Tailoring of Optical Properties of Methacrylate Resins Enriched by HPHT Microdiamond Particles
Abstract
1. Introduction
2. Materials and Methods
2.1. Materials
2.2. Fabrication of Composites
2.3. Measurements
3. Results and Discussion
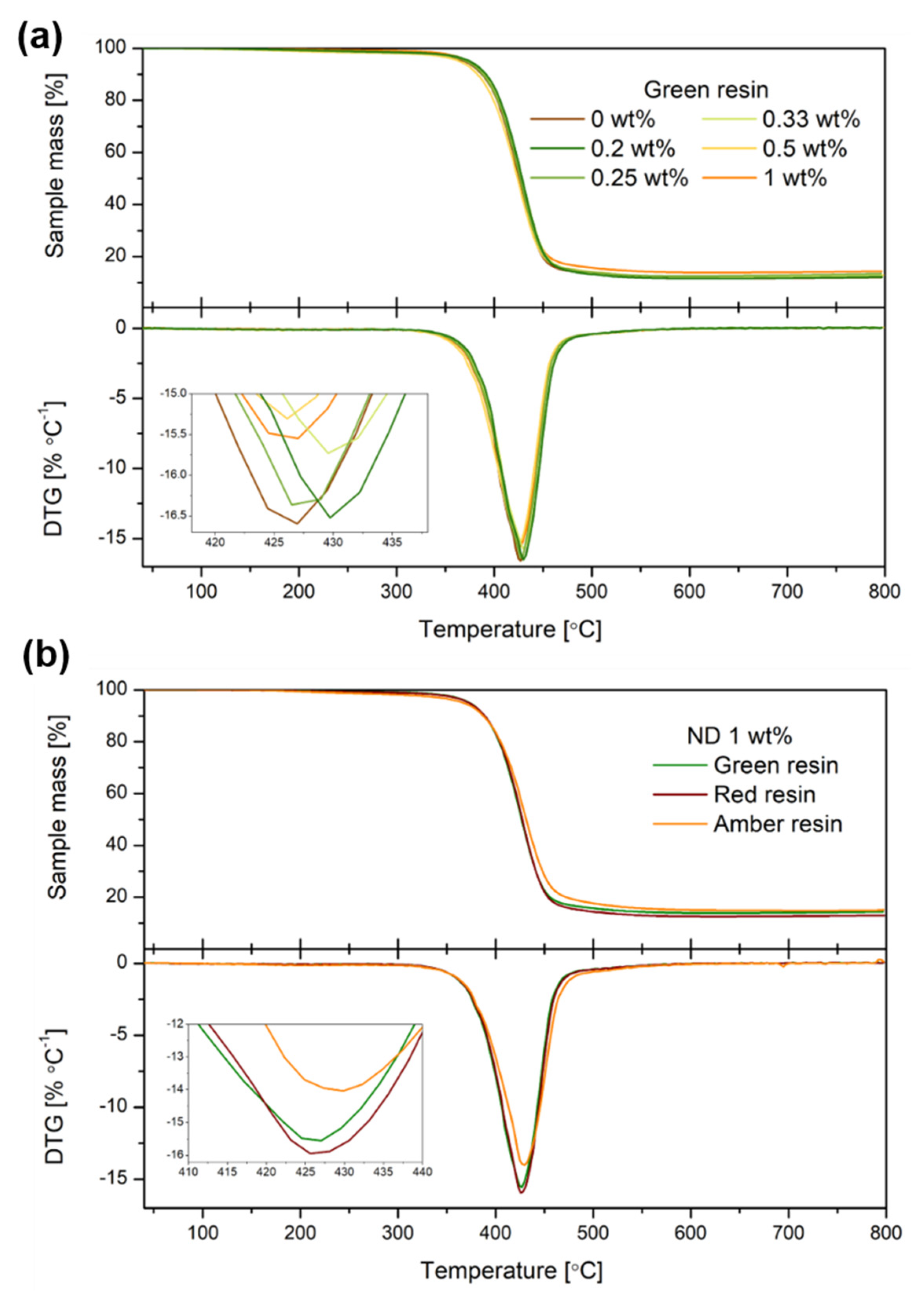
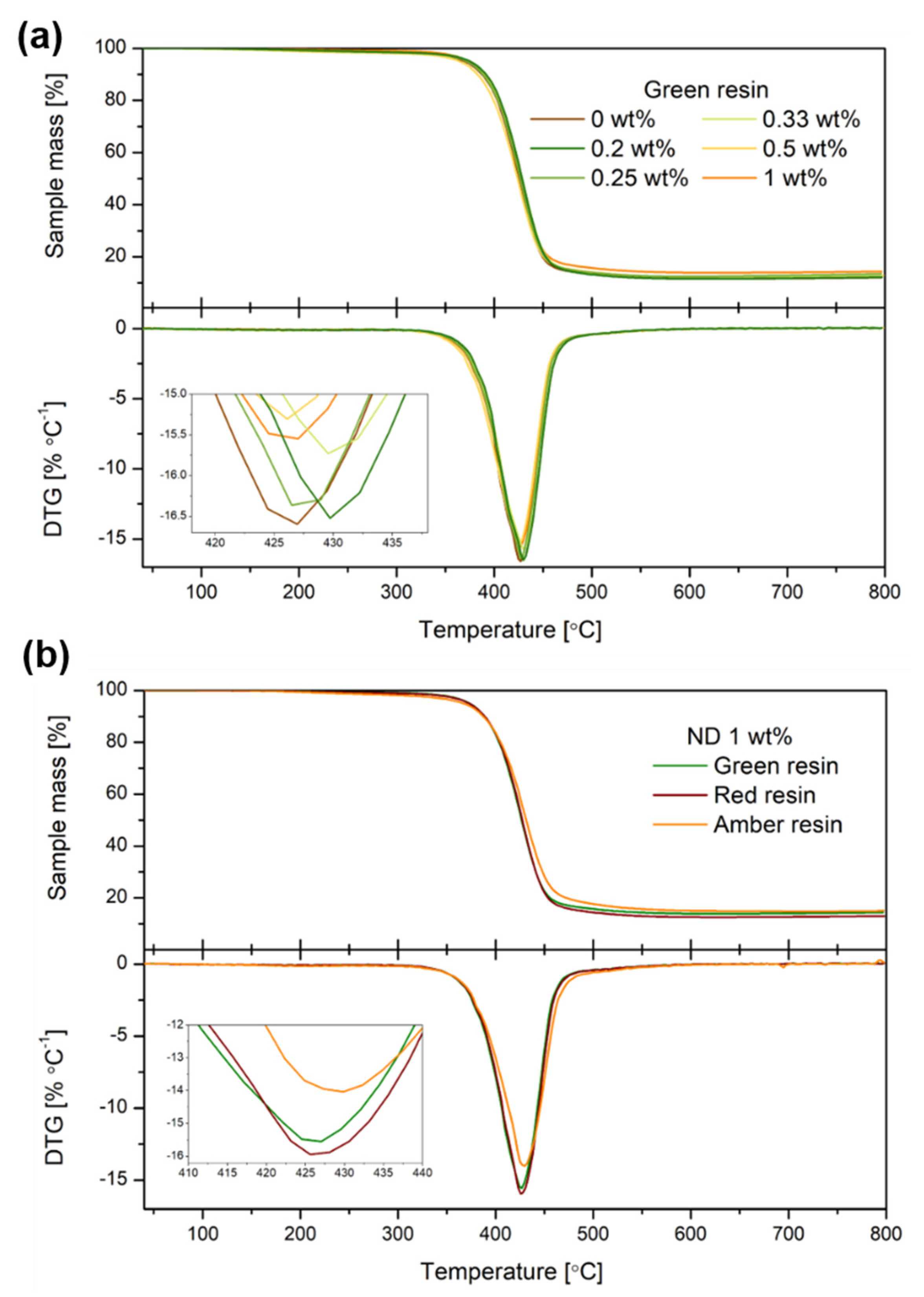
3.1. Topology and Thermal Behavior
3.2. Optical Properties
4. Conclusions
Supplementary Materials
Author Contributions
Funding
Data Availability Statement
Acknowledgments
Conflicts of Interest
References
- Janik, M.; Głowacki, J.M.; Sawczak, M.; Wcisło, A.; Niedziałkowski, P.; Jurak, K.; Ficek, M.; Bogdanowicz, R. Poly-L-Lysine-functionalized fluorescent diamond particles: pH triggered fluorescence enhancement via surface charge modulation. MRS Bullet. 2022, 47. [Google Scholar] [CrossRef]
- Karami, P.; Salkhi Khasraghi, S.; Hashemi, M.; Rabiei, S.; Shojaei, A. Polymer/nanodiamond composites—A comprehensive review from synthesis and fabrication to properties and applications. Adv. Colloid Interface Sci. 2019, 269, 122–151. [Google Scholar] [CrossRef] [PubMed]
- Zhang, P.; Yang, J.; Li, W.; Wang, W.; Liu, C.; Griffith, M.; Liu, W. Cationic polymer brush grafted-nanodiamond via atom transfer radical polymerization for enhanced gene delivery and bioimaging. J. Mater. Chem. 2011, 21, 7755–7764. [Google Scholar] [CrossRef]
- Taylor, A.C.; González, C.H.; Miller, B.S.; Edgington, R.J.; Ferretti, P.; Jackman, R.B. Surface functionalisation of nanodiamonds for human neural stem cell adhesion and proliferation. Sci. Rep. 2017, 7, 7307. [Google Scholar] [CrossRef] [PubMed]
- Jariwala, D.H.; Patel, D.; Wairkar, S. Surface functionalization of nanodiamonds for biomedical applications. Mater. Sci. Eng. C 2020, 113, 110996. [Google Scholar] [CrossRef] [PubMed]
- Białobrzeska, W.; Głowacki, M.J.; Janik, M.; Ficek, M.; Pyrchla, K.; Sawczak, M.; Bogdanowicz, R.; Malinowska, N.; Żołędowska, S.; Nidzworski, D. Quantitative fluorescent determination of DNA—Ochratoxin a interactions supported by nitrogen-vacancy rich nanodiamonds. J. Mol. Liq. 2021, 342, 117338. [Google Scholar] [CrossRef]
- Głowacki, M.J.; Ficek, M.; Sawczak, M.; Wcisło, A.; Bogdanowicz, R. Fluorescence of nanodiamond cocktails: pH-induced effects through interactions with comestible liquids. Food Chem. 2022, 381, 132206. [Google Scholar] [CrossRef] [PubMed]
- Mochalin, V.N.; Shenderova, O.; Ho, D.; Gogotsi, Y. The properties and applications of nanodiamonds. Nat. Nanotechnol. 2012, 7, 11–23. [Google Scholar] [CrossRef]
