts of Interest
References
- Perumal, J.; Wang, Y.; Attia, A.B.E.; Dinish, U.S.; Olivo, M. Towards a point-of-care SERS sensor for biomedical and agri-food analysis applications: A review of recent advancements. Nanoscale 2021, 13, 553–580. [Google Scholar] [CrossRef] [PubMed]
- Mosier-Boss, P.A. Review of SERS Substrates for Chemical Sensing. Nanomaterials 2017, 7, 142. [Google Scholar] [CrossRef] [PubMed] [Green Version]
- Tang, H.; Zhu, C.; Meng, G.; Wu, N. Review—Surface-Enhanced Raman Scattering Sensors for Food Safety and Environmental Monitoring. J. Electrochem. Soc. 2018, 165, B3098–B3118. [Google Scholar] [CrossRef]
- Guerrini, L.; Graham, D. Molecularly-mediated assemblies of plasmonic nanoparticles for Surface-Enhanced Raman Spectroscopy applications. Chem. Soc. Rev. 2012, 41, 7085–7107. [Google Scholar] [CrossRef]
- Breuch, R.; Klein, D.; Siefke, E.; Hebel, M.; Herbert, U.; Wickleder, C.; Kaul, P. Differentiation of meat-related microorganisms using paper-based surface-enhanced Raman spectroscopy combined with multivariate statistical analysis. Talanta 2020, 219, 121315. [Google Scholar] [CrossRef] [PubMed]
- Sourdaine, M.; Guenther, D.; Dowgiallo, A.-M.; Harvey, C.; Mattley, Y.; Guckian, A.; Lischtschenko, O. Protecting the food supply chain: Utilizing SERS and portable Raman spectroscopy. tm-Technisches Messen 2015, 82, 625–632. [Google Scholar] [CrossRef]
- Zhang, J.; Yan, Y.; Miao, P.; Cai, J. Fabrication of gold-coated PDMS surfaces with arrayed triangular micro/nanopyramids for use as SERS substrates. Beilstein J. Nanotechnol. 2017, 8, 2271–2282. [Google Scholar] [CrossRef] [Green Version]
- Villa, J.E.L.; dos Santos, D.P.; Poppi, R.J. Fabrication of gold nanoparticle-coated paper and its use as a sensitive substrate for quantitative SERS analysis. Microchim. Acta 2016, 183, 2745–2752. [Google Scholar] [CrossRef]
- Zhang, L.; Liu, H.; Chen, L.; Guan, P.; Chen, B.; Fujita, T.; Yamaguchi, Y.; Iwasaki, H.; Xue, Q.-K.; Chen, M. Large-scale growth of sharp gold nano-cones for single-molecule SERS detection. RSC Adv. 2016, 6, 2882–2887. [Google Scholar] [CrossRef]
- Lee, S.; Choi, I. Fabrication Strategies of 3D Plasmonic Structures for SERS. BioChip J. 2019, 13, 30–42. [Google Scholar] [CrossRef]
- Jung, G.B.; Bae, Y.M.; Lee, Y.J.; Ryu, S.H.; Park, H.-K. Nanoplasmonic Au nanodot arrays as an SERS substrate for biomedical applications. Appl. Surf. Sci. 2013, 282, 161–164. [Google Scholar] [CrossRef]
- Kuttner, C.; Mayer, M.; Dulle, M.; Moscoso, A.; López-Romero, J.M.; Förster, S.; Fery, A.; Pérez-Juste, J.; Contreras-Cáceres, R. Seeded Growth Synthesis of Gold Nanotriangles: Size Control, SAXS Analysis, and SERS Performance. ACS Appl. Mater. Interfaces 2018, 10, 11152–11163. [Google Scholar] [CrossRef] [PubMed]
- Omar, R.; En Naciri, A.; Jradi, S.; Battie, Y.; Toufaily, J.; Mortada, H.; Akil, S. One-step synthesis of a monolayer of monodisperse gold nanocubes for SERS substrates. J. Mater. Chem. C 2017, 5, 10813–10821. [Google Scholar] [CrossRef]
- Harder, R.A.; Wijenayaka, L.A.; Phan, H.T.; Haes, A.J. Tuning gold nanostar morphology for the SERS detection of uranyl. J. Raman Spectrosc. 2021, 52, 497–505. [Google Scholar] [CrossRef]
