Detection and Characterization of TiO2 Nanomaterials in Sludge from Wastewater Treatment Plants of Chihuahua State, Mexico
Abstract
:1. Introduction
1.1. NanoTiO2
1.2. TiO2-NPs Release to the Environment
1.3. Fate of TiO2-NPs in WWTPs Sludge
1.4. Potential Risks of TiO2-NPs
2. Materials and Methods
2.1. Sampling and Sample Preparation
2.2. Bulk Analysis
2.3. Microscopy Analyses
2.4. Statistical Analysis
3. Results
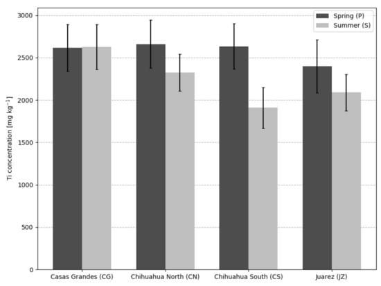
3.1. Bulk X-ray Analyses
3.2. Microscopy Analysis
4. Discussion
5. Conclusions and Future Perspectives
Author Contributions
Funding
Data Availability Statement
Acknowledgments
Conflicts of Interest
Appendix A
| Authors [Reference] | WWTP Sites | Sample Preparations | Analytical Techniques |
|---|---|---|---|
| Choi et al. [31] | Maryland, US | Acid digestion | ICP, SEM/EDX |
| Kim et al. [26] | Midwest and West regions of the US | Various extraction Methods | ICP-AES, SEM, STEM, TEM, nanobeam electron diffraction |
| Kiser et al. [18] | Central Arizona, US | Acid digestion | ICP-OES, SEM/EDX |
| Polesel et al. [30] | Trondheim, Norway | Fractionation method (Acid digestion) | ICP-MS, STEM |
| Shi et al. [28] | Shijiazhuang, Hebei Province, China | Acid digestion | ICP-MS, TEM/EDS, XPS |
| Tong et al. [27] | Skokie, IL, US | Drying and muffle furnace-induced alkaline hydrolysis | ICP-OES, Bulk Ti K-edge XANES |
| Tou et al. [29] | Shanghai, China | Acid digestion, sequential extraction procedure | SP-ICP-MS, LD-PSA, SEM, TEM/EDS |
| Wielinski et al. [32] | Wallisellen, Switzerland | Drying sludge | Bulk Ti K-edge XANES, XRD, TEM/EDS |
| This study | Chihuahua State, Mexico | Drying and water extraction. Dilution of suspended material for TEM | XRF, HR-XRD, microXRD, Bulk Ti K-edge XANES, microXANES, nanoXRF, TEM/EDS |
- ICP: Inductively Coupled Plasma, SP: Single Particle, MS: Mass Spectrometry, OES: Optical Emission Spectroscopy.
- SEM: Scanning Electron Microscopy, EDX (EDS): Energy-dispersive X-ray Spectrometry, TEM: Transmission Electron Microscopy, STEM: Scanning Transmission Electron Microscopy.
- XPS: X-ray photoelectron spectroscopy, XRF: X-ray Fluorescence Spectroscopy, XANES: X-ray Absorption Near-Edge Spectroscopy, XRD: X-ray Diffraction.
- LD-PSA: Laser Diffraction Particle Size Analyzer.