- Dong, J.; Jiang, R.; Huang, H.; Chen, J.; Tian, J.; Deng, F.; Dai, Y.; Wen, Y.; Zhang, X.; Wei, Y. Facile preparation of fluorescent nanodiamond based polymer nanoparticles via ring-opening polymerization and their biological imaging. Mater. Sci. Eng. C 2020, 106, 110297. [Google Scholar] [CrossRef] [PubMed]
- Ficek, M.; Głowacki, M.J.; Gajewski, K.; Kunicki, P.; Gacka, E.; Sycz, K.; Mrózek, M.; Wojciechowski, A.M.; Gotszalk, T.P.; Gawlik, W.; et al. Integration of fluorescent, NV-Rich nanodiamond particles with AFM cantilevers by focused ion beam for hybrid optical and micromechanical devices. Coatings 2021, 11, 1332. [Google Scholar] [CrossRef]
- Wojciechowski, A.M.; Nakonieczna, P.; Mrózek, M.; Sycz, K.; Kruk, A.; Ficek, M.; Głowacki, M.; Bogdanowicz, R.; Gawlik, W. Optical magnetometry based on nanodiamonds with nitrogen-vacancy color centers. Materials 2019, 12, 2951. [Google Scholar] [CrossRef] [PubMed]
- Qin, J.-X.; Yang, X.-G.; Lv, C.-F.; Li, Y.-Z.; Liu, K.-K.; Zang, J.-H.; Yang, X.; Dong, L.; Shan, C.-X. Nanodiamonds: Synthesis, properties, and applications in nanomedicine. Mater. Des. 2021, 210, 110091. [Google Scholar] [CrossRef]
- Kumar, R.; Singh, D.K.; Kumar, P.; Trinh, C.T.; Lee, K.G.; Kumar, R.; Dhakate, S.R. High ensemble concentration of photo-stable NV centers in type Ib nanodiamonds by thermal assisted migration of native vacancies. Diam. Relat. Mater. 2021, 114, 108337. [Google Scholar] [CrossRef]
- Boudou, J.P.; Tisler, J.; Reuter, R.; Thorel, A.; Curmi, P.A.; Jelezko, F.; Wrachtrup, J. Fluorescent nanodiamonds derived from HPHT with a size of less than 10 Nm. Diam. Relat. Mater. 2013, 37, 80–86. [Google Scholar] [CrossRef]
- Jee, A.Y.; Lee, M. Thermal and mechanical properties of Alkyl-functionalized nanodiamond composites. Curr. Appl. Phys. 2011, 11, 1183–1187. [Google Scholar] [CrossRef]
- Zhao, Y.Q.; Lau, K.T.; Kim, J.K.; Xu, C.L.; Zhao, D.D.; Li, H.L. Nanodiamond/Poly (Lactic Acid) Nanocomposites: Effect of nanodiamond on structure and properties of poly (lactic acid). Compos. Part B Eng. 2010, 41, 646–653. [Google Scholar] [CrossRef]
- Bershtein, V.; Karabanova, L.; Sukhanova, T.; Yakushev, P.; Egorova, L.; Lutsyk, E.; Svyatyna, A.; Vylegzhanina, M. Peculiar dynamics and elastic properties of hybrid semi-interpenetrating polymer network–3-D diamond nanocomposites. Polymer 2008, 49, 836–842. [Google Scholar] [CrossRef]