- Kim, W.H.; Lee, J.U.; Song, S.; Kim, S.; Choi, Y.J.; Sim, S.J. A label-free, ultra-highly sensitive and multiplexed SERS nanoplasmonic biosensor for miRNA detection using a head-flocked gold nanopillar. Analyst 2019, 144, 1768–1776. [Google Scholar] [CrossRef]
- Nguyen, M.T.T.; Nguyen, D.H.; Pham, M.T.; Pham, H.V.; Huynh, C.D. Synthesis and Vertical Self-Assembly of Gold Nanorods for Surface Enhanced Raman Scattering. J. Electron. Mater. 2019, 48, 4970–4976. [Google Scholar] [CrossRef]
- Fan, Z.; Kanchanapally, R.; Ray, P.C. Hybrid Graphene Oxide Based Ultrasensitive SERS Probe for Label-Free Biosensing. J. Phys. Chem. Lett. 2013, 4, 3813–3818. [Google Scholar] [CrossRef]
- Wallace, G.Q.; Zuin, M.S.; Tabatabaei, M.; Gobbo, P.; Lagugné-Labarthet, F.; Workentin, M.S. Gold nanosponges (AuNS): A versatile nanostructure for surface-enhanced Raman spectroscopic detection of small molecules and biomolecules. Analyst 2015, 140, 7278–7282. [Google Scholar] [CrossRef] [PubMed]
- Su, J.; Wang, D.; Nörbel, L.; Shen, J.; Zhao, Z.; Dou, Y.; Peng, T.; Shi, J.; Mathur, S.; Fan, C.; et al. Multicolor Gold-Silver Nano-Mushrooms as Ready-to-Use SERS Probes for Ultrasensitive and Multiplex DNA/miRNA Detection. Anal. Chem. 2017, 89, 2531–2538. [Google Scholar] [CrossRef]
- Tan, S.-H.; Yougbaré, S.; Tao, H.-Y.; Chang, C.-C.; Kuo, T.-R. Plasmonic Gold Nanoisland Film for Bacterial Theranostics. Nanomaterials 2021, 11, 3139. [Google Scholar] [CrossRef]
- Li, H.; Yang, Q.; Hou, J.; Li, Y.; Li, M.; Song, Y. Bioinspired Micropatterned Superhydrophilic Au-Areoles for Surface-Enhanced Raman Scattering (SERS) Trace Detection. Adv. Funct. Mater. 2018, 28, 1800448. [Google Scholar] [CrossRef]
- Darienzo, R.E.; Chen, O.; Sullivan, M.; Mironava, T.; Tannenbaum, R. Au nanoparticles for SERS: Temperature-controlled nanoparticle morphologies and their Raman enhancing properties. Mater. Chem. Phys. 2020, 240, 122143. [Google Scholar] [CrossRef]
- Péron, O.; Rinnert, E.; Lehaitre, M.; Crassous, P.; Compère, C. Detection of polycyclic aromatic hydrocarbon (PAH) compounds in artificial sea-water using surface-enhanced Raman scattering (SERS). Talanta 2009, 79, 199–204. [Google Scholar] [CrossRef] [PubMed]
- Zhang, P.; Li, Y.; Wang, D.; Xia, H. High-Yield Production of Uniform Gold Nanoparticles with Sizes from 31 to 577 nm via One-Pot Seeded Growth and Size-Dependent SERS Property. Part. Part. Syst. Charact. 2016, 33, 924–932. [Google Scholar] [CrossRef]
- Njoki, P.N.; Lim, I.-I.S.; Mott, D.; Park, H.-Y.; Khan, B.; Mishra, S.; Sujakumar, R.; Luo, J.; Zhong, C.-J. Size Correlation of Optical and Spectroscopic Properties for Gold Nanoparticles. J. Phys. Chem. C 2007, 111, 14664–14669. [Google Scholar] [CrossRef]
- Daruich De Souza, C.; Ribeiro Nogueira, B.; Rostelato, M.E.C. Review of the methodologies used in the synthesis gold nanoparticles by chemical reduction. J. Alloys Compd. 2019, 798, 714–740. [Google Scholar] [CrossRef]
- Kimling, J.; Maier, M.; Okenve, B.; Kotaidis, V.; Ballot, H.; Plech, A. Turkevich method for gold nanoparticle synthesis revisited. J. Phys. Chem. B 2006, 110, 15700–15707. [Google Scholar] [CrossRef] [PubMed]
