Green Synthesis of FexOy Nanoparticles with Potential Antioxidant Properties
Abstract
1. Introduction
2. Materials and Methods
2.1. Materials
2.2. Methods
2.2.1. Polyphenol Extraction from Phoenix dactylifera L. Leaves
2.2.2. Total Polyphenolic Content (TPC)
2.2.3. Nanoparticle Preparation
Green Approach
Chemical Approach
2.3. Characterization Techniques
2.3.1. X-ray Diffraction (XRD)
2.3.2. Fourier Transform Infrared Spectroscopy (FTIR)
2.3.3. Scanning Electron Microscopy (SEM)
2.3.4. Determination of Antioxidant Activity
2.4. Statistical Analysis
3. Results and Discussion
3.1. Characterization of Raw Material and Extracts
3.1.1. Effect of Drying Temperature on Moisture Content in Phoenix dactylifera L.
3.1.2. Drying Temperature, Grinding and Total Polyphenol Content Effect
3.2. Characterization of Nanoparticles
3.2.1. X-ray Diffraction (XRD)
3.2.2. Fourier Transform Infrared Spectroscopy (FTIR)
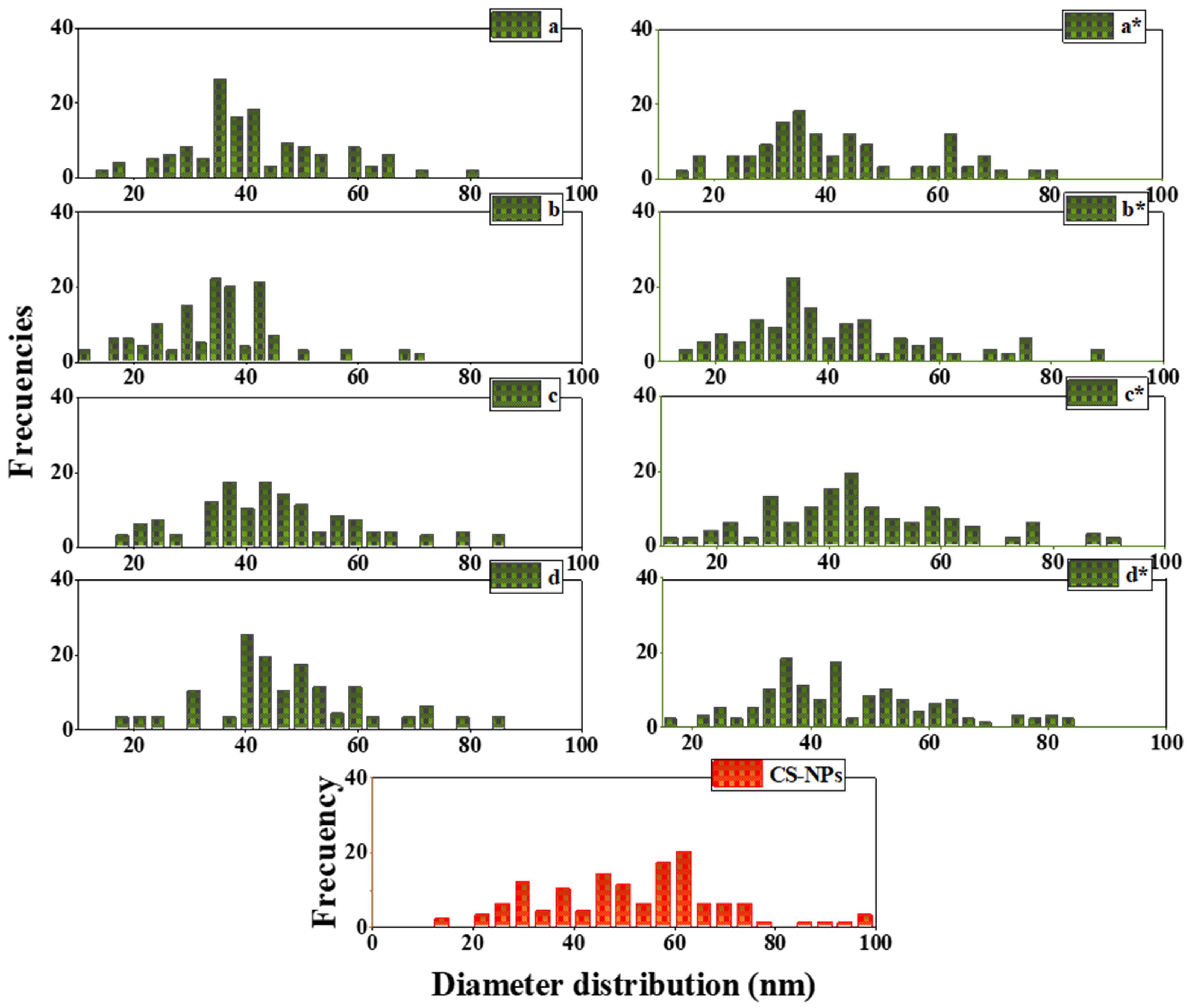
3.2.3. Scanning Electron Microscopy (SEM)
3.2.4. Antioxidant Activity
4. Conclusions
Supplementary Materials
Author Contributions
Funding
Data Availability Statement
Acknowledgments
Conflicts of Interest
Abbreviations
| Abbr | Abbreviation(s) |
| FexOy-NPs | Iron oxide nanoparticles |
| Phoenix dactylifera L. | Phoenix dactylifera leaves |
| NaOH | Sodium hydroxide |
| NPs | Nanoparticles |
| pH | Potential or power of hydrogen |
| TAC | Total antioxidant activity |
| DPPH | 2,2-diphenyl-1-picrylhydrazyl |
| DMSO | Dimethyl sulfoxide anhydrous |
| GS | Green synthesis/greenly synthesized |
| CS | Chemical synthesis/chemically synthesized |
| TPC | Total polyphenol content |
| UV/VIS | Ultraviolet-visible |
| GAE | Gallic acid equivalent |
| XRD | X-ray diffraction |
| FTIR | Fourier transform infrared spectroscopy |
| (IC50) | Half maximal inhibitory concentration |
| IC (%) | Inhibitory concentration percentage |
| Tx °C | Drying temperature at x °C |
| k | Drying rate |
| D DRX | Average diameter from DRX |
| D SEM | Average diameter from SEM |
| Tx °C ethanol ext. | Sample dried at x °C and extracted with an ethanol solvent |
| Tx °C H2O ext. | Sample dried at x °C and extracted with H2O solvent |
| GS FexOy-NPs Tx °C (H2O Ext or Ethanol Ext.) | Greenly synthesized iron oxide nanoparticles from the sample dried at x °C and extracted using H2O or ethanol |
| CS FexOy-NPs Tx °C (H2O Ext or Ethanol Ext.) | Chemically synthesized iron oxide nanoparticles from the sample dried at x °C and extracted using H2O or ethanol |
References
- Darroudi, M.; Hakimi, M.; Goodarzi, E.; Kazemi Oskuee, R. Superparamagnetic iron oxide nanoparticles (SPIONs): Green preparation, characterization and their cytotoxicity effects. Ceram. Int. 2014, 40, 14641–14645. [Google Scholar] [CrossRef]
- Chaudhuri, S.K.; Malodia, L. Biosynthesis of zinc oxide nanoparticles using leaf extract of Calotropis gigantea: Characterization and its evaluation on tree seedling growth in nursery stage. Appl. Nanosci. 2017, 7, 501–512. [Google Scholar] [CrossRef]
- Patete, J.M.; Peng, X.; Koenigsmann, C.; Xu, Y.; Karn, B.; Wong, S.S. Viable methodologies for the synthesis of high-quality nanostructures. Green Chem. 2011, 13, 482–519. [Google Scholar] [CrossRef]
- Junaid, M.; Dowlath, H.; Anjum, S.; Khalith, S.B.M.; Varjani, S.; Kumar, S.; Munuswamy, G.; Woong, S.; Jin, W.; Ravindran, B. Comparison of characteristics and biocompatibility of green synthesized iron oxide nanoparticles with chemical synthesized nanoparticles. Environ. Res. 2021, 201, 111585. [Google Scholar] [CrossRef]