- Mochalin, V.N.; Gogotsi, Y. Nanodiamond-polymer composites. Diam. Relat. Mater. 2015, 58, 161–171. [Google Scholar] [CrossRef]
- Mangal, U.; Kim, J.-Y.; Seo, J.-Y.; Kwon, J.-S.; Choi, S. Novel Poly (Methyl Methacrylate) containing and fungal resistance. Materials 2019, 12, 3438. [Google Scholar] [CrossRef] [PubMed]
- Protopapa, P.; Kontonasaki, E.; Bikiaris, D.; Paraskevopoulos, K.M.; Koidis, P. Reinforcement of a PMMA resin for fixed interim prostheses with nanodiamonds. Dent. Mater. J. 2011, 30, 222–231. [Google Scholar] [CrossRef] [PubMed]
- Alishiri, M.; Shojaei, A.; Abdekhodaie, M.J. Biodegradable polyurethane Acrylate/HEMA-Grafted nanodiamond composites with bone regenerative potential applications: Structure, mechanical properties and biocompatibility. RSC Adv. 2016, 6, 8743–8755. [Google Scholar] [CrossRef]
- Lebedev, O.V.; Bogdanova, O.I.; Goncharuk, G.P.; Ozerin, A.N. Tribological and percolation properties of polypropylene/nanodiamond soot composites. Polym. Polym. Compos. 2020, 28, 369–377. [Google Scholar] [CrossRef]
- Neitzel, I.; Mochalin, V.; Knoke, I.; Palmese, G.R.; Gogotsi, Y. Mechanical properties of epoxy composites with high contents of nanodiamond. Compos. Sci. Technol. 2011, 71, 710–716. [Google Scholar] [CrossRef]
- Neitzel, I.; Mochalin, V.; Bares, J.A.; Carpick, R.W.; Erdemir, A.; Gogotsi, Y. Tribological properties of nanodiamond-epoxy composites. Tribol. Lett. 2012, 47, 195–202. [Google Scholar] [CrossRef]
- Behler, K.D.; Stravato, A.; Mochalin, V.; Korneva, G.; Yushin, G.; Gogotsi, Y. Nanodiamond-polymer composite fibers and coatings. ACS Nano 2009, 3, 363–369. [Google Scholar] [CrossRef] [PubMed]
- Mangal, U.; Seo, J.Y.; Yu, J.; Kwon, J.S.; Choi, S.H. Incorporating aminated nanodiamonds to improve the mechanical properties of 3d-Printed resin-based biomedical appliances. Nanomaterials 2020, 10, 827. [Google Scholar] [CrossRef] [PubMed]
- Ely, E.D.; Lonne, Q.; Lantada, A.D.; Mejía-Ospino, E.; Durán, H.A.E.; Hernández, R.C.; Ramírez-Caballero, G.; Endrino, J.L. Physical and chemical properties characterization of 3d-printed substrates loaded with copper-nickel nanowires. Polymers 2020, 12, 2680. [Google Scholar] [CrossRef]
- Mangal, U.; Min, Y.J.; Seo, J.Y.; Kim, D.E.; Cha, J.Y.; Lee, K.J.; Kwon, J.S.; Choi, S.H. Changes in tribological and antibacterial properties of poly(methyl methacrylate)-based 3D-printed intra-oral appliances by incorporating nanodiamonds. J. Mech. Behav. Biomed. Mater. 2020, 110, 103992. [Google Scholar] [CrossRef]
