Reversible Conversion of Odd/Even One-Way Modes in Magneto-Optical Photonic Crystal Double-Channel Waveguides
Abstract
:1. Introduction
2. Materials and Methods
3. Results
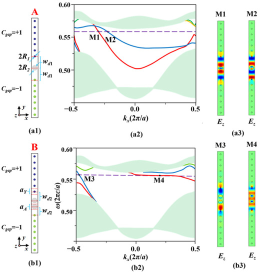
3.1. Dispersion Relation Analysis of Double-Channel Waveguide
3.2. Transmission Characteristics of Odd/Even One-Way Modes in Double-Channel Waveguides
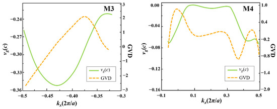
3.3. Robustness Analysis of One-Way Waveguide Modes
3.3.1. Robustness of M1, M2, M3, M4 Modes
3.3.2. Phase Effect of PEC on Waveguide Mode
3.4. Reversible Mode Conversion between Odd and Even Modes in the Double-Channel Waveguides
3.4.1. Odd/Even Mode Conversion
3.4.2. Periodic Conversion of Modes
3.4.3. Validation of Continuous Reversible Mode Conversion
3.5. Transmission Spectra Analysis of Double-Channel Waveguides
4. Conclusions
Author Contributions
Funding
Institutional Review Board Statement
Informed Consent Statement
Data Availability Statement
Conflicts of Interest
References
- Ozawa, T.; Price, H.M.; Amo, A.; Goldman, N.; Hafezi, M.; Lu, L.; Carusotto, I. Topological photonics. Rev. Mod. Phys. 2019, 91, 015006. [Google Scholar] [CrossRef] [Green Version]
- Tang, G.; He, X.; Shi, F.; Liu, J.; Chen, X.; Dong, J. Topological photonic crystals: Physics, designs and applications. Photonics Rev. 2022, 16, 2100300. [Google Scholar] [CrossRef]
- Wang, X.; Zhao, W.; Zhang, H.; Elshahat, S.; Lu, C. Magnetic-Optic Effect-Based Topological State: Realization and Application. Front. Mater. 2022, 8, 588. [Google Scholar] [CrossRef]
- Liu, H.; Su, Z.; Zhang, Z.-Q.; Jiang, H. Topological Anderson insulator in two-dimensional non-Hermitian systems. Chin. Phys. B 2020, 29, 050502. [Google Scholar] [CrossRef]
- Qin, M.; Xiao, S.; Liu, W.; Ouyang, M.; Yu, T.; Wang, T.; Liao, Q. Strong coupling between excitons and magnetic dipole quasi-bound states in the continuum in WS2-TiO2 hybrid metasurfaces. Opt. Express 2021, 29, 18026. [Google Scholar] [CrossRef]
- Chen, J.; Liang, W.; Li, Z.-Y. Revealing photonic Lorentz force as the microscopic origin of topological photonic states. J. Nanophotonics 2020, 9, 3217–3226. [Google Scholar] [CrossRef] [Green Version]
- He, L.; Gao, Y.-F.; Jiang, Z.; Wang, L.-S.; Zhou, J.; Xu, X.-F. A unidirectional air waveguide basing on coupling of two self-guiding edge modes. Opt. Laser Technol. 2018, 108, 265–272. [Google Scholar] [CrossRef]
- Yu, Z.; Veronis, G.; Wang, Z.; Fan, S. One-Way Electromagnetic Waveguide Formed at the Interface between a Plasmonic Metal under a Static Magnetic Field and a Photonic Crystal. Phys. Rev. Lett. 2008, 100, 023902. [Google Scholar] [CrossRef] [Green Version]
- Raghu, S.; Haldane, F.D.M. Analogs of quantum-Hall-effect edge states in photonic crystals. Phys. Rev. A 2008, 78, 033834. [Google Scholar] [CrossRef] [Green Version]
- Haldane, F.D.M.; Raghu, S. Possible realization of directional optical waveguides in photonic crystals with broken time-reversal symmetry. Phys. Rev. Lett. 2008, 100, 013904. [Google Scholar] [CrossRef] [Green Version]
- Wang, Z.; Chong, Y.; Joannopoulos, J.D.; Soljačić, M. Observation of unidirectional backscattering-immune topological electromagnetic states. Nature 2009, 461, 772–775. [Google Scholar] [CrossRef] [PubMed] [Green Version]
- Chen, J.; Liang, W.; Li, Z.-Y. Switchable slow light rainbow trapping and releasing in strongly coupling topological photonic systems. Photonics Res. 2019, 7, 1075–1080. [Google Scholar] [CrossRef]
- Guglielmon, J.; Rechtsman, M.C. Broadband Topological Slow Light through Higher Momentum-Space Winding. Phys. Rev. Lett. 2019, 122, 153904. [Google Scholar] [CrossRef] [Green Version]
- Schulz, S.A.; Upham, J.; O’Faolain, L.; Boyd, R.W. Photonic crystal slow light waveguides in a kagome lattice. Opt. Lett. 2017, 42, 3243–3246. [Google Scholar] [CrossRef] [PubMed]
- Li, F.-F.; Wang, H.-X.; Xiong, Z.; Lou, Q.; Chen, P.; Wu, R.-X.; Poo, Y.; Jiang, J.-H.; John, S. Topological light-trapping on a dislocation. Nat. Commun. 2018, 9, 2462. [Google Scholar] [CrossRef] [PubMed]