- Vindedahl, A.M.; Strehlau, J.H.; Arnold, W.A.; Penn, R.L. Organic matter and iron oxide nanoparticles: Aggregation, interactions, and reactivity. Environ. Sci. Nano 2016, 3, 494–505. [Google Scholar] [CrossRef]
- Yadav, S.; Jain, A.; Malhotra, P. Bioinspired synthesis and green ecological applications of reduced graphene oxide based ternary nanocomposites. Sustain. Mater. Technol. 2021, 29, e00315. [Google Scholar] [CrossRef]
- Nakbanpote, W.; Ruttanakorn, M.; Sukadeetad, K.; Sakkayawong, N.; Damrianant, S. Effects of drying and extraction methods on phenolic compounds and in vitro assays of Eclipta prostrata Linn leaf extracts. ScienceAsia 2019, 45, 127–137. [Google Scholar] [CrossRef]
- Karam, M.C.; Petit, J.; Zimmer, D.; Baudelaire Djantou, E.; Scher, J. Effects of drying and grinding in production of fruit and vegetable powders: A review. J. Food Eng. 2016, 188, 32–49. [Google Scholar] [CrossRef]
- Toropov, N.; Vartanyan, T. Noble Metal Nanoparticles: Synthesis and Optical Properties. Compr. Nanosci. Nanotechnol. 2019, 61–88. [Google Scholar] [CrossRef]
- Cinelli, M.; Coles, S.R.; Nadagouda, M.N.; Błaszczyński, J.; Słowiński, R.; Varma, R.S.; Kirwan, K. A green chemistry-based classification model for the synthesis of silver nanoparticles. Green Chem. 2015, 17, 2825–2839. [Google Scholar] [CrossRef]
- Jamzad, M.; Kamari Bidkorpeh, M. Green synthesis of iron oxide nanoparticles by the aqueous extract of Laurus nobilis L. leaves and evaluation of the antimicrobial activity. J. Nanostructure Chem. 2020, 10, 193–201. [Google Scholar] [CrossRef]
- Ghodake, G.S.; Deshpande, N.G.; Lee, Y.P.; Jin, E.S. Pear fruit extract-assisted room-temperature biosynthesis of gold nanoplates. Colloids Surfaces B Biointerfaces 2010, 75, 584–589. [Google Scholar] [CrossRef] [PubMed]
- Sanghi, R.; Verma, P. Biomimetic synthesis and characterisation of protein capped silver nanoparticles. Bioresour. Technol. 2009, 100, 501–504. [Google Scholar] [CrossRef] [PubMed]
- Beyene, H.D.; Werkneh, A.A.; Bezabh, H.K.; Ambaye, T.G. Synthesis paradigm and applications of silver nanoparticles (AgNPs), a review. Sustain. Mater. Technol. 2017, 13, 18–23. [Google Scholar] [CrossRef]
- S., M.; Narasaiah, B.P.; B., H.; G.L., B.; Padhy, H. Sunflower-Assisted Bio-Derived ZnO-NPs as an Efficient Nanocatalyst for the Synthesis of Novel Quinazolines with Highly Antioxidant Activities. Antioxidants 2022, 11, 688. [Google Scholar] [CrossRef] [PubMed]
- Antonijević, M.R.; Simijonović, D.M.; Avdović, E.H.; Ćirić, A.; Petrović, Z.D.; Marković, J.D.; Stepanić, V.; Marković, Z.S. Green one-pot synthesis of coumarin-hydroxybenzohydrazide hybrids and their antioxidant potency. Antioxidants 2021, 10, 1106. [Google Scholar] [CrossRef] [PubMed]
- Kunoh, T.; Takeda, M.; Matsumoto, S.; Suzuki, I.; Takano, M.; Kunoh, H.; Takada, J. Green Synthesis of Gold Nanoparticles Coupled with Nucleic Acid Oxidation. ACS Sustain. Chem. Eng. 2018, 6, 364–373. [Google Scholar] [CrossRef]
- Kumar, J.A.; Krithiga, T.; Manigandan, S.; Sathish, S.; Renita, A.A.; Prakash, P.; Prasad, B.S.N.; Kumar, T.R.P.; Rajasimman, M.; Hosseini-Bandegharaei, A.; et al. A focus to green synthesis of metal/metal based oxide nanoparticles: Various mechanisms and applications towards ecological approach. J. Clean. Prod. 2021, 324, 129198. [Google Scholar] [CrossRef]
