An Ultrathin Tunable Metamaterial Absorber for Lower Microwave Band Based on Magnetic Nanomaterial
Abstract
:1. Introduction
2. Design and Simulation
2.1. EM Properties of Magnetic Nanomaterial
2.2. Element Design
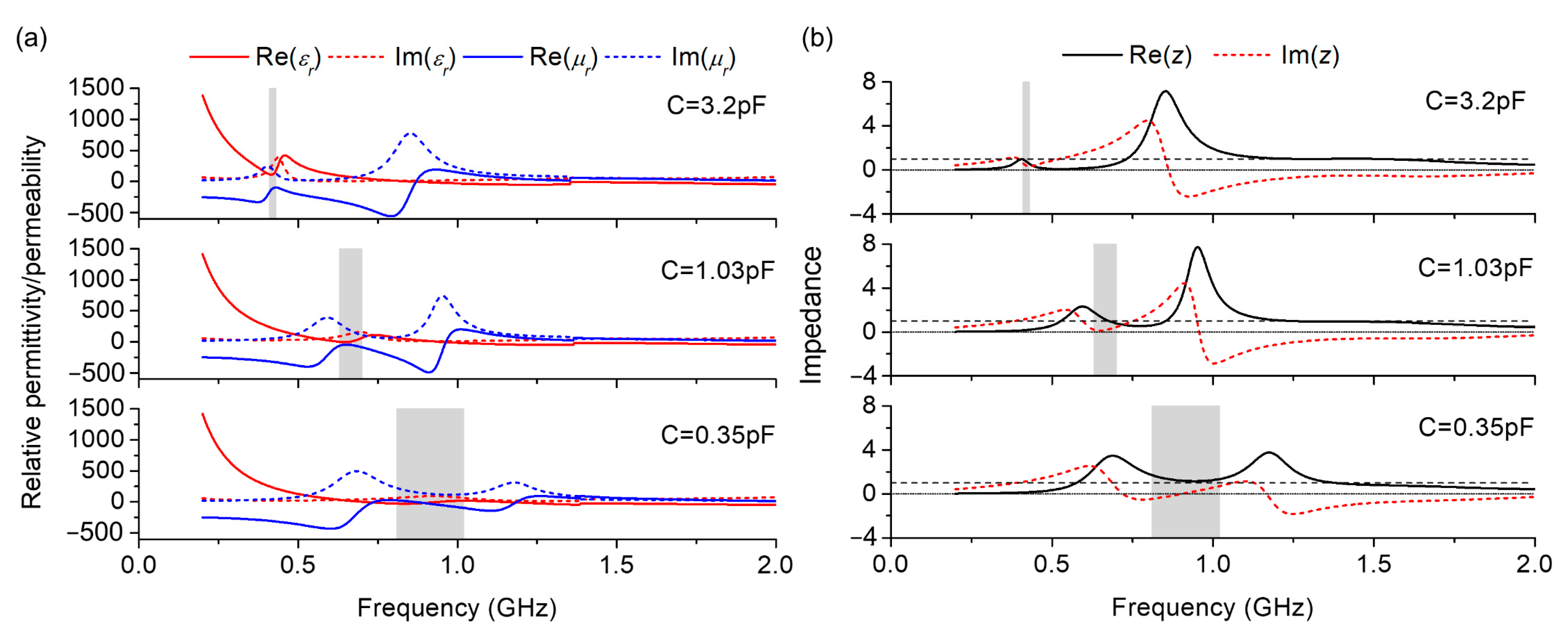
2.3. Analysis of the Working Mechanism
2.4. Angular Performance
2.5. Performance Evaluation
3. Experiment Results and Discussion
4. Conclusions
Author Contributions
Funding
Data Availability Statement
Acknowledgments
Conflicts of Interest
References
- Micheli, D.; Apollo, C.; Pastore, R.; Marchetti, M. X-Band microwave characterization of carbon-based nanocomposite material, absorption capability comparison and RAS design simulation. Compos. Sci. Technol. 2010, 70, 400–409. [Google Scholar] [CrossRef]
- Yusoff, A.N.; Abdullah, M.H.; Ahmad, S.H.; Jusoh, S.F.; Mansor, A.A.; Hamid, S.A.A. Electromagnetic and absorption properties of some microwave absorbers. J. Appl. Phys. 2002, 92, 876–882. [Google Scholar] [CrossRef]
- Bregar, V.B. Advantages of ferromagnetic nanoparticle composites in microwave absorbers. IEEE Trans. Magn. 2004, 40, 1679–1684. [Google Scholar] [CrossRef]
- Landy, N.I.; Sajuyigbe, S.; Mock, J.J.; Smith, D.R.; Padilla, W.J. Perfect metamaterial absorber. Phys. Rev. Lett. 2008, 100, 207402. [Google Scholar] [CrossRef] [PubMed]
- Kowerdziej, R.; Jaroszewicz, L. Tunable dual-band liquid crystal based near-infrared perfect metamaterial absorber with high-loss metal. Liq. Cryst. 2019, 46, 1568–1573. [Google Scholar] [CrossRef]
- Zhou, Z.; Chen, K.; Zhao, J.; Chen, P.; Jang, T.; Zhu, B.; Feng, Y.; Li, Y. Metasurface Salisbury screen: Achieving ultra-wideband microwave absorption. Opt. Express 2017, 25, 30241. [Google Scholar] [CrossRef] [PubMed]
- Zhou, Z.; Chen, K.; Zhu, B.; Zhao, J.; Feng, Y.; Li, Y. Ultra-Wideband Microwave Absorption by Design and Optimization of Metasurface Salisbury Screen. IEEE Access 2018, 6, 26843–26853. [Google Scholar] [CrossRef]
- Knott, E.F.; Lunden, C.D. Two-sheet capacitive Jaumann absorber. IEEE Trans. Antennas Propag. 1995, 43, 1339–1343. [Google Scholar] [CrossRef]
- Munk, B.A.; Munk, P.; Pryor, J. On designing Jaumann and circuit analog absorbers (CA absorbers) for oblique angle of incidence. IEEE Trans. Antennas Propag. 2007, 55, 186–193. [Google Scholar] [CrossRef]
- Shu, Y.H. A numerical simulation study on P-band electromagnetic scattering property of several radar stealthy targets. Mod. Radar. 2017, 39, 9–15. [Google Scholar]
- Sun, L.; Cheng, H.; Zhou, Y.; Wang, J. Broadband metamaterial absorber based on coupling resistive frequency selective surface. Opt. Express 2012, 20, 4675. [Google Scholar] [CrossRef] [PubMed]