- Zhang, Y.; Rhee, K.Y.; Hui, D.; Park, S.-J. A Critical review of nanodiamond based nanocomposites: Synthesis, properties and applications. Compos. Part B Eng. 2018, 143, 19–27. [Google Scholar] [CrossRef]
- Takada, T.; Fukuchi, M.; Nezu, T.; Nagano-Takebe, F.; Endo, K. Evaluation of thermal conductivity and esthetic quality of denture base resin composites with acrylic polymer and nanodiamonds. J. Appl. Polym. Sci. 2021, 138, 51436. [Google Scholar] [CrossRef]
- Kausar, A. Nanodiamond Integrating Poly(Methyl Methacrylate) nanocomposites intending for technological innovations. Mater. Res. Innov. 2021, 25, 310–319. [Google Scholar] [CrossRef]
- Zhang, Q.; Mochalin, V.N.; Neitzel, I.; Knoke, I.Y.; Han, J.; Klug, C.A.; Zhou, J.G.; Lelkes, P.I.; Gogotsi, Y. Fluorescent PLLA-nanodiamond composites for bone tissue engineering. Biomaterials 2010, 32, 87–94. [Google Scholar] [CrossRef]
- Shenderova, O.; Tyler, T.; Cunningham, G.; Ray, M.; Walsh, J.; Casulli, M.; Hens, S.; McGuire, G.; Kuznetsov, V.; Lipa, S. Nanodiamond and Onion-like carbon polymer nanocomposites. Diam. Relat. Mater. 2007, 16, 1213–1217. [Google Scholar] [CrossRef]
- Sipaut, C.S.; Ahmad, N.; Adnan, R.; Rahman, I.A.; Bakar, M.A.; Ismail, J.; Chee, C.K. Properties and morphology of bulk epoxy composites filled with modified fumed silica-epoxy nanocomposites. J. Appl. Sci. 2007, 7, 27–34. [Google Scholar] [CrossRef][Green Version]
- Hui, Y.Y.; Chen, O.Y.; Azuma, T.; Chang, B.-M.; Hsieh, F.-J.; Chang, H.-C. All-Optical thermometry with nitrogen-vacancy centers in nanodiamond-embedded polymer films. J. Phys. Chem. C 2019, 123, 15366–15374. [Google Scholar] [CrossRef]
- Morimune-Moriya, S.; Nishino, T. Strong, tough, transparent and highly heat-resistant acrylic glass based on nanodiamond. Polymer 2021, 222, 123661. [Google Scholar] [CrossRef]
- Tiainen, T.; Lobanova, M.; Karjalainen, E.; Tenhu, H.; Hietala, S. Stimuli-responsive nanodiamond–polyelectrolyte composite films. Polymers 2020, 12, 507. [Google Scholar] [CrossRef] [PubMed]
- Zhang, Y.; Choi, J.R.; Park, S.J. Thermal conductivity and thermo-physical properties of nanodiamond-attached exfoliated hexagonal boron nitride/epoxy nanocomposites for microelectronics. Compos. Part A Appl. Sci. Manuf. 2017, 101, 227–236. [Google Scholar] [CrossRef]
- Špitalský, Z.; Kromka, A.; Matějka, L.; Černoch, P.; Kováová, J.; Kotek, J.; Šlouf, M. Effect of nanodiamond particles on properties of epoxy composites. Adv. Compos. Lett. 2008, 17, 29–34. [Google Scholar] [CrossRef]