- Turkevich, J.; Stevenson, P.C.; Hillier, J. A study of the nucleation and growth processes in the synthesis of colloidal gold. Discuss. Faraday Soc. 1951, 11, 55. [Google Scholar] [CrossRef]
- Frens, G. Controlled Nucleation for the Regulation of the Particle Size in Monodisperse Gold Suspensions. Nat. Phys. Sci. 1973, 241, 20–22. [Google Scholar] [CrossRef]
- He, Y.Q.; Liu, S.P.; Kong, L.; Liu, Z.F. A study on the sizes and concentrations of gold nanoparticles by spectra of absorption, resonance Rayleigh scattering and resonance non-linear scattering. Spectrochim. Acta A Mol. Biomol. Spectrosc. 2005, 61, 2861–2866. [Google Scholar] [CrossRef]
- Haiss, W.; Thanh, N.T.K.; Aveyard, J.; Fernig, D.G. Determination of size and concentration of gold nanoparticles from UV-vis spectra. Anal. Chem. 2007, 79, 4215–4221. [Google Scholar] [CrossRef]
- Ambroziak, R.; Krajczewski, J.; Pisarek, M.; Kudelski, A. Immobilization of Cubic Silver Plasmonic Nanoparticles on TiO2 Nanotubes, Reducing the Coffee Ring Effect in Surface-Enhanced Raman Spectroscopy Applications. ACS Omega 2020, 5, 13963–13972. [Google Scholar] [CrossRef]
- Huang, Z.; Nagpal, A.; Siddhanta, S.; Barman, I. Leveraging coffee-ring effect on plasmonic paper substrate for sensitive analyte detection using Raman spectroscopy. J. Raman Spectrosc. 2018, 49, 1552–1558. [Google Scholar] [CrossRef]
- Deegan, R.D.; Bakajin, O.; Dupont, T.F.; Huber, G.; Nagel, S.R.; Witten, T.A. Capillary flow as the cause of ring stains from dried liquid drops. Nature 1997, 389, 827–829. [Google Scholar] [CrossRef]
- Majumder, M.; Rendall, C.S.; Eukel, J.A.; Wang, J.Y.L.; Behabtu, N.; Pint, C.L.; Liu, T.-Y.; Orbaek, A.W.; Mirri, F.; Nam, J.; et al. Overcoming the “coffee-stain” effect by compositional Marangoni-flow-assisted drop-drying. J. Phys. Chem. B 2012, 116, 6536–6542. [Google Scholar] [CrossRef]
- Mampallil, D.; Eral, H.B. A review on suppression and utilization of the coffee-ring effect. Adv. Colloid Interface Sci. 2018, 252, 38–54. [Google Scholar] [CrossRef] [PubMed]
- Sadek, C.; Schuck, P.; Fallourd, Y.; Pradeau, N.; Le Floch-Fouéré, C.; Jeantet, R. Drying of a single droplet to investigate process–structure–function relationships: A review. Dairy Sci. Technol. 2015, 95, 771–794. [Google Scholar] [CrossRef]
- Chen, R.; Zhang, L.; Li, X.; Ong, L.; Soe, Y.G.; Sinsua, N.; Gras, S.L.; Tabor, R.F.; Wang, X.; Shen, W. Trace Analysis and Chemical Identification on Cellulose Nanofibers-Textured SERS Substrates Using the “Coffee Ring” Effect. ACS Sens. 2017, 2, 1060–1067. [Google Scholar] [CrossRef]
- Marques, M.E.; Mansur, A.A.; Mansur, H.S. Chemical functionalization of surfaces for building three-dimensional engineered biosensors. Appl. Surf. Sci. 2013, 275, 347–360. [Google Scholar] [CrossRef] [Green Version]
- Pearson, B.; Wang, P.; Mills, A.; Pang, S.; McLandsborough, L.; He, L. Innovative sandwich assay with dual optical and SERS sensing mechanisms for bacterial detection. Anal. Methods 2017, 9, 4732–4739. [Google Scholar] [CrossRef]