- Jiménez-Rosado, M.; Gomez-Zavaglia, A.; Guerrero, A.; Romero, A. Green synthesis of ZnO nanoparticles using polyphenol extracts from pepper waste (Capsicum annuum). J. Clean. Prod. 2022, 350, 131541. [Google Scholar] [CrossRef]
- Noruzi, M.; Zare, D.; Khoshnevisan, K.; Davoodi, D. Rapid green synthesis of gold nanoparticles using Rosa hybrida petal extract at room temperature. Spectrochim. Acta Part A Mol. Biomol. Spectrosc. 2011, 79, 1461–1465. [Google Scholar] [CrossRef]
- Iravani, S. Green synthesis of metal nanoparticles using plants. Green Chem. 2011, 13, 2638–2650. [Google Scholar] [CrossRef]
- Fan, Z.; Li, J.; Yang, W.; Fu, Q.; Sun, K.; Song, Y.; Wei, Z. Green and facile synthesis of iron oxide nanoparticle-embedded N-doped biocarbon as an efficient oxygen reduction electrocatalyst for microbial fuel cells. Chem. Eng. J. 2020, 385, 123393. [Google Scholar] [CrossRef]
- Dadari, S.; Rahimi, M.; Zinadini, S. Novel antibacterial and antifouling PES nanofiltration membrane incorporated with green synthesized nickel-bentonite nanoparticles for heavy metal ions removal. Chem. Eng. J. 2022, 431, 134116. [Google Scholar] [CrossRef]
- Zayed, M.F.; Eisa, W.H. Phoenix dactylifera L. leaf extract phytosynthesized gold nanoparticles; controlled synthesis and catalytic activity. Spectrochim. Acta Part A Mol. Biomol. Spectrosc. 2014, 121, 238–244. [Google Scholar] [CrossRef]
- Gajanan, G.; Chang, M.; Kim, J.; Jin, E. Biogenic materialization using pear extract intended for the synthesis and design of ordered gold nanostructures. J. Mater. Sci. 2011, 46, 4741–4747. [Google Scholar] [CrossRef]
- Rodríguez-Carvajal, J. Recent advances in magnetic structure determination by neutron powder diffraction. Phys. B Condens. Matter 1993, 192, 55–69. [Google Scholar] [CrossRef]
- Tran, N.; Mir, A.; Mallik, D.; Sinha, A.; Nayar, S.; Webster, T.J. Bactericidal effect of iron oxide nanoparticles on Staphylococcus aureus. Int. J. Nanomedicine 2010, 5, 277–283. [Google Scholar] [CrossRef]
- Arsalani, S.; Guidelli, E.J.; Araujo, J.F.D.F.; Bruno, A.C.; Baffa, O. Green Synthesis and Surface Modification of Iron Oxide Nanoparticles with Enhanced Magnetization Using Natural Rubber Latex. ACS Sustain. Chem. Eng. 2018, 6, 13756–13765. [Google Scholar] [CrossRef]
- Nguyen, M.T.; Yu, K.; Tokunaga, T.; Boonyaperm, K.; Kheawhom, S.; Arita, M.; Yonezawa, T. Green Synthesis of Size-Tunable Iron Oxides and Iron Nanoparticles in a Salt Matrix. ACS Sustain. Chem. Eng. 2019, 7, 17697–17705. [Google Scholar] [CrossRef]
- Zhang, W.; Zhao, B.; Xiang, H.; Dai, F.-Z.; Wu, S.; Zhou, Y. One-step synthesis and electromagnetic absorption properties of high entropy rare earth hexaborides (HE REB6) and high entropy rare earth hexaborides/borates (HE REB6/HE REBO3) composite powders. J. Adv. Ceram. 2021, 10, 62–77. [Google Scholar] [CrossRef]
- Kim, K.; Jung, B.; Kim, J.; Kim, W. Effects of embedding non-absorbing nanoparticles in organic photovoltaics on power conversion efficiency. Sol. Energy Mater. Sol. Cells 2010, 94, 1835–1839. [Google Scholar] [CrossRef]
- Shiju, N.R.; Guliants, V.V. Recent developments in catalysis using nanostructured materials. Appl. Catal. A Gen. 2009, 356, 1–17. [Google Scholar] [CrossRef]
- Ju-Nam, Y.; Lead, J.R. Manufactured nanoparticles: An overview of their chemistry, interactions and potential environmental implications. Sci. Total Environ. 2008, 400, 396–414. [Google Scholar] [CrossRef] [PubMed]