- Li, W.; Yu, X.; Naito, K.; Ding, H.; Qu, X.; Zhang, Q. Surface functionalization and disaggregation of nanodiamonds via in situ copolymerization. J. Nanosci. Nanotechnol. 2017, 17, 8883–8889. [Google Scholar] [CrossRef]
- Hsin, Y.L.; Chu, H.Y.; Jeng, Y.R.; Huang, Y.H.; Wang, M.H.; Chang, C.K. In Situ De-agglomeration and surface functionalization of detonation nanodiamond, with the polymer used as an additive in lubricant oil. J. Mater. Chem. 2011, 21, 13213–13222. [Google Scholar] [CrossRef]
- Vanyukov, V.V.; Mikheev, G.M.; Mogileva, T.N.; Puzyr, A.P.; Bondar, V.S.; Svirko, Y.P. Concentration dependence of the optical limiting and nonlinear light scattering in aqueous suspensions of detonation nanodiamond clusters. Opt. Mater. 2014, 37, 218–222. [Google Scholar] [CrossRef]
- Shenderova, O.; Grichko, V.; Hens, S.; Walch, J. Detonation nanodiamonds as UV radiation filter. Diam. Relat. Mater. 2007, 16, 2003–2008. [Google Scholar] [CrossRef]
- Ficek, M.; Sobaszek, M.; Gnyba, M.; Ryl, J.; Gołuński, Ł.; Smietana, M.; Jasiński, J.; Caban, P.; Bogdanowicz, R. Optical and electrical properties of boron doped diamond thin conductive films deposited on fused silica glass substrates. Appl. Surf. Sci. 2016, 387, 846–856. [Google Scholar] [CrossRef]
- Zhou, R.-J.; Burkhart, T. Optical properties of particle-filled polycarbonate, polystyrene, and poly(methyl methacrylate) composites. J. Appl. Polym. Sci. 2010, 115, 1866–1872. [Google Scholar] [CrossRef]
- Larionova, I.; Kuznetsov, V.; Frolov, A.; Shenderova, O.; Moseenkov, S.; Mazov, I. Properties of Individual Fractions of Detonation Nanodiamond. Diam. Relat. Mater. 2006, 15, 1804–1808. [Google Scholar] [CrossRef]
- Sun, S.; Rasskazov, I.L.; Carney, P.S.; Zhang, T.; Moroz, A. Critical role of shell in enhanced fluorescence of metal-dielectric core-shell nanoparticles. J. Phys. Chem. C 2020, 124, 13365–13373. [Google Scholar] [CrossRef]
- Reineck, P.; Lau, D.W.M.; Wilson, E.R.; Nunn, N.; Shenderova, O.A.; Gibson, B.C. Visible to Near-IR fluorescence from single-digit detonation nanodiamonds: Excitation wavelength and PH dependence. Sci. Rep. 2018, 8, 2478. [Google Scholar] [CrossRef]
- Tsukahara, R.; Fujiwara, M.; Sera, Y.; Nishimura, Y.; Sugai, Y.; Jentgens, C.; Teki, Y.; Hashimoto, H.; Shikata, S. Removing non-size-dependent electron spin decoherence of nanodiamond quantum sensors by aerobic oxidation. ACS Appl. Nano Mater. 2019, 2, 3701–3710. [Google Scholar] [CrossRef]