Appendix B

References
- Keller, A.A.; Lazareva, A. Predicted Releases of Engineered Nanomaterials: From Global to Regional to Local. Environ. Sci. Technol. Lett. 2014, 1, 65–70. [Google Scholar] [CrossRef] [Green Version]
- Stark, W.J.; Stoessel, P.R.; Wohlleben, W.; Hafner, A. Industrial Applications of Nanoparticles. Chem. Soc. Rev. 2015, 44, 5793–5805. [Google Scholar] [CrossRef] [Green Version]
- Vance, M.E.; Kuiken, T.; Vejerano, E.P.; McGinnis, S.P.; Hochella, M.F.; Rejeski, D.; Hull, M.S. Nanotechnology in the Real World: Redeveloping the Nanomaterial Consumer Products Inventory. Beilstein J. Nanotechnol. 2015, 6, 1769–1780. [Google Scholar] [CrossRef] [Green Version]
- Keller, A.A.; McFerran, S.; Lazareva, A.; Suh, S. Global Life Cycle Releases of Engineered Nanomaterials. J. Nanoparticle Res. 2013, 15, 1692. [Google Scholar] [CrossRef]
- Robichaud, C.O.; Uyar, A.E.; Darby, M.R.; Zucker, L.G.; Wiesner, M.R. Estimates of Upper Bounds and Trends in Nano-TiO2 Production as a Basis for Exposure Assessment. Environ. Sci. Technol. 2009, 43, 4227–4233. [Google Scholar] [CrossRef] [Green Version]
- Weir, A.; Westerhoff, P.; Fabricius, L.; Hristovski, K.; von Goetz, N. Titanium Dioxide Nanoparticles in Food and Personal Care Products. Environ. Sci. Technol. 2012, 46, 2242–2250. [Google Scholar] [CrossRef] [Green Version]
- Baranowska-Wójcik, E.; Szwajgier, D.; Oleszczuk, P.; Winiarska-Mieczan, A. Effects of Titanium Dioxide Nanoparticles Exposure on Human Health—A Review. Biol. Trace Elem. Res. 2019, 193, 118–129. [Google Scholar] [CrossRef] [Green Version]
- Bai, Y.; Mora-Seró, I.; De Angelis, F.; Bisquert, J.; Wang, P. Titanium Dioxide Nanomaterials for Photovoltaic Applications. Chem. Rev. 2014, 114, 10095–10130. [Google Scholar] [CrossRef]
- Kang, X.; Liu, S.; Dai, Z.; He, Y.; Song, X.; Tan, Z. Titanium Dioxide: From Engineering to Applications. Catalysts 2019, 9, 191. [Google Scholar] [CrossRef] [Green Version]
- Bogdan, J.; Jackowska-Tracz, A.; Zarzyńska, J.; Pławińska-Czarnak, J. Chances and Limitations of Nanosized Titanium Dioxide Practical Application in View of Its Physicochemical Properties. Nanoscale Res. Lett. 2015, 10, 57. [Google Scholar] [CrossRef] [Green Version]
- Dwivedi, A.D.; Dubey, S.P.; Sillanpää, M.; Kwon, Y.-N.; Lee, C.; Varma, R.S. Fate of Engineered Nanoparticles: Implications in the Environment. Coord. Chem. Rev. 2015, 287, 64–78. [Google Scholar] [CrossRef]
- Bundschuh, M.; Filser, J.; Lüderwald, S.; McKee, M.S.; Metreveli, G.; Schaumann, G.E.; Schulz, R.; Wagner, S. Nanoparticles in the Environment: Where Do We Come from, Where Do We Go To? Environ. Sci. Eur. 2018, 30, 6. [Google Scholar] [CrossRef] [PubMed] [Green Version]
- Vijayaraj, V.; Liné, C.; Cadarsi, S.; Salvagnac, C.; Baqué, D.; Elger, A.; Barret, M.; Mouchet, F.; Larue, C. Transfer and Ecotoxicity of Titanium Dioxide Nanoparticles in Terrestrial and Aquatic Ecosystems: A Microcosm Study. Environ. Sci. Technol. 2018, 52, 12757–12764. [Google Scholar] [CrossRef]
- Sun, T.Y.; Conroy, G.; Donner, E.; Hungerbühler, K.; Lombi, E.; Nowack, B. Probabilistic Modelling of Engineered Nanomaterial Emissions to the Environment: A Spatio-Temporal Approach. Environ. Sci. Nano 2015, 2, 340–351. [Google Scholar] [CrossRef]
- Sun, T.Y.; Bornhöft, N.A.; Hungerbühler, K.; Nowack, B. Dynamic Probabilistic Modeling of Environmental Emissions of Engineered Nanomaterials. Environ. Sci. Technol. 2016, 50, 4701–4711. [Google Scholar] [CrossRef] [PubMed]