- Deng, Z.-Y.; Chen, K.-L.; Wu, C.-H. Improving the SERS signals of biomolecules using a stacked biochip containing Fe2O3/Au nanoparticles and a DC magnetic field. Sci. Rep. 2019, 9, 9566. [Google Scholar] [CrossRef] [PubMed]
- Bolis, V.; Busco, C.; Ciarletta, M.; Distasi, C.; Erriquez, J.; Fenoglio, I.; Livraghi, S.; Morel, S. Hydrophilic/hydrophobic features of TiO2 nanoparticles as a function of crystal phase, surface area and coating, in relation to their potential toxicity in peripheral nervous system. J. Colloid Interface Sci. 2012, 369, 28–39. [Google Scholar] [CrossRef] [PubMed]
- Huang, L.; Jing, S.; Zhuo, O.; Meng, X.; Wang, X. Surface Hydrophilicity and Antifungal Properties of TiO2 Films Coated on a Co-Cr Substrate. Biomed. Res. Int. 2017, 2017, 2054723. [Google Scholar] [CrossRef] [PubMed]
- Verma, R.; Gangwar, J.; Srivastava, A.K. Multiphase TiO2 nanostructures: A review of efficient synthesis, growth mechanism, probing capabilities, and applications in bio-safety and health. RSC Adv. 2017, 7, 44199–44224. [Google Scholar] [CrossRef] [Green Version]
- Macwan, D.P.; Dave, P.N.; Chaturvedi, S. A review on nano-TiO2 sol–gel type syntheses and its applications. J. Mater. Sci. 2011, 46, 3669–3686. [Google Scholar] [CrossRef]
- Critchlow, G.W.; Brewis, D.M. Review of surface pretreatments for aluminium alloys. Int. J. Adhes. Adhes. 1996, 16, 255–275. [Google Scholar] [CrossRef]
- Tendero, C.; Tixier, C.; Tristant, P.; Desmaison, J.; Leprince, P. Atmospheric pressure plasmas: A review. Spectrochim. Acta Part B At. Spectrosc. 2006, 61, 2–30. [Google Scholar] [CrossRef]
- Musumeci, A.; Gosztola, D.; Schiller, T.; Dimitrijevic, N.M.; Mujica, V.; Martin, D.; Rajh, T. SERS of semiconducting nanoparticles (TiO2) hybrid composites. J. Am. Chem. Soc. 2009, 131, 6040–6041. [Google Scholar] [CrossRef]
- Yang, L.; Jiang, X.; Ruan, W.; Zhao, B.; Xu, W.; Lombardi, J.R. Observation of Enhanced Raman Scattering for Molecules Adsorbed on TiO2 Nanoparticles: Charge-Transfer Contribution. J. Phys. Chem. C 2008, 112, 20095–20098. [Google Scholar] [CrossRef]
- Ueba, H. Theory of raman scattering from molecules adsorbed at semiconductor surfaces. Surf. Sci. 1983, 131, 328–346. [Google Scholar] [CrossRef]
- Wang, Y.; Ruan, W.; Zhang, J.; Yang, B.; Xu, W.; Zhao, B.; Lombardi, J.R. Direct observation of surface-enhanced Raman scattering in ZnO nanocrystals. J. Raman Spectrosc. 2009, 40, 1072–1077. [Google Scholar] [CrossRef]
- Liang, P.; Cao, Y.; Dong, Q.; Wang, D.; Zhang, D.; Jin, S.; Yu, Z.; Ye, J.; Zou, M. A balsam pear-shaped CuO SERS substrate with highly chemical enhancement for pesticide residue detection. Mikrochim. Acta 2020, 187, 335. [Google Scholar] [CrossRef]
- Cao, Y.; Liang, P.; Dong, Q.; Wang, D.; Zhang, D.; Tang, L.; Le, W.; Jin, S.; Ni, D.; Yu, Z. Facile Reduction Method Synthesis of Defective MoO2- x Nanospheres Used for SERS Detection with High Chemical Enhancement. Anal. Chem. 2019, 91, 8683–8690. [Google Scholar] [CrossRef] [PubMed]
- Zheng, Z.; Cong, S.; Gong, W.; Xuan, J.; Li, G.; Lu, W.; Geng, F.; Zhao, Z. Semiconductor SERS enhancement enabled by oxygen incorporation. Nat. Commun. 2017, 8, 1993. [Google Scholar] [CrossRef] [Green Version]
