Structural, Optical, and Arsenic Removal Properties of Sol–Gel Synthesized Fe-Doped TiO2 Nanoparticles
Abstract
:1. Introduction
2. Materials and Methods
2.1. Synthesis of TiO2 Nanoparticles
2.2. Synthesis of Iron-Doped TiO2
2.3. Characterization
2.4. Batch Adsorption Experiments
2.5. pH Influence on the Arsenic Removal
2.6. Effect of Competitive Ions on the Arsenic Removal
3. Results and Discussion
3.1. Thermal Analysis
3.2. X-ray Diffraction
3.3. Raman Spectroscopy
3.4. UV-Visible Spectroscopy
3.5. Fourier-Transform Infrared Spectroscopy (FTIR)
3.6. Scanning and Transmission Electron Microscopy Analysis
3.7. Arsenic Adsorption Experiment
3.8. pH Influence on Arsenic Removal

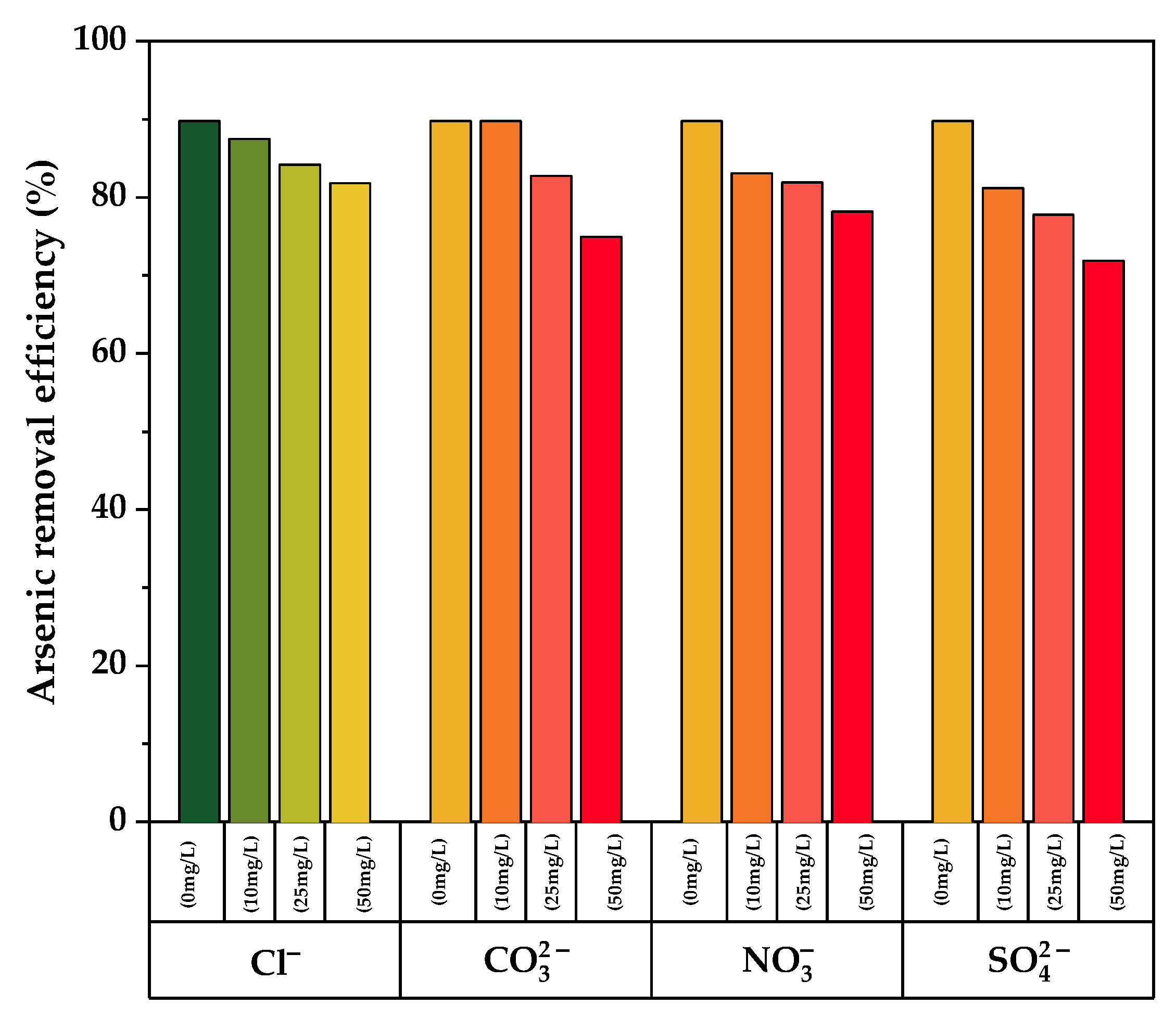
3.9. Effect of Coexisting Ions
4. Conclusions
Supplementary Materials
Author Contributions
Funding
Acknowledgments
Conflicts of Interest
References
- Frankenberger, W.T. Environmental Chemistry of Arsenic; Marcel Dekker: New York, NY, USA, 2002; ISBN 9780824706760. [Google Scholar]
- Hossain, M.F. Arsenic contamination in Bangladesh—An overview. Agric. Ecosyst. Environ. 2006, 113, 1–16. [Google Scholar] [CrossRef]
- Rahman, M.M.; Naidu, R.; Bhattacharya, P. Arsenic contamination in groundwater in the Southeast Asia region. Environ. Geochem. Health 2009, 31 (Suppl. S1), 9–21. [Google Scholar] [CrossRef] [PubMed]
- Litter, M.I.; Ingallinella, A.M.; Olmos, V.; Savio, M.; Difeo, G.; Botto, L.; Farfán Torres, E.M.; Taylor, S.; Frangie, S.; Herkovits, J.; et al. Arsenic in Argentina: Occurrence, human health, legislation and determination. Sci. Total Environ. 2019, 676, 756–766. [Google Scholar] [CrossRef] [PubMed]
- de Loma, J.; Tirado, N.; Ascui, F.; Levi, M.; Vahter, M.; Broberg, K.; Gardon, J. Elevated arsenic exposure and efficient arsenic metabolism in indigenous women around Lake Poopó, Bolivia. Sci. Total Environ. 2019, 657, 179–186. [Google Scholar] [CrossRef]
- Ferreccio, C.; Sancha, A.M. Arsenic exposure and its impact on health in Chile. J. Health Popul. Nutr. 2006, 24, 164–175. [Google Scholar]