- Song, R.; Qin, Y.; Suh, S.; Keller, A.A. Dynamic Model for the Stocks and Release Flows of Engineered Nanomaterials. Environ. Sci. Technol. 2017, 51, 12424–12433. [Google Scholar] [CrossRef] [Green Version]
- Sun, T.Y. Comprehensive Probabilistic Modelling of Environmental Emissions of Engineered Nanomaterials. Environ. Pollut. 2014, 8, 69–76. [Google Scholar]
- Kiser, M.A.; Westerhoff, P.; Benn, T.; Wang, Y.; Pérez-Rivera, J.; Hristovski, K. Titanium Nanomaterial Removal and Release from Wastewater Treatment Plants. Environ. Sci. Technol. 2009, 43, 6757–6763. [Google Scholar] [CrossRef]
- Parker, N.; Keller, A.A. Variation in Regional Risk of Engineered Nanoparticles: NanoTiO2 as a Case Study. Environ. Sci. Nano 2019, 6, 444–455. [Google Scholar] [CrossRef]
- OECD. Environment at a Glance 2015: OECD Indicators; OECD: Paris, France, 2015; ISBN 978-92-64-23518-2. [Google Scholar]
- Westerhoff, P.K.; Kiser, M.A.; Hristovski, K. Nanomaterial Removal and Transformation During Biological Wastewater Treatment. Environ. Eng. Sci. 2013, 30, 109–117. [Google Scholar] [CrossRef]
- Cervantes-Avilés, P.; Ida, J.; Toda, T.; Cuevas-Rodríguez, G. Effects and Fate of TiO2 Nanoparticles in the Anaerobic Treatment of Wastewater and Waste Sludge. J. Environ. Manag. 2018, 222, 227–233. [Google Scholar] [CrossRef]
- Cervantes-Avilés, P.; Camarillo Piñas, N.; Ida, J.; Cuevas-Rodríguez, G. Influence of Wastewater Type on the Impact Generated by TiO2 Nanoparticles on the Oxygen Uptake Rate in Activated Sludge Process. J. Environ. Manag. 2017, 190, 35–44. [Google Scholar] [CrossRef]
- Pradas del Real, A.E.; Castillo-Michel, H.; Kaegi, R.; Larue, C.; de Nolf, W.; Reyes-Herrera, J.; Tucoulou, R.; Findling, N.; Salas-Colera, E.; Sarret, G. Searching for Relevant Criteria to Distinguish Natural vs. Anthropogenic TiO2 Nanoparticles in Soils. Environ. Sci. Nano 2018, 5, 2853–2863. [Google Scholar] [CrossRef] [Green Version]
- Westerhoff, P.; Song, G.; Hristovski, K.; Kiser, M.A. Occurrence and Removal of Titanium at Full Scale Wastewater Treatment Plants: Implications for TiO2 Nanomaterials. J. Environ. Monit. 2011, 13, 1195. [Google Scholar] [CrossRef]
- Kim, B.; Murayama, M.; Colman, B.P.; Hochella, M.F. Characterization and Environmental Implications of Nano- and Larger TiO2 Particles in Sewage Sludge, and Soils Amended with Sewage Sludge. J. Environ. Monit. 2012, 14, 1129. [Google Scholar] [CrossRef]
- Tong, T.; Hill, A.N.; Alsina, M.A.; Wu, J.; Shang, K.Y.; Kelly, J.J.; Gray, K.A.; Gaillard, J.-F. Spectroscopic Characterization of TiO2 Polymorphs in Wastewater Treatment and Sediment Samples. Environ. Sci. Technol. Lett. 2015, 2, 12–18. [Google Scholar] [CrossRef]
- Shi, X.; Li, Z.; Chen, W.; Qiang, L.; Xia, J.; Chen, M.; Zhu, L.; Alvarez, P.J.J. Fate of TiO2 Nanoparticles Entering Sewage Treatment Plants and Bioaccumulation in Fish in the Receiving Streams. NanoImpact 2016, 3, 96–103. [Google Scholar] [CrossRef]
- Tou, F.; Yang, Y.; Feng, J.; Niu, Z.; Pan, H.; Qin, Y.; Guo, X.; Meng, X.; Liu, M.; Hochella, M.F. Environmental Risk Implications of Metals in Sludges from Waste Water Treatment Plants: The Discovery of Vast Stores of Metal-Containing Nanoparticles. Environ. Sci. Technol. 2017, 51, 4831–4840. [Google Scholar] [CrossRef]