- Rahman, A.; Kang, S.; McGinnis, S.; Vikesland, P.J. Life Cycle Impact Assessment of Iron Oxide (Fe3O4/γ-Fe2O3) Nanoparticle Synthesis Routes. ACS Sustain. Chem. Eng. 2022, 10, 3155–3165. [Google Scholar] [CrossRef]
- Phillips, J.; Bowen, W.; Cagin, E.; Wang, W. Electronic and Optoelectronic Devices Based on Semiconducting Zinc Oxide. Compr. Semicond. Sci. Technol. 2011, 6, 101–127. [Google Scholar] [CrossRef]
- Ajinkya, N.; Yu, X.; Kaithal, P.; Luo, H.; Somani, P.; Ramakrishna, S. Magnetic iron oxide nanoparticle (Ionp) synthesis to applications: Present and future. Materials 2020, 13, 4644. [Google Scholar] [CrossRef]
- Ali, K.; Cherian, T.; Fatima, S.; Saquib, Q. Green Synthesis of Nanoparticles: Applications and Prospects. Green Synth. Nanoparticles Appl. Prospect. 2020. [Google Scholar] [CrossRef]
- Luo, Q.; Wang, W.; Tan, J.; Yuan, Q. Surface Modified Persistent Luminescence Probes for Biosensing and Bioimaging: A Review. Chinese J. Chem. 2021, 39, 1009–1021. [Google Scholar] [CrossRef]
- Wei, Y.; Gong, C.; Zhao, M.; Zhang, L.; Yang, S.; Li, P.; Ding, Z.; Yuan, Q.; Yang, Y. Recent progress in synthesis of lanthanide-based persistent luminescence nanoparticles. J. Rare Earths 2022, 40. [Google Scholar] [CrossRef]
- Lin, Q.; Li, Z.; Ji, C.; Yuan, Q. Electronic structure engineering and biomedical applications of low energy-excited persistent luminescence nanoparticles. Nanoscale Adv. 2020, 2, 1380–1394. [Google Scholar] [CrossRef]
- Bhebhe, M.; Füller, T.N.; Chipurura, B.; Muchuweti, M. Effect of Solvent Type on Total Phenolic Content and Free Radical Scavenging Activity of Black Tea and Herbal Infusions. Food Anal. Methods 2016, 9, 1060–1067. [Google Scholar] [CrossRef]
- Efthymiopoulos, I.; Hellier, P.; Ladommatos, N.; Kay, A.; Mills-Lamptey, B. Effect of Solvent Extraction Parameters on the Recovery of Oil From Spent Coffee Grounds for Biofuel Production. Waste and Biomass Valorization 2019, 10, 253–264. [Google Scholar] [CrossRef] [PubMed]
- Blyakhman, F.A.; Safronov, A.P.; Makarova, E.B.; Fadeyev, F.A.; Shklyar, T.F.; Shabadrov, P.A.; Armas, S.F.; Kurlyandskaya, G.V. Magnetic properties of iron oxide nanoparticles do not essentially contribute to ferrogel biocompatibility. Nanomaterials 2021, 11, 1041. [Google Scholar] [CrossRef] [PubMed]
- Pinelo, M.; Rubilar, M.; Sineiro, J.; Núñez, M.J. Extraction of antioxidant phenolics from almond hulls (Prunus amygdalus) and pine sawdust (Pinus pinaster). Food Chem. 2004, 85, 267–273. [Google Scholar] [CrossRef]
- Sultana, B.; Anwar, F.; Przybylski, R. Antioxidant activity of phenolic components present in barks of Azadirachta indica, Terminalia arjuna, Acacia nilotica, and Eugenia jambolana Lam. trees. Food Chem. 2007, 104, 1106–1114. [Google Scholar] [CrossRef]
- Salgado, P.; Márquez, K.; Rubilar, O.; Contreras, D.; Vidal, G. The effect of phenolic compounds on the green synthesis of iron nanoparticles (FexOy-NPs) with photocatalytic activity. Appl. Nanosci. 2019, 9, 371–385. [Google Scholar] [CrossRef]
- Markova, Z.; Novak, P.; Kaslik, J.; Plachtova, P.; Brazdova, M.; Jancula, D.; Siskova, K.M.; Machala, L.; Marsalek, B.; Zboril, R.; et al. Iron(II,III)-polyphenol complex nanoparticles derived from green tea with remarkable ecotoxicological impact. ACS Sustain. Chem. Eng. 2014, 2, 1674–1680. [Google Scholar] [CrossRef]