- Alonso, D.L.; Latorre, S.; Castillo, E.; Brandão, P.F.B. Environmental occurrence of arsenic in Colombia: A review. Environ. Pollut. 2014, 186, 272–281. [Google Scholar] [CrossRef]
- de Figueiredo, B.R.; Borba, R.P.; Angélica, R.S. Arsenic occurrence in Brazil and human exposure. Environ. Geochem. Health 2007, 29, 109–118. [Google Scholar] [CrossRef]
- Custodio, M.; Cuadrado, W.; Peñaloza, R.; Montalvo, R.; Ochoa, S.; Quispe, J. Human Risk from Exposure to Heavy Metals and Arsenic in Water from Rivers with Mining Influence in the Central Andes of Peru. Water 2020, 12, 1946. [Google Scholar] [CrossRef]
- Bundschuh, J.; Litter, M.I.; Parvez, F.; Román-Ross, G.; Nicolli, H.B.; Jean, J.-S.; Liu, C.-W.; López, D.; Armienta, M.A.; Guilherme, L.R.G.; et al. One century of arsenic exposure in Latin America: A review of history and occurrence from 14 countries. Sci. Total Environ. 2012, 429, 2–35. [Google Scholar] [CrossRef]
- Morales-Simfors, N.; Bundschuh, J.; Herath, I.; Inguaggiato, C.; Caselli, A.T.; Tapia, J.; Choquehuayta, F.E.A.; Armienta, M.A.; Ormachea, M.; Joseph, E.; et al. Arsenic in Latin America: A critical overview on the geochemistry of arsenic originating from geothermal features and volcanic emissions for solving its environmental consequences. Sci. Total Environ. 2020, 716, 135564. [Google Scholar] [CrossRef]
- Mamani Lopez, E.P.; Chambilla Quispe, V. ANÁLISIS FISICOQUÍMICO Y BIOLÓGICO DEL AGUA PARA CONSUMO HUMANO EN EL DISTRITO DE HUANUARA. C&D 2019, 11, 67–70. [Google Scholar] [CrossRef]
- George, C.M.; Sima, L.; Arias, M.H.J.; Mihalic, J.; Cabrera, L.Z.; Danz, D.; Checkley, W.; Gilman, R.H. Arsenic exposure in drinking water: An unrecognized health threat in Peru. Bull. World Health Organ. 2014, 92, 565–572. [Google Scholar] [CrossRef] [PubMed]
- World Health Organization. Arsenic in Drinking-Water: Background Document for Development of WHO Guidelines for Drinking-Water Quality; World Health Organization: Geneva, Switzerland, 2019.