- Polesel, F.; Farkas, J.; Kjos, M.; Almeida Carvalho, P.; Flores-Alsina, X.; Gernaey, K.V.; Hansen, S.F.; Plósz, B.G.; Booth, A.M. Occurrence, Characterisation and Fate of (Nano)Particulate Ti and Ag in Two Norwegian Wastewater Treatment Plants. Water Res. 2018, 141, 19–31. [Google Scholar] [CrossRef] [Green Version]
- Choi, S.; Johnston, M.; Wang, G.-S.; Huang, C.P. A Seasonal Observation on the Distribution of Engineered Nanoparticles in Municipal Wastewater Treatment Systems Exemplified by TiO2 and ZnO. Sci. Total Environ. 2018, 625, 1321–1329. [Google Scholar] [CrossRef]
- Wielinski, J.; Voegelin, A.; Grobéty, B.; Müller, C.R.; Morgenroth, E.; Kaegi, R. Transformation of TiO2 (Nano)Particles during Sewage Sludge Incineration. J. Hazard. Mater. 2021, 411, 124932. [Google Scholar] [CrossRef] [PubMed]
- Lamastra, L.; Suciu, N.A.; Trevisan, M. Sewage Sludge for Sustainable Agriculture: Contaminants’ Contents and Potential Use as Fertilizer. Chem. Biol. Technol. Agric. 2018, 5, 10. [Google Scholar] [CrossRef]
- Seiple, T.E.; Coleman, A.M.; Skaggs, R.L. Municipal Wastewater Sludge as a Sustainable Bioresource in the United States. J. Environ. Manag. 2017, 197, 673–680. [Google Scholar] [CrossRef] [PubMed]
- Usman, K.; Khan, S.; Ghulam, S.; Khan, M.U.; Khan, N.; Khan, M.A.; Khalil, S.K. Sewage Sludge: An Important Biological Resource for Sustainable Agriculture and Its Environmental Implications. Am. J. Plant Sci. 2012, 03, 1708–1721. [Google Scholar] [CrossRef] [Green Version]
- Milieu Ltd.; WRc; Risk and Policy Analysts Ltd (RPA). Environmental, Economic and Social Impacts of the Use of Sewage Sludge on Land; Milieu Ltd.: Brussels, Belgium, 2010; p. 266. [Google Scholar]
- USEPA. Biosolids Technology Fact Sheet Land Application of Biosolids; USEPA: Washington, DC, USA, 2000. [Google Scholar]
- Scotti, R.; Bonanomi, G.; Scelza, R.; Zoina, A.; Rao, M.A. Organic Amendments as Sustainable Tool to Recovery Fertility in Intensive Agricultural Systems. J. Soil Sci. Plant Nutr. 2015, 15, 333–352. [Google Scholar] [CrossRef] [Green Version]
- SEMARNAT. Official Mexican Norm NOM-004-SEMARNAT-2002, Environmental Protection—Sludge and Biosolids—Specifications and Maximum Permissible Limits of Pollutants for Their Use and Final Disposal; SEMARNAT-Official Journal of the Federation: Mexico City, Mexico, 2003. (In Spanish) [Google Scholar]
- Collivignarelli, M.; Abbà, A.; Frattarola, A.; Carnevale Miino, M.; Padovani, S.; Katsoyiannis, I.; Torretta, V. Legislation for the Reuse of Biosolids on Agricultural Land in Europe: Overview. Sustainability 2019, 11, 6015. [Google Scholar] [CrossRef] [Green Version]
- LeBlanc, R.J.; Matthews, P.; Richard, R.P. (Eds.) Global Atlas of Excreta, Wastewater Sludge, and Biosolids Management: Moving Forward the Sustainable and Welcome Uses of a Global Resource; United Nations Human Settlements Programme: Nairobi, Kenya, 2008; ISBN 978-92-1-132009-1. [Google Scholar]
- Schaumann, G.E.; Philippe, A.; Bundschuh, M.; Metreveli, G.; Klitzke, S.; Rakcheev, D.; Grün, A.; Kumahor, S.K.; Kühn, M.; Baumann, T.; et al. Understanding the Fate and Biological Effects of Ag- and TiO2-Nanoparticles in the Environment: The Quest for Advanced Analytics and Interdisciplinary Concepts. Sci. Total Environ. 2015, 535, 3–19. [Google Scholar] [CrossRef]
- U.S. Department of Health and Human Services; Public Health Service; Centers for Disease Control and Prevention; National Institute for Occupational Safety and Health. Current Intelligence Bulletin 63: Occupational Exposure to Titanium Dioxide; DHHS-NIOSH: Cincinnati, OH, USA, 2011. [Google Scholar]