- Patrón-Vázquez, J.; Baas-Dzul, L.; Medina-Torres, N.; Ayora-Talavera, T.; Sánchez-Contreras, Á.; García-Cruz, U.; Pacheco, N. The effect of drying temperature on the phenolic content and functional behavior of flours obtained from lemon wastes. Agronomy 2019, 9, 474. [Google Scholar] [CrossRef]
- Pal, P.; Syed, S.S.; Banat, F. Soxhlet Extraction of Neem Pigment to Synthesize Iron Oxide Nanoparticles and Its Catalytic and Adsorption Activity for Methylene Blue Removal. Bionanoscience 2017, 7, 546–553. [Google Scholar] [CrossRef]
- Ayala-Zavala, J.F.; Silva-Espinoza, B.A.; Cruz-Valenzuela, M.R.; Villegas-Ochoa, M.A.; Esqueda, M.; González-Aguilar, G.A.; Calderón-López, Y. Antioxidant and antifungal potential of methanol extracts of Phellinus spp. from Sonora, Mexico. Rev. Iberoam. Micol. 2012, 29, 132–138. [Google Scholar] [CrossRef]
- Zapata, K.; Cortes, F.B.; Rojano, B.A. Polifenoles y Actividad Antioxidante del Fruto de Guayaba Agria (Psidium araca). Inf. Tecnol. 2013, 24, 103–112. [Google Scholar] [CrossRef]
- Le Bail, A.; Duroy, H.; Fourquet, J.L. Ab-initio structure determination of LiSbWO6 by X-ray powder diffraction. Mater. Res. Bull. 1988, 23, 447–452. [Google Scholar] [CrossRef]
- Barzinjy, A.A.; Azeez, H.H. Green synthesis and characterization of zinc oxide nanoparticles using Eucalyptus globulus Labill. leaf extract and zinc nitrate hexahydrate salt. SN Appl. Sci. 2020, 2, 1–14. [Google Scholar] [CrossRef]
- Bibi, I.; Kamal, S.; Ahmed, A.; Iqbal, M.; Nouren, S.; Jilani, K.; Nazar, N.; Amir, M.; Abbas, A.; Ata, S.; et al. Nickel nanoparticle synthesis using Camellia Sinensis as reducing and capping agent: Growth mechanism and photo-catalytic activity evaluation. Int. J. Biol. Macromol. 2017, 103, 783–790. [Google Scholar] [CrossRef]
- Brainina, K.; Stozhko, N.; Vidrevich, M. Antioxidants: Terminology, Methods, and Future Considerations. Antioxidants 2019, 8, 297. [Google Scholar] [CrossRef]
- Abdullah, J.A.A.; Salah Eddine, L.; Abderrhmane, B.; Alonso-González, M.; Guerrero, A.; Romero, A.; Ahmed, J.A.; Salah, L.; Abderrhmane, B. Green synthesis and characterization of iron oxide nanoparticles by pheonix dactylifera leaf extract and evaluation of their antioxidant activity. Sustain. Chem. Pharm. 2020, 17, 100280. [Google Scholar] [CrossRef]
- Larrauri, J.A.; Rupérez, P.; Saura-Calixto, F. Effect of Drying Temperature on the Stability of Polyphenols and Antioxidant Activity of Red Grape Pomace Peels. J. Agric. Food Chem. 1997, 45, 1390–1393. [Google Scholar] [CrossRef]
- Djaeni, M.; Kumoro, A.C.; Sasongko, S.B.; Utari, F.D. Drying Rate and Product Quality Evaluation of Roselle ( Hibiscus sabdariffa L.) Calyces Extract Dried with Foaming Agent under Different Temperatures. Int. J. Food Sci. 2018, 2018, 1–8. [Google Scholar] [CrossRef]
- Tatiya, A.U.; Tapadiya, G.G.; Kotecha, S.; Surana, S.J. Effect of solvents on total phenolics, antioxidant and antimicrobial properties of Bridelia retusa Spreng. stem bark. Indian J. Nat. Prod. Resour. 2011, 2, 442–447. [Google Scholar]
- Awolu, O. Optimization of Solvent Extraction of Oil from Neem (Azadirachta indica) and Its Characterizations. J. Sci. Res. Reports 2013, 2, 304–314. [Google Scholar] [CrossRef]
- Grujic, N.; Lepojevic, Z.; Srdjenovic, B.; Vladic, J.; Sudji, J. Effects of different extraction methods and conditions on the phenolic composition of mate tea extracts. Molecules 2012, 17, 2518–2528. [Google Scholar] [CrossRef] [PubMed]
- Wang, Y. Xu Distribution of Antioxidant Activities and Total Phenolic Contents in Acetone, Ethanol, Water and Hot Water Extracts from 20 Edible Mushrooms via Sequential Extraction. Austin J Nutr. Food Sci. 2014, 2, 1–5. [Google Scholar]