- Yu, H.-S.; Liao, W.-T.; Chai, C.-Y. Arsenic carcinogenesis in the skin. J. Biomed. Sci. 2006, 13, 657–666. [Google Scholar] [CrossRef] [PubMed]
- Hopenhayn-Rich, C.; Biggs, M.L.; Smith, A.H. Lung and kidney cancer mortality associated with arsenic in drinking water in Córdoba, Argentina. Int. J. Epidemiol. 1998, 27, 561–569. [Google Scholar] [CrossRef] [PubMed]
- Kurttio, P.; Pukkala, E.; Kahelin, H.; Auvinen, A.; Pekkanen, J. Arsenic concentrations in well water and risk of bladder and kidney cancer in Finland. Environ. Health Perspect. 1999, 107, 705–710. [Google Scholar] [CrossRef] [PubMed]
- Smith, A.H.; Marshall, G.; Roh, T.; Ferreccio, C.; Liaw, J.; Steinmaus, C. Lung, Bladder, and Kidney Cancer Mortality 40 Years After Arsenic Exposure Reduction. J. Natl. Cancer Inst. 2018, 110, 241–249. [Google Scholar] [CrossRef]
- Han, B.; Runnells, T.; Zimbron, J.; Wickramasinghe, R. Arsenic removal from drinking water by flocculation and microfiltration. Desalination 2002, 145, 293–298. [Google Scholar] [CrossRef]
- Miller, G. A comment on arsenic species separation using ion exchange. Water Res. 2000, 34, 1397–1400. [Google Scholar] [CrossRef]
- Nguyen, V.T.; Vigneswaran, S.; Ngo, H.H.; Shon, H.K.; Kandasamy, J. Arsenic removal by a membrane hybrid filtration system. Desalination 2009, 236, 363–369. [Google Scholar] [CrossRef]
- Ning, R.Y. Arsenic removal by reverse osmosis. Desalination 2002, 143, 237–241. [Google Scholar] [CrossRef]
- Chiban, M. Application of low-cost adsorbents for arsenic removal: A review. J. Environ. Chem. Ecotoxicol. 2012, 4, 91–102. [Google Scholar] [CrossRef]
- Alka, S.; Shahir, S.; Ibrahim, N.; Ndejiko, M.J.; Vo, D.-V.N.; Manan, F.A. Arsenic removal technologies and future trends: A mini review. J. Clean. Prod. 2021, 278, 123805. [Google Scholar] [CrossRef]
- Mohanty, D. Conventional as well as Emerging Arsenic Removal Technologies—A Critical Review. Water Air Soil Pollut 2017, 228, 280–381. [Google Scholar] [CrossRef]
- Dixit, S.; Hering, J.G. Comparison of arsenic(V) and arsenic(III) sorption onto iron oxide minerals: Implications for arsenic mobility. Environ. Sci. Technol. 2003, 37, 4182–4189. [Google Scholar] [CrossRef] [PubMed]
- Reddy, K.J.; McDonald, K.J.; King, H. A novel arsenic removal process for water using cupric oxide nanoparticles. J. Colloid Interface Sci. 2013, 397, 96–102. [Google Scholar] [CrossRef]
- Deng, M.; Chi, M.; Wei, M.; Zhu, A.; Zhong, L.; Zhang, Q.; Liu, Q. A facile route of mesoporous TiO2 shell for enhanced arsenic removal. Colloids Surf. A: Physicochem. Eng. Asp. 2021, 627, 127138. [Google Scholar] [CrossRef]
- Ruggieri, F.; Marín, V.; Gimeno, D.; Fernandez-Turiel, J.L.; García-Valles, M.; Gutierrez, L. Application of zeolitic volcanic rocks for arsenic removal from water. Eng. Geol. 2008, 101, 245–250. [Google Scholar] [CrossRef]