- Nirala, N.R.; Shtenberg, G. Amplified fluorescence by Zno nanoparticles vs. quantum dots for bovine mastitis acute phase response evaluation in milk. Nanomaterials 2020, 10, 549. [Google Scholar] [CrossRef] [PubMed]
- Li, Q.; Kamra, T.; Ye, L. Nanoparticle-enhanced fluorescence emission for non-separation assays of carbohydrates using a boronic acid-alizarin complex. Chem. Commun. 2016, 52, 3701–3704. [Google Scholar] [CrossRef] [PubMed]






| Resin Type | Hardness | Tensile Strength | Elongation at Break | Viscosity (25 °C) | Volumetric Shrinkage |
|---|---|---|---|---|---|
| Green Daylight Resin 3D firm | 65 Shore D | 26 MPa | 14.9% | 560 cps | 5.9% |
| Red Daylight Resin 3D firm | 65 Shore D | 26 MPa | 14.9% | 560 cps | 5.9% |
| Amber Daylight Resin 3D hard | 77 Shore D | 42 MPa | 8.7% | 230 cps | 6.6% |
| Resin Type | ND Content (wt.%) | TD (°C) | Tmax (°C) | mr (%) |
|---|---|---|---|---|
| Green | 0 | 369.4 | 426.4 | 12.1 |
| Green | 0.2 | 375.2 | 429.9 | 12.2 |
| Green | 0.25 | 371.7 | 427.5 | 13.4 |
| Green | 0.33 | 372.2 | 430.1 | 12.7 |
| Green | 0.5 | 364.4 | 426.3 | 13.0 |
| Green | 1 | 373.5 | 426.0 | 14.1 |
| Red | 1 | 373.0 | 426.3 | 13.0 |
| Amber | 1 | 368.0 | 430.0 | 15.0 |
| Average calculated for all studied samples | 370.9 ± 3.5 | 427.8 ± 1.9 | 13.2 ± 1.0 | |
| Average calculated for samples with 1 wt.% ND | 371.5 ± 3.0 | 427.4 ± 2.2 | 14.0 ± 1.0 | |
| Sample Composition | TGA Conditions | TD (°C)/MDPs Concentration | Observations | References |
|---|---|---|---|---|
| MDPs–acrylate composites MDPs content: 0.2–1.0 wt.% | 30–800 °C (10 °C/min) N2 | 369.4 (0) 375.2 (0.2) 371.7 (0.25) 372.2 (0.33) 364.4 (0.5) 373.5 (1.0) 373.0 (1.0) 368.0 (1.0) | The overall trend is that a higher content of MDPs improved the thermal stability. However, in selected samples, deviations from this trend were observed. This may be related to chemical reactions between the MDPs and PMMA during synthesis that will affect the curing kinetics and consequently the performance properties of the studied materials. | This work |
| Poly (methyl methacrylate)/nanodiamond nanocomposites ND content: 0.1–1.0 wt.% | 50–450 °C (10 °C/min) N2 | 287 (0) 288 (0.1) 289 (0.5) 293 (1.0) | The thermal stability increased proportionally to the ND content. A higher content of ND resulted in a higher T-5%. | [36] |