- Simonin, M.; Richaume, A.; Guyonnet, J.P.; Dubost, A.; Martins, J.M.F.; Pommier, T. Titanium Dioxide Nanoparticles Strongly Impact Soil Microbial Function by Affecting Archaeal Nitrifiers. Sci. Rep. 2016, 6, 33643. [Google Scholar] [CrossRef]
- Moll, J.; Klingenfuss, F.; Widmer, F.; Gogos, A.; Bucheli, T.D.; Hartmann, M.; van der Heijden, M.G.A. Effects of Titanium Dioxide Nanoparticles on Soil Microbial Communities and Wheat Biomass. Soil Biol. Biochem. 2017, 111, 85–93. [Google Scholar] [CrossRef]
- Timmusk, S.; Seisenbaeva, G.; Behers, L. Titania (TiO2) Nanoparticles Enhance the Performance of Growth-Promoting Rhizobacteria. Sci. Rep. 2018, 8, 617. [Google Scholar] [CrossRef]
- Servin, A.D.; Morales, M.I.; Castillo-Michel, H.; Hernandez-Viezcas, J.A.; Munoz, B.; Zhao, L.; Nunez, J.E.; Peralta-Videa, J.R.; Gardea-Torresdey, J.L. Synchrotron Verification of TiO2 Accumulation in Cucumber Fruit: A Possible Pathway of TiO2 Nanoparticle Transfer from Soil into the Food Chain. Environ. Sci. Technol. 2013, 47, 11592–11598. [Google Scholar] [CrossRef] [PubMed]
- Giorgetti, L.; Spanò, C.; Muccifora, S.; Bellani, L.; Tassi, E.; Bottega, S.; Di Gregorio, S.; Siracusa, G.; Sanità di Toppi, L.; Ruffini Castiglione, M. An Integrated Approach to Highlight Biological Responses of Pisum Sativum Root to Nano-TiO2 Exposure in a Biosolid-Amended Agricultural Soil. Sci. Total Environ. 2019, 650, 2705–2716. [Google Scholar] [CrossRef] [PubMed]
- Bakshi, M.; Liné, C.; Bedolla, D.E.; Stein, R.J.; Kaegi, R.; Sarret, G.; Pradas del Real, A.E.; Castillo-Michel, H.; Abhilash, P.C.; Larue, C. Assessing the Impacts of Sewage Sludge Amendment Containing Nano-TiO2 on Tomato Plants: A Life Cycle Study. J. Hazard. Mater. 2019, 369, 191–198. [Google Scholar] [CrossRef] [PubMed]
- Shi, H.; Magaye, R.; Castranova, V.; Zhao, J. Titanium Dioxide Nanoparticles: A Review of Current Toxicological Data. Part. Fibre Toxicol. 2013, 10, 15. [Google Scholar] [CrossRef] [PubMed] [Green Version]
- Uboldi, C.; Urbán, P.; Gilliland, D.; Bajak, E.; Valsami-Jones, E.; Ponti, J.; Rossi, F. Role of the Crystalline Form of Titanium Dioxide Nanoparticles: Rutile, and Not Anatase, Induces Toxic Effects in Balb/3T3 Mouse Fibroblasts. Toxicol. In Vitro 2016, 31, 137–145. [Google Scholar] [CrossRef]
- De Matteis, V.; Cascione, M.; Brunetti, V.; Toma, C.C.; Rinaldi, R. Toxicity Assessment of Anatase and Rutile Titanium Dioxide Nanoparticles: The Role of Degradation in Different PH Conditions and Light Exposure. Toxicol. In Vitro 2016, 37, 201–210. [Google Scholar] [CrossRef]
- Yu, Q.; Wang, H.; Peng, Q.; Li, Y.; Liu, Z.; Li, M. Different Toxicity of Anatase and Rutile TiO2 Nanoparticles on Macrophages: Involvement of Difference in Affinity to Proteins and Phospholipids. J. Hazard. Mater. 2017, 335, 125–134. [Google Scholar] [CrossRef]
- CONAGUA. National Inventory of Municipal Drinking and Wastewater Treatment Plants in Operation; CONAGUA: Coyoacán, Mexico, 2019. (In Spanish) [Google Scholar]
- NADB. Certification and Financing Proposal for the Rehabilitation/Modernization of the Wastewater Treatment Plants in Chihuahua, Chihuahua; North American Development Bank: San Antonio, TX, USA, 2019. (In Spanish) [Google Scholar]
- JMAS. Technical Report of Environmental Audit Results; JMAS: Juarez, Chihuahua, 2016; Available online: http://www.congresochihuahua2.gob.mx/biblioteca/dictamenes/archivosDictamenes/7283.pdf (accessed on 21 February 2022). (In Spanish)