- Huang, L.; Chowdhury, D.R.; Ramani, S.; Reiten, M.T.; Luo, S.N.; Taylor, A.J.; Chen, H.T. Experimental demonstration of terahertz metamaterial absorbers with a broad and flat high absorption band. Opt. Lett. 2012, 37, 154. [Google Scholar] [CrossRef] [PubMed] [Green Version]
- Singh, P.K.; Korolev, K.A.; Afsar, M.N.; Sonkusale, S. Single and dual band 77/95/110 GHz metamaterial absorbers on flexible polyimide substrate. Appl. Phys. Lett. 2011, 99, 26. [Google Scholar] [CrossRef]
- Pang, Y.; Cheng, H.; Zhou, Y.; Li, Z.; Wang, J. Ultrathin and broadband high impedance surface absorbers based on metamaterial substrates. Opt. Express 2012, 20, 2515. [Google Scholar] [CrossRef] [PubMed]
- Tran, M.C.; Pham, V.H.; Ho, T.H.; Nguyen, T.T.; Do, H.T.; Bui, X.K.; Bui, S.T.; Le, D.T.; Pham, T.L.; Vu, D.L. Broadband microwave coding metamaterial absorbers. Sci. Rep. 2020, 10, 1810. [Google Scholar] [CrossRef] [PubMed]
- Hoque, A.; Islam, M.T.; Almutairi, A.F.; Alam, T.; Singh, M.J.; Amin, N. A polarization independent quasi-TEM metamaterial absorber for X and Ku band sensing applications. Sensors 2018, 18, 4209. [Google Scholar] [CrossRef] [Green Version]
- Yoo, Y.J.; Zheng, H.Y.; Kim, Y.J.; Rhee, J.Y.; Kang, J.H.; Kim, K.W.; Cheong, H.; Kim, Y.H.; Lee, Y.P. Flexible and elastic metamaterial absorber for low frequency, based on small-size unit cell. Appl. Phys. Lett. 2014, 105, 041902. [Google Scholar] [CrossRef]
- Khuyen, B.X.; Tung, B.S.; Kim, Y.J.; Hwang, J.S.; Kim, K.W.; Rhee, J.Y.; Lam, V.D.; Kim, Y.H.; Lee, Y.P. Ultra-subwavelength thickness for dual/triple-band metamaterial absorber at very low frequency. Sci. Rep. 2018, 8, 11632. [Google Scholar] [CrossRef] [Green Version]
- Rozanov, K.N. Ultimate thickness to bandwidth ratio of radar absorbers. IEEE Trans. Antennas Propag. 2000, 48, 1230–1234. [Google Scholar] [CrossRef]
- Sun, L.; Cheng, H.; Zhou, Y.; Wang, J. Design of a lightweight magnetic radar absorber embedded with resistive FSS. IEEE Antennas Wirel. Propag. Lett. 2012, 11, 675–678. [Google Scholar]
- Zhang, L.; Zhou, P.; Zhang, H.; Lu, L.; Zhang, G.; Chen, H.; Lu, H.; Xie, J.; Deng, L. A broadband radar absorber based on perforated magnetic polymer composites embedded with FSS. IEEE Trans. Magn. 2014, 50, 4004305. [Google Scholar]
- Deng, T.; Li, Z.W.; Chen, Z.N. Ultrathin Broadband Absorber Using Frequency-Selective Surface and Frequency-Dispersive Magnetic Materials. IEEE Trans. Antennas Propag. 2017, 65, 5886–5894. [Google Scholar] [CrossRef]
- Sanz-Izquierdo, B.; Parker, E.A.; Batchelor, J.C. Dual-band tunable screen using complementary split ring resonators. IEEE Trans. Antennas Propag. 2010, 58, 3769–3773. [Google Scholar] [CrossRef]