- Tamayo, R.; Espinoza-González, R.; Gracia, F.; Rodrigues-Filho, U.P.; Flores, M.; Sacari, E. As(III) Removal from Aqueous Solution by Calcium Titanate Nanoparticles Prepared by the Sol Gel Method. Nanomaterials 2019, 9, 733. [Google Scholar] [CrossRef]
- Kwok, K.C.M.; Koong, L.F.; Chen, G.; McKay, G. Mechanism of arsenic removal using chitosan and nanochitosan. J. Colloid Interface Sci. 2014, 416, 1–10. [Google Scholar] [CrossRef]
- Lata, S.; Samadder, S.R. Removal of arsenic from water using nano adsorbents and challenges: A review. J. Environ. Manage. 2016, 166, 387–406. [Google Scholar] [CrossRef]
- Zaleska, A. Doped-TiO2: A Review. ENG 2008, 2, 157–164. [Google Scholar] [CrossRef]
- Jeon, H.W.; Kim, S.; Hoang, N.N.; Hoa, N.D.; Eadi, S.B. Effective Removal of Arsenic in Drinking Water Using Facile Synthesized Fe2O3 Coated N-Doped TiO2 Nanoparticles. J. Water Chem. Technol. 2020, 42, 485–490. [Google Scholar] [CrossRef]
- Babu, C.M.; Vinodh, R.; Sundaravel, B.; Abidov, A.; Peng, M.M.; Cha, W.S.; Jang, H.-T. Characterization of reduced graphene oxide supported mesoporous Fe2O3/TiO2 nanoparticles and adsorption of As(III) and As(V) from potable water. J. Taiwan Inst. Chem. Eng. 2016, 62, 199–208. [Google Scholar] [CrossRef]
- Al Zoubi, W.; Salih Al-Hamdani, A.A.; Sunghun, B.; Ko, Y.G. A review on TiO2 -based composites for superior photocatalytic activity. Rev. Inorg. Chem. 2021, 41, 213–222. [Google Scholar] [CrossRef]
- Ashraf, S.; Siddiqa, A.; Shahida, S.; Qaisar, S. Titanium-based nanocomposite materials for arsenic removal from water: A review. Heliyon 2019, 5, e01577. [Google Scholar] [CrossRef]
- Haider, A.J.; Jameel, Z.N.; Al-Hussaini, I.H. Review on: Titanium Dioxide Applications. Energy Procedia 2019, 157, 17–29. [Google Scholar] [CrossRef]
- Garza-Arévalo, J.I.; García-Montes, I.; Reyes, M.; Guzmán-Mar, J.L.; Rodríguez-González, V.; Reyes, L.H. Fe doped TiO2 photocatalyst for the removal of As(III) under visible radiation and its potential application on the treatment of As-contaminated groundwater. Mater. Res. Bull. 2016, 73, 145–152. [Google Scholar] [CrossRef]
- NABI, D.; ASLAM, I.; QAZI, I.A. Evaluation of the adsorption potential of titanium dioxide nanoparticles for arsenic removal. J. Environ. Sci. 2009, 21, 402–408. [Google Scholar] [CrossRef]
- Zhang, Y.; Shen, Y.; Gu, F.; Wu, M.; Xie, Y.; Zhang, J. Influence of Fe ions in characteristics and optical properties of mesoporous titanium oxide thin films. Appl. Surf. Sci. 2009, 256, 85–89. [Google Scholar] [CrossRef]
- Andjelkovic, I.; Stankovic, D.; Nesic, J.; Krstic, J.; Vulic, P.; Manojlovic, D.; Roglic, G. Fe Doped TiO 2 Prepared by Microwave-Assisted Hydrothermal Process for Removal of As(III) and As(V) from Water. Ind. Eng. Chem. Res. 2014, 53, 10841–10848. [Google Scholar] [CrossRef]
- Komaraiah, D.; Radha, E.; Kalarikkal, N.; Sivakumar, J.; Ramana Reddy, M.V.; Sayanna, R. Structural, optical and photoluminescence studies of sol-gel synthesized pure and iron doped TiO2 photocatalysts. Ceram. Int. 2019, 45, 25060–25068. [Google Scholar] [CrossRef]