- Kovačec, E.; Regvar, M.; van Elteren, J.T.; Arčon, I.; Papp, T.; Makovec, D.; Vogel-Mikuš, K. Biotransformation of Copper Oxide Nanoparticles by the Pathogenic Fungus Botrytis Cinerea. Chemosphere 2017, 180, 178–185. [Google Scholar] [CrossRef] [Green Version]
- Nečemer, M.; Kump, P.; Ščančar, J.; Jaćimović, R.; Simčič, J.; Pelicon, P.; Budnar, M.; Jeran, Z.; Pongrac, P.; Regvar, M.; et al. Application of X-Ray Fluorescence Analytical Techniques in Phytoremediation and Plant Biology Studies. Spectrochim. Acta Part B At. Spectrosc. 2008, 63, 1240–1247. [Google Scholar] [CrossRef]
- Hodeau, J.-L.; Bordet, P.; Anne, M.; Prat, A.; Fitch, A.N.; Dooryhee, E.; Vaughan, G.; Freund, A.K. Nine-Crystal Multianalyzer Stage for High-Resolution Powder Diffraction between 6 KeV and 40 KeV. In Crystal and Multilayer Optics; Macrander, A.T., Freund, A.K., Ishikawa, T., Mills, D.M., Eds.; International Society for Optics and Photonics: Bellingham, WA, USA, 1998; p. 353. [Google Scholar]
- Cotte, M.; Pouyet, E.; Salomé, M.; Rivard, C.; De Nolf, W.; Castillo-Michel, H.; Fabris, T.; Monico, L.; Janssens, K.; Wang, T.; et al. The ID21 X-Ray and Infrared Microscopy Beamline at the ESRF: Status and Recent Applications to Artistic Materials. J. Anal. At. Spectrom. 2017, 32, 477–493. [Google Scholar] [CrossRef]
- Castillo-Michel, H.A.; Larue, C.; Pradas del Real, A.E.; Cotte, M.; Sarret, G. Practical Review on the Use of Synchrotron Based Micro- and Nano- X-Ray Fluorescence Mapping and X-Ray Absorption Spectroscopy to Investigate the Interactions between Plants and Engineered Nanomaterials. Plant Physiol. Biochem. 2017, 110, 13–32. [Google Scholar] [CrossRef] [PubMed]
- Marstal, K.; Berendsen, F.; Staring, M.; Klein, S. SimpleElastix: A User-Friendly, Multi-Lingual Library for Medical Image Registration. In Proceedings of the 2016 IEEE Conference on Computer Vision and Pattern Recognition Workshops (CVPRW), Las Vegas, NV, USA, 26 June–1 July 2016; pp. 574–582. [Google Scholar]
- Solé, V.A.; Papillon, E.; Cotte, M.; Walter, P.; Susini, J. A Multiplatform Code for the Analysis of Energy-Dispersive X-Ray Fluorescence Spectra. Spectrochim. Acta Part B At. Spectrosc. 2007, 62, 63–68. [Google Scholar] [CrossRef]
- Martínez-Criado, G.; Villanova, J.; Tucoulou, R.; Salomon, D.; Suuronen, J.-P.; Labouré, S.; Guilloud, C.; Valls, V.; Barrett, R.; Gagliardini, E.; et al. ID16B: A Hard X-Ray Nanoprobe Beamline at the ESRF for Nano-Analysis. J. Synchrotron Radiat. 2016, 23, 344–352. [Google Scholar] [CrossRef] [PubMed] [Green Version]
- Demsar, J.; Curk, T.; Erjavec, A.; Demsar, J.; Curk, T.; Erjave, A.; Gorup, C.; Hocevar, T.; Milutinovic, M.; Mozina, M.; et al. Orange: Data Mining Toolbox in Python. J. Mach. Learn. Res. 2013, 14, 5. [Google Scholar]
- Toplak, M.; Birarda, G.; Read, S.; Sandt, C.; Rosendahl, S.M.; Vaccari, L.; Demšar, J.; Borondics, F. Infrared Orange: Connecting Hyperspectral Data with Machine Learning. Synchrotron Radiat. News 2017, 30, 40–45. [Google Scholar] [CrossRef]
- Ravel, B.; Newville, M. ATHENA, ARTEMIS, HEPHAESTUS: Data Analysis for X-Ray Absorption Spectroscopy Using IFEFFIT. J. Synchrotron Radiat. 2005, 12, 537–541. [Google Scholar] [CrossRef] [Green Version]
- Johnson, A.C.; Bowes, M.J.; Crossley, A.; Jarvie, H.P.; Jurkschat, K.; Jürgens, M.D.; Lawlor, A.J.; Park, B.; Rowland, P.; Spurgeon, D.; et al. An Assessment of the Fate, Behaviour and Environmental Risk Associated with Sunscreen TiO2 Nanoparticles in UK Field Scenarios. Sci. Total Environ. 2011, 409, 2503–2510. [Google Scholar] [CrossRef]