- Fu, X.; Bei, F.; Wang, X.; Yang, X.; Lu, L. Two-dimensional monolayers of single-crystalline α-Fe2O3 nanospheres: Preparation, characterization and SERS effect. Mater. Lett. 2009, 63, 185–187. [Google Scholar] [CrossRef]
- Han, Z.; Zuo, Y.; Ju, P.; Tang, Y.; Zhao, X.; Tang, J. The preparation and characteristics of a rare earth/nano-TiO2 composite coating on aluminum alloy by brush plating. Surf. Coat. Technol. 2012, 206, 3264–3269. [Google Scholar] [CrossRef]
- Chen, H.; Lee, S.W.; Kim, T.H.; Hur, B.Y. Photocatalytic decomposition of benzene with plasma sprayed TiO2-based coatings on foamed aluminum. J. Eur. Ceram. Soc. 2006, 26, 2231–2239. [Google Scholar] [CrossRef]
- Li, H.; Song, R.; Ji, Z. Effects of nano-additive TiO2 on performance of micro-arc oxidation coatings formed on 6063 aluminum alloy. Trans. Nonferrous Met. Soc. China 2013, 23, 406–411. [Google Scholar] [CrossRef]
- Liu, T.; Zhang, F.; Xue, C.; Li, L.; Yin, Y. Structure stability and corrosion resistance of nano-TiO2 coatings on aluminum in seawater by a vacuum dip-coating method. Surf. Coat. Technol. 2010, 205, 2335–2339. [Google Scholar] [CrossRef]
- Zalduendo, M.M.; Langer, J.; Giner-Casares, J.J.; Halac, E.B.; Soler-Illia, G.J.A.A.; Liz-Marzán, L.M.; Angelomé, P.C. Au Nanoparticles–Mesoporous TiO2 Thin Films Composites as SERS Sensors: A Systematic Performance Analysis. J. Phys. Chem. C 2018, 122, 13095–13105. [Google Scholar] [CrossRef] [Green Version]
- Chen, X.; Mao, S.S. Titanium dioxide nanomaterials: Synthesis, properties, modifications, and applications. Chem. Rev. 2007, 107, 2891–2959. [Google Scholar] [CrossRef]
- Dodoo-Arhin, D.; Buabeng, F.P.; Mwabora, J.M.; Amaniampong, P.N.; Agbe, H.; Nyankson, E.; Obada, D.O.; Asiedu, N.Y. The effect of titanium dioxide synthesis technique and its photocatalytic degradation of organic dye pollutants. Heliyon 2018, 4, e00681. [Google Scholar] [CrossRef] [PubMed] [Green Version]
- Buerger, P.; Nurkowski, D.; Akroyd, J.; Kraft, M. A kinetic mechanism for the thermal decomposition of titanium tetraisopropoxide. Proc. Combust. Inst. 2017, 36, 1019–1027. [Google Scholar] [CrossRef] [Green Version]
- Buerger, P.; Nurkowski, D.; Akroyd, J.; Mosbach, S.; Kraft, M. First-Principles Thermochemistry for the Thermal Decomposition of Titanium Tetraisopropoxide. J. Phys. Chem. A 2015, 119, 8376–8387. [Google Scholar] [CrossRef] [PubMed]
- Livage, J.; Henry, M.; Sanchez, C. Sol-gel chemistry of transition metal oxides. Prog. Solid State Chem. 1988, 18, 259–341. [Google Scholar] [CrossRef]
- Tian, Y.; Tatsuma, T. Mechanisms and Applications of Plasmon-Induced Charge Separation at TiO2 Films Loaded with Gold Nanoparticles. J. Am. Chem. Soc. 2005, 127, 7632–7637. [Google Scholar] [CrossRef] [PubMed]
- Kiyonaga, T.; Fujii, M.; Akita, T.; Kobayashi, H.; Tada, H. Size-dependence of Fermi energy of gold nanoparticles loaded on titanium(iv) dioxide at photostationary state. Phys. Chem. Chem. Phys. 2008, 10, 6553–6561. [Google Scholar] [CrossRef]
- Nakata, K.; Fujishima, A. TiO2 photocatalysis: Design and applications. J. Photochem. Photobiol. C Photochem. Rev. 2012, 13, 169–189. [Google Scholar] [CrossRef]