- Galanakis, C.M.; Goulas, V.; Tsakona, S.; Manganaris, G.A.; Gekas, V. A knowledge base for the recovery of natural phenols with different solvents. Int. J. Food Prop. 2013, 16, 382–396. [Google Scholar] [CrossRef]
- Ayachi, A.A.; Mechakra, H.; Silvan, M.M.; Boudjaadar, S.; Achour, S. Monodisperse α-Fe2O3 nanoplatelets: Synthesis and characterization. Ceram. Int. 2015, 41, 2228–2233. [Google Scholar] [CrossRef]
- Noukelag, S.K.; Arendse, C.J.; Maaza, M. Biosynthesis of hematite phase a-Fe2O3nanoparticles using an aqueous extract of Rosmarinus officinalis leaves. Mater. Today Proc. 2020, 43, 3679–3683. [Google Scholar] [CrossRef]
- Venkateswarlu, S.; Natesh Kumar, B.; Prasad, C.H.; Venkateswarlu, P.; Jyothi, N.V.V. Bio-inspired green synthesis of Fe3O4 spherical magnetic nanoparticles using Syzygium cumini seed extract. Phys. B Condens. Matter 2014, 449, 67–71. [Google Scholar] [CrossRef]
- Santoyo Salazar, J.; Perez, L.; De Abril, O.; Truong Phuoc, L.; Ihiawakrim, D.; Vazquez, M.; Greneche, J.-M.M.; Begin-Colin, S.; Pourroy, G. Magnetic iron oxide nanoparticles in 10-40 nm range: Composition in terms of magnetite/maghemite ratio and effect on the magnetic properties. Chem. Mater. 2011, 23, 1379–1386. [Google Scholar] [CrossRef]
- Wang, A.; Sudarsanam, P.; Xu, Y.; Zhang, H.; Li, H.; Yang, S. Functionalized magnetic nanosized materials for efficient biodiesel synthesis: Via acid-base/enzyme catalysis. Green Chem. 2020, 22, 2977–3012. [Google Scholar] [CrossRef]
- Degen, T.; Sadki, M.; Bron, E.; König, U.; Nénert, G. The HighScore suite. Powder Diffr. 2014, 29, S13–S18. [Google Scholar] [CrossRef]
- Jafari, A.; Farjami Shayesteh, S.; Salouti, M.; Boustani, K. Effect of annealing temperature on magnetic phase transition in Fe3O4 nanoparticles. J. Magn. Magn. Mater. 2015, 379, 305–312. [Google Scholar] [CrossRef]
- Niyom, Y.; Phakkeeree, T.; Flood, A.; Crespy, D. Synergy between polymer crystallinity and nanoparticles size for payloads release. J. Colloid Interface Sci. 2019, 550, 139–146. [Google Scholar] [CrossRef] [PubMed]
- Drummer, S.; Madzimbamuto, T.; Chowdhury, M. Green Synthesis of Transition-Metal Nanoparticles and Their Oxides: A Review. Materials 2021, 14, 2700. [Google Scholar] [CrossRef] [PubMed]
- Casillas, P.E.G.; Gonzalez, C.A.R.; Pérez, C.A.M. Infrared Spectroscopy of Functionalized Magnetic Nanoparticles. Infrared Spectrosc. - Mater. Sci. Eng. Technol. 2012. [Google Scholar] [CrossRef][Green Version]
- Bertolucci, E.; Galletti, A.M.R.; Antonetti, C.; Marracci, M.; Tellini, B.; Piccinelli, F.; Visone, C. Chemical and magnetic properties characterization of magnetic nanoparticles. In Proceedings of the 2015 IEEE International Instrumentation and Measurement Technology Conference (I2MTC) Proceedings, Pisa, Italy, 11–14 May 2015; pp. 1492–1496. [Google Scholar] [CrossRef]
- Nalbandian, L.; Patrikiadou, E.; Zaspalis, V.; Patrikidou, A.; Hatzidaki, E.N.; Papandreou, C. Magnetic Nanoparticles in Medical Diagnostic Applications: Synthesis, Characterization and Proteins Conjugation. Curr. Nanosci. 2015, 12, 455–468. [Google Scholar] [CrossRef]
- Răcuciu, M.; Oancea, S. ATR-FTIR Versus Raman spectroscopy used for structural analyses of the iron oxide nanoparticles. Rom. Reports Phys. 2019, 71, 1–10. [Google Scholar]