- Khosravi, K.; Hoque, M.E.; Dimock, B.; Hintelmann, H.; Metcalfe, C.D. A Novel Approach for Determining Total Titanium from Titanium Dioxide Nanoparticles Suspended in Water and Biosolids by Digestion with Ammonium Persulfate. Anal. Chim. Acta 2012, 713, 86–91. [Google Scholar] [CrossRef]
- Koningsberger, D.C.; Prins, R. (Eds.) X-ray Absorption: Principles, Applications, Techniques of EXAFS, SEXAFS, and XANES; Wiley: New York, NY, USA, 1988; ISBN 978-0-471-87547-5. [Google Scholar]
- Niltharach, A.; Kityakarn, S.; Worayingyong, A.; Thienprasert, J.T.-; Klysubun, W.; Songsiriritthigul, P.; Limpijumnong, S. Structural Characterizations of Sol–Gel Synthesized TiO2 and Ce/TiO2 Nanostructures. Phys. B Condens. Matter 2012, 407, 2915–2918. [Google Scholar] [CrossRef]
- Zheng, Y.; Nowack, B. Size-Specific, Dynamic, Probabilistic Material Flow Analysis of Titanium Dioxide Releases into the Environment. Environ. Sci. Technol. 2021, 55, 2392–2402. [Google Scholar] [CrossRef]
- Pachapur, V.L.; Dalila Larios, A.; Cledón, M.; Brar, S.K.; Verma, M.; Surampalli, R.Y. Behavior and Characterization of Titanium Dioxide and Silver Nanoparticles in Soils. Sci. Total Environ. 2016, 563–564, 933–943. [Google Scholar] [CrossRef] [PubMed]
- Philippe, A.; Campos, D.; Guigner, J.-M.; Buchmann, C.; Diehl, D.; Schaumann, G. Characterization of the Natural Colloidal TiO2 Background in Soil. Separations 2018, 5, 50. [Google Scholar] [CrossRef] [Green Version]
- Nickel, C.; Hellack, B.; Gartiser, S.; Flach, F.; Schiwy, A.; Maes, H.; Schäffer, A.; Gabsch, S.; Stintz, M.; Erdinger, L.; et al. Fate and Behaviour of TiO2 Nanomaterials in the Environment, Influenced by Their Shape, Size and Surface Area; Umweltbundesamt: Dessau-Roßlau, Germany, 2012. [Google Scholar]
- Fitzpatrick, R.W.; Chittleborough, D.J. Titanium and Zirconium Minerals. In SSSA Book Series; Dixon, J.B., Schulze, D.G., Eds.; Soil Science Society of America: Madison, WI, USA, 2018; pp. 667–690. ISBN 978-0-89118-891-9. [Google Scholar]
- Zheng, X.; Chen, Y.; Wu, R. Long-Term Effects of Titanium Dioxide Nanoparticles on Nitrogen and Phosphorus Removal from Wastewater and Bacterial Community Shift in Activated Sludge. Environ. Sci. Technol. 2011, 45, 7284–7290. [Google Scholar] [CrossRef] [PubMed]
- Li, K.; Qian, J.; Wang, P.; Wang, C.; Fan, X.; Lu, B.; Tian, X.; Jin, W.; He, X.; Guo, W. Toxicity of Three Crystalline TiO2 Nanoparticles in Activated Sludge: Bacterial Cell Death Modes Differentially Weaken Sludge Dewaterability. Environ. Sci. Technol. 2019, 53, 4542–4555. [Google Scholar] [CrossRef] [PubMed]
- Musial, J.; Krakowiak, R.; Mlynarczyk, D.T.; Goslinski, T.; Stanisz, B.J. Titanium Dioxide Nanoparticles in Food and Personal Care Products—What Do We Know about Their Safety? Nanomaterials 2020, 10, 1110. [Google Scholar] [CrossRef]
- Riekel, C.; Burghammer, M.; Davies, R. Progress in Micro- and Nano-Diffraction at the ESRF ID13 Beamline. IOP Conf. Ser. Mater. Sci. Eng. 2010, 14, 012013. [Google Scholar] [CrossRef]









| Element | CGP | CGS | CNP | CNS | CSP | CSS | JZP | JZS |
|---|---|---|---|---|---|---|---|---|
| Ti | 2615 | 2625 | 2660 | 2325 | 2635 | 1910 | 2400 | 2090 |
| Si | 50,100 | 74,200 | 22,650 | 18,950 | 28,750 | 15,050 | 48,050 | 20,100 |