- Chen, J.; Liang, W.; Li, Z.-Y. Antichiral one-way edge states in a gyromagnetic photonic crystal. Phys. Rev. B 2020, 101, 214102. [Google Scholar] [CrossRef]
- Zhou, P.; Liu, G.-G.; Yang, Y.; Hu, Y.-H.; Ma, S.; Xue, H.; Wang, Q.; Deng, L.; Zhang, B. Observation of Photonic Antichiral Edge States. Phys. Rev. Lett. 2020, 125, 263603. [Google Scholar] [CrossRef] [PubMed]
- Fu, J.-X.; Lian, J.; Liu, R.-J.; Gan, L.; Li, Z.-Y. Unidirectional channel-drop filter by one-way gyromagnetic photonic crystal waveguides. Appl. Phys. Lett. 2011, 98, 211104. [Google Scholar] [CrossRef]
- Liu, K.; Shen, L.; He, S. One-way edge mode in a gyromagnetic photonic crystal slab. Opt. Lett. 2012, 37, 4110–4112. [Google Scholar] [CrossRef] [Green Version]
- Poo, Y.; Wu, R.-X.; Lin, Z.; Yang, Y.; Chan, C.T. Experimental Realization of Self-Guiding Unidirectional Electromagnetic Edge States. Phys. Rev. Lett. 2011, 106, 093903. [Google Scholar] [CrossRef]
- He, C.; Chen, X.-L.; Lu, M.-H.; Li, X.-F.; Wan, W.-W.; Qian, X.-S.; Yin, R.-C.; Chen, Y.-F. Tunable one-way cross-waveguide splitter based on gyromagnetic photonic crystal. Appl. Phys. Lett. 2010, 96, 111111. [Google Scholar] [CrossRef]
- Zhang, J.; Zhao, B.; Xue, Y.; Zhou, T.; Yang, Z. Coupling effect of topological states and Chern insulators in two-dimensional triangular lattices. Phys. Rev. B 2018, 97, 125430. [Google Scholar] [CrossRef] [Green Version]
- Gao, F.; Gao, Z.; Shi, X.; Yang, Z.; Lin, X.; Xu, H.; Joannopoulos, J.D.; Soljačić, M.; Chen, H.; Lu, L.; et al. Probing topological protection using a designer surface plasmon structure. Nat. Commun. 2016, 7, 11619. [Google Scholar] [CrossRef]
- Chen, Z.-G.; Mei, J.; Sun, X.-C.; Zhang, X.; Zhao, J.; Wu, Y. Multiple topological phase transitions in a gyromagnetic photonic crystal. Phys. Rev. A 2017, 95, 043827. [Google Scholar] [CrossRef] [Green Version]
- Yang, B.; Zhang, H.; Shi, Q.; Wu, T.; Ma, Y.; Lv, Z.; Xiao, X.; Dong, R.; Yan, X.; Zhang, X. Details of the topological state transition induced by gradually increased disorder in photonic Chern insulators. Opt. Express 2020, 28, 31487–31498. [Google Scholar] [CrossRef] [PubMed]
- Chen, J.; Li, Z.-Y. Prediction and Observation of Robust One-Way Bulk States in a Gyromagnetic Photonic Crystal. Phys. Rev. Lett. 2022, 128, 257401. [Google Scholar] [CrossRef]
- Zhuang, S.; Chen, J.; Liang, W.; Li, Z.Y. Zero GVD slow-light originating from a strong coupling of one-way modes in double-channel magneto-optical photonic crystal waveguides. Opt. Express 2021, 29, 2478–2487. [Google Scholar] [CrossRef]









Publisher’s Note: MDPI stays neutral with regard to jurisdictional claims in published maps and institutional affiliations. |
© 2022 by the authors. Licensee MDPI, Basel, Switzerland. This article is an open access article distributed under the terms and conditions of the Creative Commons Attribution (CC BY) license (https://creativecommons.org/licenses/by/4.0/).
Share and Cite
Yu, X.; Zhuang, S.; Chen, J.; Li, Z.-Y.; Liang, W. Reversible Conversion of Odd/Even One-Way Modes in Magneto-Optical Photonic Crystal Double-Channel Waveguides. Nanomaterials 2022, 12, 2448. https://doi.org/10.3390/nano12142448
Yu X, Zhuang S, Chen J, Li Z-Y, Liang W. Reversible Conversion of Odd/Even One-Way Modes in Magneto-Optical Photonic Crystal Double-Channel Waveguides. Nanomaterials. 2022; 12(14):2448. https://doi.org/10.3390/nano12142448
Chicago/Turabian StyleYu, Xinyue, Suna Zhuang, Jianfeng Chen, Zhi-Yuan Li, and Wenyao Liang. 2022. "Reversible Conversion of Odd/Even One-Way Modes in Magneto-Optical Photonic Crystal Double-Channel Waveguides" Nanomaterials 12, no. 14: 2448. https://doi.org/10.3390/nano12142448
APA StyleYu, X., Zhuang, S., Chen, J., Li, Z.-Y., & Liang, W. (2022). Reversible Conversion of Odd/Even One-Way Modes in Magneto-Optical Photonic Crystal Double-Channel Waveguides. Nanomaterials, 12(14), 2448. https://doi.org/10.3390/nano12142448