- Li, X.; Chen, G.; Yang, L.; Jin, Z.; Liu, J. Multifunctional Au-Coated TiO2 Nanotube Arrays as Recyclable SERS Substrates for Multifold Organic Pollutants Detection. Adv. Funct. Mater. 2010, 20, 2815–2824. [Google Scholar] [CrossRef]
- Kiran, V.; Sampath, S. Enhanced Raman spectroscopy of molecules adsorbed on carbon-doped TiO2 obtained from titanium carbide: A visible-light-assisted renewable substrate. ACS Appl. Mater. Interfaces 2012, 4, 3818–3828. [Google Scholar] [CrossRef] [PubMed]
- Wang, Y.; Li, M.; Wang, D.; Han, C.; Li, J.; Wu, C.; Xu, K. Fabrication of highly uniform Ag nanoparticle-TiO2 nanosheets array hybrid as reusable SERS substrates. Colloid Interface Sci. Commun. 2020, 39, 100324. [Google Scholar] [CrossRef]
- Kumar Dixit, C. Surface Regeneration of Gold-Coated Chip for Highly-Reproducible Surface Plasmon Resonance Immunoassays. J. Biosens. Bioelectron. 2014, 149, 1–5. [Google Scholar] [CrossRef]
- Jiang, L.; Wang, L.; Zhan, D.-S.; Jiang, W.-R.; Fodjo, E.K.; Hafez, M.E.; Zhang, Y.-M.; Zhao, H.; Qian, R.-C.; Li, D.-W. Electrochemically renewable SERS sensor: A new platform for the detection of metabolites involved in peroxide production. Biosens. Bioelectron. 2021, 175, 112918. [Google Scholar] [CrossRef]
- Lee, S.H.; Hoffman, D.M.; Jacobson, A.J.; Lee, T.R. Transparent, Homogeneous Tin Oxide (SnO2) Thin Films Containing SnO2 -Coated Gold Nanoparticles. Chem. Mater. 2013, 25, 4697–4702. [Google Scholar] [CrossRef]
- Zhou, N.; Polavarapu, L.; Wang, Q.; Xu, Q.-H. Mesoporous SnO2-coated metal nanoparticles with enhanced catalytic efficiency. ACS Appl. Mater. Interfaces 2015, 7, 4844–4850. [Google Scholar] [CrossRef]
- Jiang, X.; Zhang, L.; Wang, T.; Wan, Q. High surface-enhanced Raman scattering activity from Au-decorated individual and branched tin oxide nanowires. J. Appl. Phys. 2009, 106, 104316. [Google Scholar] [CrossRef]
- Kouba, K.; Proška, J.; Procházka, M. Gold Film over SiO2 Nanospheres-New Thermally Resistant Substrates for Surface-Enhanced Raman Scattering (SERS) Spectroscopy. Nanomaterials 2019, 9, 1426. [Google Scholar] [CrossRef] [Green Version]
- Ko, Y.C.; Fang, H.Y.; Chen, D.H. Fabrication of Ag/ZnO/reduced graphene oxide nanocomposite for SERS detection and multiway killing of bacteria. J. Alloys Compd. 2017, 695, 1145–1153. [Google Scholar] [CrossRef]
- Zhang, X.; Yu, Z.; Ji, W.; Sui, H.; Cong, Q.; Wang, X.; Zhao, B. Charge-Transfer Effect on Surface-Enhanced Raman Scattering (SERS) in an Ordered Ag NPs/4-Mercaptobenzoic Acid/TiO2 System. J. Phys. Chem. C 2015, 119, 22439–22444. [Google Scholar] [CrossRef]
- Batan, A.; Brusciotti, F.; de Graeve, I.; Vereecken, J.; Wenkin, M.; Piens, M.; Pireaux, J.J.; Reniers, F.; Terryn, H. Comparison between wet deposition and plasma deposition of silane coatings on aluminium. Prog. Org. Coat. 2010, 69, 126–132. [Google Scholar] [CrossRef]
- Bessekhouad, Y.; Robert, D.; Weber, J.V. Synthesis of photocatalytic TiO2 nanoparticles: Optimization of the preparation conditions. J. Photochem. Photobiol. A Chem. 2003, 157, 47–53. [Google Scholar] [CrossRef]