| Nanodiamond-attached exfoliated hexagonal boron nitride/epoxy nanocomposites Filler content: 10–50 phr | 30–900 °C (10 °C/min) N2 | PDT (polymer decomposition temperature) 378.3 (0) 389.2 (10) 401.8 (20) 398.2 (30) 392.3 (40) 391.2 (50) | For a sample with 10 phr of NDs, an increase of the decomposition temperature by 10.9 °C was observed. Moreover, as could be expected, the char residue for the sample with 10 phr of ND is much higher than it is for unadulterated epoxy resin. Similar trends were also observed in the other composites, which contained 20, 30, 40, and 50 phr of the EBN and NDEBN. | [38] |
| Epoxy/nanodiamond composites ND content: 0.1–1.0 wt.% | No information about temperature measurement range, (10 °C/min) Air and N2 | Air N2 295 (0) 342 (0) 316 (0.1) 344 (0.1) 326 (0.5) 338 (0.5) 310 (1.0) 343 (1.0) | Interestingly, the sample with 0.5 wt.% of NDs decreased in thermal stability (in nitrogen) compared to the reference material. A similar tendency was observed in our present work. | [39] |
| Aminated nanodiamonds (A-NDs) as nanofillers in biological-grade acrylate-based 3D-printed materials ND content: 0.1 wt.% | 100–800 °C (10 °C/min) N2 | In the reference sample, 40% weight loss was recorded at 405 °C, while in the ND- and A-ND-incorporated nanocomposites, the same was observed at 420 and 426 °C, respectively. | The weight loss axis is presented only to 40%; therefore, it is difficult to comment on the presented results. The authors mentioned that the addition of ND increased the thermal stability of the polymer matrix. A very high level of residue for the reference sample indicated the presence of other fillers in the material. | [26] |
| ND-grafted poly(styrene) (ND-PS) and ND-grafted poly(methyl methacrylate) (ND-PMMA) | 30–1000 °C (10 °C/min) N2 | The authors presented only TGA curves. There is no additional information with a summary of thermal degradation parameters. | Chemical grafting of polymers to the surface of the NDs resulted in deterioration of thermal stability of the studied systems, which is related to the obvious lower thermal stability of polymers compared to the ND filler. TGA//DTG method is a useful tool for determining the grafting degree. For the studied systems, the grafting ratio of the PMMA was 10.56%, while for PS, it was 6.21%. | [40] |