- Vinayagam, R.; Pai, S.; Varadavenkatesan, T.; Narasimhan, M.K.; Narayanasamy, S.; Selvaraj, R. Structural characterization of green synthesized α-Fe2O3 nanoparticles using the leaf extract of Spondias dulcis. Surfaces and Interfaces 2020, 20. [Google Scholar] [CrossRef]
- Manzo, M.; Ahmed, H.; Nasrazadani, S. Study on emission spectral lines of hematite and magnetite for purity’s differentiation. AIP Adv. 2020, 10. [Google Scholar] [CrossRef]
- Li, Y.S.; Church, J.S.; Woodhead, A.L. Infrared and Raman spectroscopic studies on iron oxide magnetic nano-particles and their surface modifications. J. Magn. Magn. Mater. 2012, 324, 1543–1550. [Google Scholar] [CrossRef]
- Zhang, S.; Wu, W.; Xiao, X.; Zhou, J.; Ren, F.; Jiang, C. Preparation and characterization of spindle-like Fe 3 O 4 mesoporous nanoparticles. Nanoscale Res. Lett. 2011, 6, 89. [Google Scholar] [CrossRef]
- Rajeswari, V.D.; Khalifa, A.S.; Elfasakhany, A.; Badruddin, I.A.; Kamangar, S.; Brindhadevi, K. Green and ecofriendly synthesis of cobalt oxide nanoparticles using Phoenix dactylifera L: Antimicrobial and photocatalytic activity. Appl. Nanosci. 2021, 11. [Google Scholar] [CrossRef]
- Mohan Kumar, K.; Mandal, B.K.; Siva Kumar, K.; Sreedhara Reddy, P.; Sreedhar, B. Biobased green method to synthesise palladium and iron nanoparticles using Terminalia chebula aqueous extract. Spectrochim. Acta Part A Mol. Biomol. Spectrosc. 2013, 102, 128–133. [Google Scholar] [CrossRef] [PubMed]
- Hsu, C.-M.; Huang, Y.-H.; Chen, H.-J.; Lee, W.-C.; Chiu, H.-W.; Maity, J.P.; Chen, C.-C.; Kuo, Y.-H.; Chen, C.-Y. Green synthesis of nano-Co3O4 by Microbial Induced Precipitation (MIP) process using Bacillus pasteurii and its application as supercapacitor. Mater. Today Commun. 2018, 14, 302–311. [Google Scholar] [CrossRef]
- Wang, T.; Jin, X.; Chen, Z.; Megharaj, M.; Naidu, R. Science of the Total Environment Green synthesis of Fe nanoparticles using eucalyptus leaf extracts for treatment of eutrophic wastewater. Sci. Total Environ. 2014, 466–467, 210–213. [Google Scholar] [CrossRef] [PubMed]
- Zhao, X.; Zhou, L.; Shahid, M.; Rajoka, R.; Yan, L.; Shao, D.; Zhu, J.; Shi, J.; Huang, Q.; Yang, H. Critical Reviews in Biotechnology Fungal silver nanoparticles: Synthesis, application and challenges. Crit. Rev. Biotechnol. 2018, 38, 817–835. [Google Scholar] [CrossRef]
- Demirbas, A.; Welt, B.A.; Ocsoy, I. Biosynthesis of red cabbage extract directed Ag NPs and their effect on the loss of antioxidant activity. Mater. Lett. 2016, 179, 20–23. [Google Scholar] [CrossRef]
- Öztürk, F.; Ço, S.; Duman, F. Materials Science & Engineering C Biosynthesis of silver nanoparticles using leaf extract of Aesculus hippocastanum ( horse chestnut ): Evaluation of their antibacterial, antioxidant and drug release system activities. Mater. Sci. Eng. 2020, 107. [Google Scholar] [CrossRef]
- Bedlovičová, Z.; Strapáč, I.; Baláž, M.; Salayová, A. A brief overview on antioxidant activity determination of silver nanoparticles. Molecules 2020, 25, 3191. [Google Scholar] [CrossRef]
- Gudikandula, K.; Vadapally, P.; Charya, M.A.S. OpenNano Biogenic synthesis of silver nanoparticles from white rot fungi: Their characterization and antibacterial studies. OpenNano 2017, 2, 64–78. [Google Scholar] [CrossRef]
- Patra, J.K.; Baek, K.H. Green biosynthesis of magnetic iron oxide (Fe3O4) nanoparticles using the aqueous extracts of food processing wastes under photo-catalyzed condition and investigation of their antimicrobial and antioxidant activity. J. Photochem. Photobiol. B Biol. 2017, 173, 291–300. [Google Scholar] [CrossRef]