- Narabe, T.; Hagiwara, M.; Fujihara, S. A biphasic sol–gel route to synthesize anatase TiO2 particles under controlled conditions and their DSSC application. J. Asian Ceram. Soc. 2017, 5, 427–435. [Google Scholar] [CrossRef] [Green Version]
- Fajriati, I.; Mudasir, M.; Wahyuni, E.T. The Effect of pH and Aging Time on the Synthesis of TiO2–Chitosan Nanocomposites as Photocatalyst by Sol-Gel Method at Room Temperature. Molekul 2017, 12, 117. [Google Scholar] [CrossRef] [Green Version]
- Hanaor, D.A.H.; Chironi, I.; Karatchevtseva, I.; Triani, G.; Sorrell, C.C. Single and mixed phase TiO2 powders prepared by excess hydrolysis of titanium alkoxide. Adv. Appl. Ceram. 2012, 111, 149–158. [Google Scholar] [CrossRef] [Green Version]
- Alsharaeh, E.H.; Bora, T.; Soliman, A.; Ahmed, F.; Bharath, G.; Ghoniem, M.G.; Abu-Salah, K.M.; Dutta, J. Sol-Gel-Assisted Microwave-Derived Synthesis of Anatase Ag/TiO2/GO Nanohybrids toward Efficient Visible Light Phenol Degradation. Catalysts 2017, 7, 133. [Google Scholar] [CrossRef]
- An, H.-J.; Jang, S.-R.; Vittal, R.; Lee, J.; Kim, K.-J. Cationic surfactant promoted reductive electrodeposition of nanocrystalline anatase TiO2 for application to dye-sensitized solar cells. Electrochim. Acta 2005, 50, 2713–2718. [Google Scholar] [CrossRef]
- Hanaor, D.A.H.; Sorrell, C.C. Review of the anatase to rutile phase transformation. J. Mater. Sci 2011, 46, 855–874. [Google Scholar] [CrossRef] [Green Version]
- Petersen, M.; Yu, Z.; Lu, X. Application of Raman Spectroscopic Methods in Food Safety: A Review. Biosensors 2021, 11, 187. [Google Scholar] [CrossRef] [PubMed]









| Treatment | Water Contact Angle [°] |
|---|---|
| Untreated aluminium | 89 ± 6 |
| Plasma treated aluminium | 23 ± 8 |
| Plasma treated, calcinated TiO2 | 6 ± 3 |
Publisher’s Note: MDPI stays neutral with regard to jurisdictional claims in published maps and institutional affiliations. |
© 2022 by the authors. Licensee MDPI, Basel, Switzerland. This article is an open access article distributed under the terms and conditions of the Creative Commons Attribution (CC BY) license (https://creativecommons.org/licenses/by/4.0/).
Share and Cite
Breuch, R.; Klein, D.; Moers, C.; Siefke, E.; Wickleder, C.; Kaul, P. Development of Gold Nanoparticle-Based SERS Substrates on TiO2-Coating to Reduce the Coffee Ring Effect. Nanomaterials 2022, 12, 860. https://doi.org/10.3390/nano12050860
Breuch R, Klein D, Moers C, Siefke E, Wickleder C, Kaul P. Development of Gold Nanoparticle-Based SERS Substrates on TiO2-Coating to Reduce the Coffee Ring Effect. Nanomaterials. 2022; 12(5):860. https://doi.org/10.3390/nano12050860
Chicago/Turabian StyleBreuch, René, Daniel Klein, Cassandra Moers, Eleni Siefke, Claudia Wickleder, and Peter Kaul. 2022. "Development of Gold Nanoparticle-Based SERS Substrates on TiO2-Coating to Reduce the Coffee Ring Effect" Nanomaterials 12, no. 5: 860. https://doi.org/10.3390/nano12050860
APA StyleBreuch, R., Klein, D., Moers, C., Siefke, E., Wickleder, C., & Kaul, P. (2022). Development of Gold Nanoparticle-Based SERS Substrates on TiO2-Coating to Reduce the Coffee Ring Effect. Nanomaterials, 12(5), 860. https://doi.org/10.3390/nano12050860