| S | 4370 | 3170 | 6190 | 3960 | 4850 | 3890 | 8665 | 25,200 |
| Cl | 1215 | 1130 | 1340 | 970 | 1395 | 873 | 1215 | 836 |
| P | 8450 | 1925 | 15,350 | 17,600 | 11,250 | 9275 | 13,750 | 14,750 |
| K | 6530 | 9840 | 2815 | 2310 | 2715 | 1500 | 3445 | 1065 |
| Ca | 23,850 | 18,000 | 41,700 | 35,700 | 39,150 | 24,300 | 56,400 | 38,950 |
| Mn | 158 | 216 | 143 | 115 | 144 | 98 | 176 | 150 |
| Fe | 13,350 | 17,050 | 7820 | 6095 | 7605 | 5095 | 25,300 | 22,250 |
| Br | 33 | 23 | 41 | 34 | 36 | 40 | 30 | 36 |
| Ni | 20 | 15 | 60 | 71 | 26 | 25 | 24 | 22 |
| Cr | 16 | 22 | 44 | 51 | 40 | 32 | 92 | 61 |
| Cu | 172 | 128 | 270 | 268 | 371 | 228 | 325 | 362 |
| Zn | 1135 | 741 | 1525 | 1405 | 1300 | 1017 | 2230 | 2365 |
| Pb | 165 | 114 | 141 | 114 | 147 | 126 | 132 | 123 |
| Rb | 62 | 72 | 24 | 20 | 31 | 20 | 32 | 19 |
| Sr | 190 | 144 | 333 | 277 | 214 | 157 | 495 | 503 |
| Zr | 192 | 206 | 192 | 156 | 179 | 156 | 180 | 188 |
| Reference | WWTP Sites | Ti Concentration [mg/kg] |
|---|---|---|
| Choi et al. [31] | Maryland, US | 1200 to 4670 |
| Johnson et al. [68] | Southern region, England | 370 to 670 |
| Khosravi et al. [69] | Peterborough, Canada | 320 |
| Kim et al. [26] | Midwest and West regions of the USA | 960 to 4510 |
| Kiser et al. [18] | Central Arizona, USA | 1100 |
| Polesel et al. [30] | Trondheim, Norway | 700 |
| Shi et al. [28] | Shijiazhuang, Hebei Province, China | 1360 |
| Tong et al. [27] | Skokie, IL, USA | 1700 |
| Tou et al. [29] | Shanghai, China | 33 to 2700 |
| Wielinski et al. [32] | Wallisellen, Switzerland | 1000 to 1800 |
| This study | Chihuahua State, Mexico | 1900 to 2600 |
Publisher’s Note: MDPI stays neutral with regard to jurisdictional claims in published maps and institutional affiliations. |
© 2022 by the authors. Licensee MDPI, Basel, Switzerland. This article is an open access article distributed under the terms and conditions of the Creative Commons Attribution (CC BY) license (https://creativecommons.org/licenses/by/4.0/).
Share and Cite
Reyes-Herrera, J.; Acosta-Slane, D.; Castillo-Michel, H.; Pradas del Real, A.E.; Vogel-Mikus, K.; Benetti, F.; Roman, M.; Villanova, J.; Valles-Aragón, M.C. Detection and Characterization of TiO2 Nanomaterials in Sludge from Wastewater Treatment Plants of Chihuahua State, Mexico. Nanomaterials 2022, 12, 744. https://doi.org/10.3390/nano12050744
Reyes-Herrera J, Acosta-Slane D, Castillo-Michel H, Pradas del Real AE, Vogel-Mikus K, Benetti F, Roman M, Villanova J, Valles-Aragón MC. Detection and Characterization of TiO2 Nanomaterials in Sludge from Wastewater Treatment Plants of Chihuahua State, Mexico. Nanomaterials. 2022; 12(5):744. https://doi.org/10.3390/nano12050744
Chicago/Turabian StyleReyes-Herrera, Juan, Damaris Acosta-Slane, Hiram Castillo-Michel, Ana E. Pradas del Real, Katarina Vogel-Mikus, Federico Benetti, Marco Roman, Julie Villanova, and M. Cecilia Valles-Aragón. 2022. "Detection and Characterization of TiO2 Nanomaterials in Sludge from Wastewater Treatment Plants of Chihuahua State, Mexico" Nanomaterials 12, no. 5: 744. https://doi.org/10.3390/nano12050744
APA StyleReyes-Herrera, J., Acosta-Slane, D., Castillo-Michel, H., Pradas del Real, A. E., Vogel-Mikus, K., Benetti, F., Roman, M., Villanova, J., & Valles-Aragón, M. C. (2022). Detection and Characterization of TiO2 Nanomaterials in Sludge from Wastewater Treatment Plants of Chihuahua State, Mexico. Nanomaterials, 12(5), 744. https://doi.org/10.3390/nano12050744