- Taylor, P.S.; Parker, E.A.; Batchelor, J.C. An active annular ring frequency selective surface. IEEE Trans. Antennas Propag. 2011, 59, 3265–3271. [Google Scholar] [CrossRef] [Green Version]
- Chen, Q.; Jiang, J.J.; Xu, X.X.; Zhang, L.; Miao, L.; Bie, S.W. A thin and broadband tunable radar absorber using active frequency selective surface. IEEE Antennas Propag. Soc. APS Int. Symp. 2012, 4, 12–13. [Google Scholar]
- Thummaluru, S.R.; Chaudhary, R.K. Polarization controllable and wide-angle frequency tunable metamaterial absorber. J. Appl. Phys. 2018, 124, 204901. [Google Scholar] [CrossRef]
- Costa, F.; Monorchio, A.; Pietro Vastante, G. Tunable high-impedance surface with a reduced number of varactors. IEEE Antennas Wirel. Propag. Lett. 2011, 10, 11–13. [Google Scholar] [CrossRef]
- Xu, W.; Sonkusale, S. Microwave diode switchable metamaterial reflector/absorber. Appl. Phys. Lett. 2013, 103, 031902. [Google Scholar] [CrossRef]
- Zhang, Y.; Cao, Z.; Huang, Z.; Miao, L.; Bie, S.; Jiang, J. Ultrabroadband Double-Sided and Dual-Tuned Active Absorber for UHF Band. IEEE Trans. Antennas Propag. 2021, 69, 1204–1208. [Google Scholar] [CrossRef]
- Wang, B.; Wei, J.; Yang, Y.; Wang, T.; Li, F. Investigation on peak frequency of the microwave absorption for carbonyl iron/epoxy resin composite. J. Magn. Magn. Mater. 2011, 323, 1101–1103. [Google Scholar] [CrossRef]
- Ning, J.; Dong, S.; Luo, X.; Chen, K.; Zhao, J.; Jiang, T.; Feng, Y. Ultra-broadband microwave absorption by ultra-thin metamaterial with stepped structure induced multi-resonances. Results Phys. 2020, 18, 103320. [Google Scholar] [CrossRef]
- Tretyakov, S.A. Analytical Modeling in Applied Electromagnetics; Artech House: Boston, MA, USA, 2003. [Google Scholar]
- Shen, Y.; Zhang, J.; Pang, Y.; Zheng, L.; Wang, J.; Ma, H.; Qu, S. Thermally Tunable Ultra-wideband Metamaterial Absorbers based on Three-dimensional Water-substrate construction. Sci. Rep. 2018, 8, 4423. [Google Scholar] [CrossRef] [PubMed] [Green Version]
- Chen, X.; Grzegorczyk, T.M.; Wu, B.I.; Pacheco, J.; Kong, J.A. Robust method to retrieve the constitutive effective parameters of metamaterials. Phys. Rev. E Stat. Phys. Plasmas Fluids Relat. Interdiscip. Top. 2004, 70, 7. [Google Scholar] [CrossRef] [PubMed] [Green Version]
- Ye, D.; Wang, Z.; Xu, K.; Li, H.; Huangfu, J.; Wang, Z.; Ran, L. Ultrawideband dispersion control of a metamaterial surface for perfectly matched-layer-like absorption. Phys. Rev. Lett. 2013, 111, 187402. [Google Scholar] [CrossRef] [PubMed]
- Smith, D.R.; Vier, D.C.; Koschny, T.; Soukoulis, C.M. Electromagnetic parameter retrieval from inhomogeneous metamaterials. Phys. Rev. E Stat. Nonlinear Soft Matter Phys. 2005, 71, 036617. [Google Scholar] [CrossRef] [PubMed] [Green Version]