- Lin, S.; Zhang, X.; Sun, Q.; Zhou, T.; Lu, J. Fabrication of solar light induced Fe-TiO2 immobilized on glass-fiber and application for phenol photocatalytic degradation. Mater. Res. Bull. 2013, 48, 4570–4575. [Google Scholar] [CrossRef]
- Delekar, S.D.; Yadav, H.M.; Achary, S.N.; Meena, S.S.; Pawar, S.H. Structural refinement and photocatalytic activity of Fe-doped anatase TiO2 nanoparticles. Appl. Surf. Sci. 2012, 263, 536–545. [Google Scholar] [CrossRef]
- Ohsaka, T.; Izumi, F.; Fujiki, Y. Raman spectrum of anatase, TiO2. J. Raman Spectrosc. 1978, 7, 321–324. [Google Scholar] [CrossRef]
- Xie, Y.; Heo, S.; Yoo, S.; Ali, G.; Cho, S. Synthesis and Photocatalytic Activity of Anatase TiO2 Nanoparticles-coated Carbon Nanotubes. Nanoscale Res. Lett. 2009, 5, 603–607. [Google Scholar] [CrossRef] [PubMed]
- Kusumawardani, L.J.; Syahputri, Y. Study of structural and optical properties of Fe(III)-doped TiO 2 prepared by sol-gel method. IOP Conf. Ser.: Earth Environ. Sci. 2019, 299, 12066. [Google Scholar] [CrossRef]
- Umebayashi, T.; Yamaki, T.; Itoh, H.; Asai, K. Analysis of electronic structures of 3d transition metal-doped TiO 2 based on band calculations. J. Phys. Chem. Solids 2002, 63, 1909–1920. [Google Scholar] [CrossRef]
- Parra, R.; Góes, M.S.; Castro, M.S.; Longo, E.; Bueno, P.R.; Varela, J.A. Reaction Pathway to the Synthesis of Anatase via the Chemical Modification of Titanium Isopropoxide with Acetic Acid. Chem. Mater. 2008, 20, 143–150. [Google Scholar] [CrossRef]
- Majeed Khan, M.A.; Siwach, R.; Kumar, S.; Alhazaa, A.N. Role of Fe doping in tuning photocatalytic and photoelectrochemical properties of TiO2 for photodegradation of methylene blue. Opt. Laser Technol. 2019, 118, 170–178. [Google Scholar] [CrossRef]
- Lal, M.; Sharma, P.; Ram, C. Synthesis and photocatalytic potential of Nd-doped TiO2 under UV and solar light irradiation using a sol-gel ultrasonication method. Results Mater. 2022, 15, 100308. [Google Scholar] [CrossRef]
- He, Z.; Que, W.; Chen, J.; He, Y.; Wang, G. Surface chemical analysis on the carbon-doped mesoporous TiO2 photocatalysts after post-thermal treatment: XPS and FTIR characterization. J. Phys. Chem. Solids 2013, 74, 924–928. [Google Scholar] [CrossRef]
- Alkorbi, A.S.; Muhammad Asif Javed, H.; Hussain, S.; Latif, S.; Mahr, M.S.; Mustafa, M.S.; Alsaiari, R.; Alhemiary, N.A. Solar light-driven photocatalytic degradation of methyl blue by carbon-doped TiO2 nanoparticles. Opt. Mater. 2022, 127, 112259. [Google Scholar] [CrossRef]
- Ali, T.; Tripathi, P.; Azam, A.; Raza, W.; Ahmed, A.S.; Ahmed, A.; Muneer, M. Photocatalytic performance of Fe-doped TiO 2 nanoparticles under visible-light irradiation. Mater. Res. Express 2017, 4, 15022. [Google Scholar] [CrossRef]