| Sample | Size (µm) | Extraction Yield (%) | TPC (mg GAE/g Extract) | TAC (mg GAE/mg Extract) |
|---|---|---|---|---|
| T25 °C Etanol Ext. | 90.56 ± 2.35 a | 53.77 ± 0.77 c | 38.64 ± 1.72 a,b | 0.92 ± 0.45 a,b |
| T25 °C H2O Ext. | 51.35 ± 0.57 d | 42.28 ± 0.79 a | 2.04 ± 0.48 a | |
| T50 °C Etanol Ext. | 47.75 ± 1.48 b | 56.13 ± 0.29 b | 35.13 ± 3.17 b,c | 0.87 ± 0.21 a,b |
| T50 °C H2O Ext. | 54.45 ± 0.77 b,c | 38.47 ± 2.01 a,b | 1.95 ± 0.75 a,b | |
| T100 °C Etanol Ext. | 44.85 ± 1.25 b | 58.53 ± 0.99 a | 33.23 ± 2.72 b,c,d | 0.77 ± 0.52 a,b |
| T100 °C H2O Ext. | 55.15 ± 0.72 b,c | 37.55 ± 2.04 a,b | 1.70 ± 0.28 a,b | |
| T150 °C Etanol Ext. | 36.98 ± 1.07 a | 59.63 ± 0.65 a | 29.02 ± 1.50 d | 0.66 ± 0.30 b |
| T150 °C H2O Ext. | 59.57 ± 0.77 a | 29.59 ± 0.85 d,c | 1.49 ± 0.63 a,b |
| Sample | Fe2O3 (%) | Fe3O4 (%) | Crystallinity (%) | D DRX (nm) | D SEM (nm | IC50 (mg/mL) | IC50 NPs/IC50 Ext | TAC (mg GAE/mg) | |
|---|---|---|---|---|---|---|---|---|---|
| GS FexOy-NPs | T 25 °C Ethanol Ext. | 45.8 | 54.2 | 68.7 g | 36 ± 10 | 37 ± 1 d | 0.29 ± 0.11 b | 0.55 | 24.76 ± 1.48 a |
| T 25 °C H2O Ext. | 46.3 | 53.7 | 66.5 h | 36 ± 12 | 36 ± 1 d | 0.25 ± 0.09 b | 0.54 | 18.34 ± 1.09 a,b,c | |
| T 50 °C Ethanol Ext. | 79.8 | 20.2 | 71.3 e | 38 ± 10 | 38 ± 1 c,d | 0.64 ± 0.31 a,b | 0.96 | 21.54 ± 1.70 a,b | |
| T 50 °C H2O Ext. | 75.1 | 24.9 | 71.0 f | 38 ± 7 | 37 ± 1 d | 1.39 ± 0.67 a,b | 2.14 | 15.82 ± 0.70 b,c | |
| T 100 °C Ethanol Ext. | 87.6 | 12.4 | 76.0 c | 42 ± 16 | 41 ± 2 b,c | 1.14 ± 0.90 a,b | 2.58 | 21.41 ± 0.29 a,b | |
| T 100 °C H2O Ext. | 88.9 | 11.1 | 73.8 d | 42 ± 16 | 42 ± 1 b,c | 0.68 ± 0.41 a,b | 1.66 | 12.43 ± 2.20 c,d | |
| T 150 °C Ethanol Ext. | 90.2 | 9.8 | 85.9 b | 44 ± 16 | 45 ± 1 b | 2.12 ± 1.64 a | 4.07 | 15.31 ± 0.78 b,c | |
| T 150 °C H2O Ext. | 92.8 | 7.2 | 86.6 a | 45 ± 16 | 43 ± 1 b | 0.81 ± 0.10 a,b | 0.92 | 12.51 ± 3.46 c,d | |
| CS FexOy-NPs | 68.9 | 31.31 | 46.7 i | 59 ± 24 | 59 ± 20 a | 1.24 ± 0.32 a,b | - | 8.56 ± 0.84 d | |
Publisher’s Note: MDPI stays neutral with regard to jurisdictional claims in published maps and institutional affiliations. |
© 2022 by the authors. Licensee MDPI, Basel, Switzerland. This article is an open access article distributed under the terms and conditions of the Creative Commons Attribution (CC BY) license (https://creativecommons.org/licenses/by/4.0/).
Share and Cite
Abdullah, J.A.A.; Jiménez-Rosado, M.; Perez-Puyana, V.; Guerrero, A.; Romero, A. Green Synthesis of FexOy Nanoparticles with Potential Antioxidant Properties. Nanomaterials 2022, 12, 2449. https://doi.org/10.3390/nano12142449
Abdullah JAA, Jiménez-Rosado M, Perez-Puyana V, Guerrero A, Romero A. Green Synthesis of FexOy Nanoparticles with Potential Antioxidant Properties. Nanomaterials. 2022; 12(14):2449. https://doi.org/10.3390/nano12142449
Chicago/Turabian StyleAbdullah, Johar Amin Ahmed, Mercedes Jiménez-Rosado, Víctor Perez-Puyana, Antonio Guerrero, and Alberto Romero. 2022. "Green Synthesis of FexOy Nanoparticles with Potential Antioxidant Properties" Nanomaterials 12, no. 14: 2449. https://doi.org/10.3390/nano12142449
APA StyleAbdullah, J. A. A., Jiménez-Rosado, M., Perez-Puyana, V., Guerrero, A., & Romero, A. (2022). Green Synthesis of FexOy Nanoparticles with Potential Antioxidant Properties. Nanomaterials, 12(14), 2449. https://doi.org/10.3390/nano12142449