- Qu, S.; Hou, Y.; Sheng, P. Conceptual-based design of an ultrabroadband microwave metamaterial absorber. Proc. Natl. Acad. Sci. USA 2021, 118, e2110490118. [Google Scholar] [CrossRef] [PubMed]
- Jackson, J.D. Classical Electrodynamics; Wiley: New York, NY, USA, 1999. [Google Scholar]
- Nakanishi, T.; Tamayama, Y.; Kitano, M. Efficient second harmonic generation in a metamaterial with two resonant modes coupled through two varactor diodes. Appl. Phys. Lett. 2012, 100, 044103. [Google Scholar] [CrossRef] [Green Version]
- Shang, Y.; Shen, Z.; Xiao, S. On the design of single-layer circuit analog absorber using double-square-loop array. IEEE Trans. Antennas Propag. 2013, 61, 6022–6029. [Google Scholar] [CrossRef]
- Qian, G.; Zhao, J.; Ren, X.; Chen, K.; Jiang, T.; Feng, Y.; Liu, Y. Switchable Broadband Dual-Polarized Frequency-Selective Rasorber/Absorber. IEEE Antennas Wirel. Propag. Lett. 2019, 18, 2508–2512. [Google Scholar] [CrossRef]
- Han, Y.; Che, W. Low-profile broadband absorbers based on capacitive surfaces. IEEE Antennas Wirel. Propag. Lett. 2017, 16, 74–78. [Google Scholar] [CrossRef]









| Parameters | h1 | h2 | h3 | p1 | p2 |
|---|---|---|---|---|---|
| Value (mm) | 3 | 2 | 2 | 88 | 54 |
| Parameters | w1 | w2 | w3 | w4 | Total thickness |
| Value (mm) | 2 | 1 | 42 | 25 | 5 |
Publisher’s Note: MDPI stays neutral with regard to jurisdictional claims in published maps and institutional affiliations. |
© 2022 by the authors. Licensee MDPI, Basel, Switzerland. This article is an open access article distributed under the terms and conditions of the Creative Commons Attribution (CC BY) license (https://creativecommons.org/licenses/by/4.0/).
Share and Cite
Ning, J.; Chen, K.; Zhao, W.; Zhao, J.; Jiang, T.; Feng, Y. An Ultrathin Tunable Metamaterial Absorber for Lower Microwave Band Based on Magnetic Nanomaterial. Nanomaterials 2022, 12, 2135. https://doi.org/10.3390/nano12132135
Ning J, Chen K, Zhao W, Zhao J, Jiang T, Feng Y. An Ultrathin Tunable Metamaterial Absorber for Lower Microwave Band Based on Magnetic Nanomaterial. Nanomaterials. 2022; 12(13):2135. https://doi.org/10.3390/nano12132135
Chicago/Turabian StyleNing, Jing, Ke Chen, Wenbo Zhao, Junming Zhao, Tian Jiang, and Yijun Feng. 2022. "An Ultrathin Tunable Metamaterial Absorber for Lower Microwave Band Based on Magnetic Nanomaterial" Nanomaterials 12, no. 13: 2135. https://doi.org/10.3390/nano12132135
APA StyleNing, J., Chen, K., Zhao, W., Zhao, J., Jiang, T., & Feng, Y. (2022). An Ultrathin Tunable Metamaterial Absorber for Lower Microwave Band Based on Magnetic Nanomaterial. Nanomaterials, 12(13), 2135. https://doi.org/10.3390/nano12132135