| Various kinds of polymer chains (e.g., polystyrene, polymethyl methacrylate, and polyglycidyl methacrylate) were chemically grafted onto the deagglomerated nanodiamond by the wet-stirred-media-milling process | 25–500 °C (10 °C/min) N2 | The authors presented only TGA curves. There is no additional information with a summary of thermal degradation parameters. | Chemical grafting of polymers to the surface of the NDs resulted in deterioration of thermal stability of the studied systems, which is related to the obvious lower thermal stability of polymers compared to the ND filler. The grafting degrees for the studied systems were as follows: ~24% for PS, ~31% for PMMA, ~34% for PGMA. | [41] |
| PMMA + nanodiamonds ND content: 1–2 wt.% | 30–1000 °C (20 °C/min) N2 | The authors presented only TGA curves. There is no additional information with a summary of thermal degradation parameters. | The authors pointed out that a noticeable effect can be observed after high polymer weight loss. The results demonstrate that, even at relatively low dispersity and agglomeration of NDs in PMMA, the thermal degradation temperature can be increased. | [33] |
Publisher’s Note: MDPI stays neutral with regard to jurisdictional claims in published maps and institutional affiliations. |
© 2022 by the authors. Licensee MDPI, Basel, Switzerland. This article is an open access article distributed under the terms and conditions of the Creative Commons Attribution (CC BY) license (https://creativecommons.org/licenses/by/4.0/).
Share and Cite
Kowalewska, E.; Ficek, M.; Formela, K.; Zieliński, A.; Kunuku, S.; Sawczak, M.; Bogdanowicz, R. Tailoring of Optical Properties of Methacrylate Resins Enriched by HPHT Microdiamond Particles. Nanomaterials 2022, 12, 2604. https://doi.org/10.3390/nano12152604
Kowalewska E, Ficek M, Formela K, Zieliński A, Kunuku S, Sawczak M, Bogdanowicz R. Tailoring of Optical Properties of Methacrylate Resins Enriched by HPHT Microdiamond Particles. Nanomaterials. 2022; 12(15):2604. https://doi.org/10.3390/nano12152604
Chicago/Turabian StyleKowalewska, Ewelina, Mateusz Ficek, Krzysztof Formela, Artur Zieliński, Srinivasu Kunuku, Miroslaw Sawczak, and Robert Bogdanowicz. 2022. "Tailoring of Optical Properties of Methacrylate Resins Enriched by HPHT Microdiamond Particles" Nanomaterials 12, no. 15: 2604. https://doi.org/10.3390/nano12152604
APA StyleKowalewska, E., Ficek, M., Formela, K., Zieliński, A., Kunuku, S., Sawczak, M., & Bogdanowicz, R. (2022). Tailoring of Optical Properties of Methacrylate Resins Enriched by HPHT Microdiamond Particles. Nanomaterials, 12(15), 2604. https://doi.org/10.3390/nano12152604