- Nazari, A.; Nakhaei, M.; Yari, A.R. Arsenic Adsorption by TiO2 Nanoparticles Under Conditions Similar to Groundwater: Batch and Column Studies. Int J Env. Res 2021, 15, 79–91. [Google Scholar] [CrossRef]
- Guan, X.; Du, J.; Meng, X.; Sun, Y.; Sun, B.; Hu, Q. Application of titanium dioxide in arsenic removal from water: A review. J. Hazard. Mater. 2012, 215–216, 1–16. [Google Scholar] [CrossRef]










| Structural Parameter | Sample | |||
|---|---|---|---|---|
| TiO2 | TiO2—A | TiO2—B | TiO2—C | |
| a = b (nm) | 3.7843 | 3.7858 | 3.7859 | 3.7862 |
| c (nm) | 9.4995 | 9.5036 | 9.5051 | 9.5075 |
| α = β = γ (°) | 90 | 90 | 90 | 90 |
| ρ (g/cm3) | 3.9 | 3.9 | 3.89 | 3.89 |
| D (nm) | 13.02 | 12.95 | 12.81 | 12.91 |
| Rexp (%) | 1.7601 | 1.7665 | 1.7741 | 1.7635 |
| Rwp (%) | 2.5442 | 2.4332 | 2.4135 | 2.3294 |
| Rp (%) | 2.009 | 1.9205 | 1.9184 | 1.84059 |
| GOF | 1.45 | 1.37 | 1.36 | 1.32 |
| Eg (eV) | 3.2 | 3.11 | 3.05 | 2.86 |
| SSABET (m2/g) | 99.78 ± 0.86 | 98.36 ± 0.74 | 102.25 ± 0.98 | 82.94 ± 0.28 |
| Element | Sample | |||
|---|---|---|---|---|
| TiO2 | TiO2—A | TiO2—B | TiO2—C | |
| Ti (Atom %) | 32.19 | 33.35 | 32.89 | 32.22 |
| O (Atom %) | 67.81 | 66.49 | 66.83 | 67.36 |
| Fe (Atom %) | 0 | 0.16 | 0.28 | 0.42 |
| SAMPLE | Pseudo-First-Order | Pseudo-Second-Order | ||||
|---|---|---|---|---|---|---|
| k1 | qe | R2 | k2 | qe | R2 | |
| TiO2 | 0.0001755 | 6.00 | 0.77896 | 0.0061776 | 7.56 | 0.99596 |
| TiO2-A | 0.0001636 | 6.27 | 0.75018 | 0.0070052 | 7.91 | 0.99607 |
| TiO2-B | 0.0001224 | 6.87 | 0.56323 | 0.013952 | 8.67 | 0.99523 |
| TiO2-C | 0.0001283 | 6.53 | 0.52831 | 0.0165896 | 8.20 | 0.99284 |
Publisher’s Note: MDPI stays neutral with regard to jurisdictional claims in published maps and institutional affiliations. |
© 2022 by the authors. Licensee MDPI, Basel, Switzerland. This article is an open access article distributed under the terms and conditions of the Creative Commons Attribution (CC BY) license (https://creativecommons.org/licenses/by/4.0/).
Share and Cite
Gamarra, F.; Medina, J.; Lanchipa, W.; Tamayo, R.; Sacari, E. Structural, Optical, and Arsenic Removal Properties of Sol–Gel Synthesized Fe-Doped TiO2 Nanoparticles. Nanomaterials 2022, 12, 3402. https://doi.org/10.3390/nano12193402
Gamarra F, Medina J, Lanchipa W, Tamayo R, Sacari E. Structural, Optical, and Arsenic Removal Properties of Sol–Gel Synthesized Fe-Doped TiO2 Nanoparticles. Nanomaterials. 2022; 12(19):3402. https://doi.org/10.3390/nano12193402
Chicago/Turabian StyleGamarra, Francisco, Jesús Medina, Wilson Lanchipa, Rocío Tamayo, and Elisban Sacari. 2022. "Structural, Optical, and Arsenic Removal Properties of Sol–Gel Synthesized Fe-Doped TiO2 Nanoparticles" Nanomaterials 12, no. 19: 3402. https://doi.org/10.3390/nano12193402
APA StyleGamarra, F., Medina, J., Lanchipa, W., Tamayo, R., & Sacari, E. (2022). Structural, Optical, and Arsenic Removal Properties of Sol–Gel Synthesized Fe-Doped TiO2 Nanoparticles. Nanomaterials, 12(19), 3402. https://doi.org/10.3390/nano12193402

