An Electrochemical Sensor Based on a Nitrogen-Doped Carbon Material and PEI Composites for Sensitive Detection of 4-Nitrophenol
Abstract
:1. Introduction
2. Experimental
2.1. Chemicals and Reagents
2.2. Apparatus
2.3. Synthesis of NC Material
2.4. Fabrication of NC–PEI/GCE
2.5. Procedure
3. Results and Discussion
3.1. Characterization of NC and NC–PEI Composite
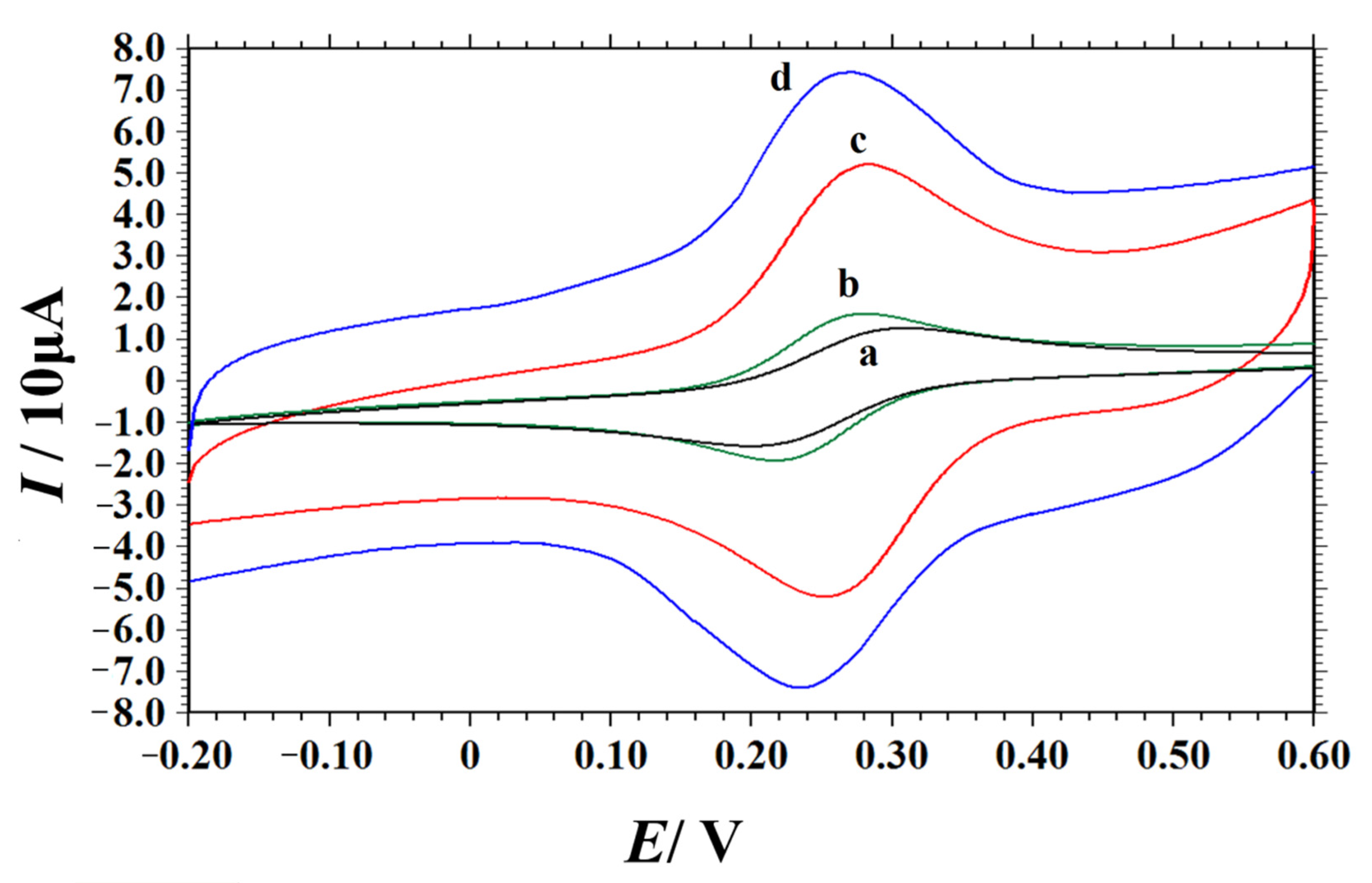
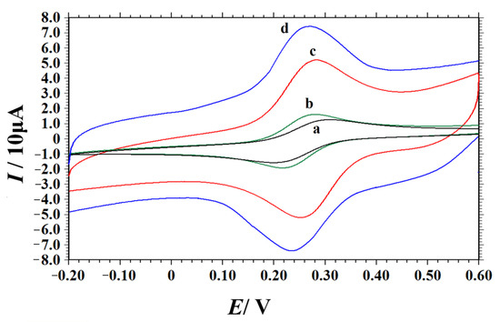
3.2. Electrochemical Characterization of Different Electrodes
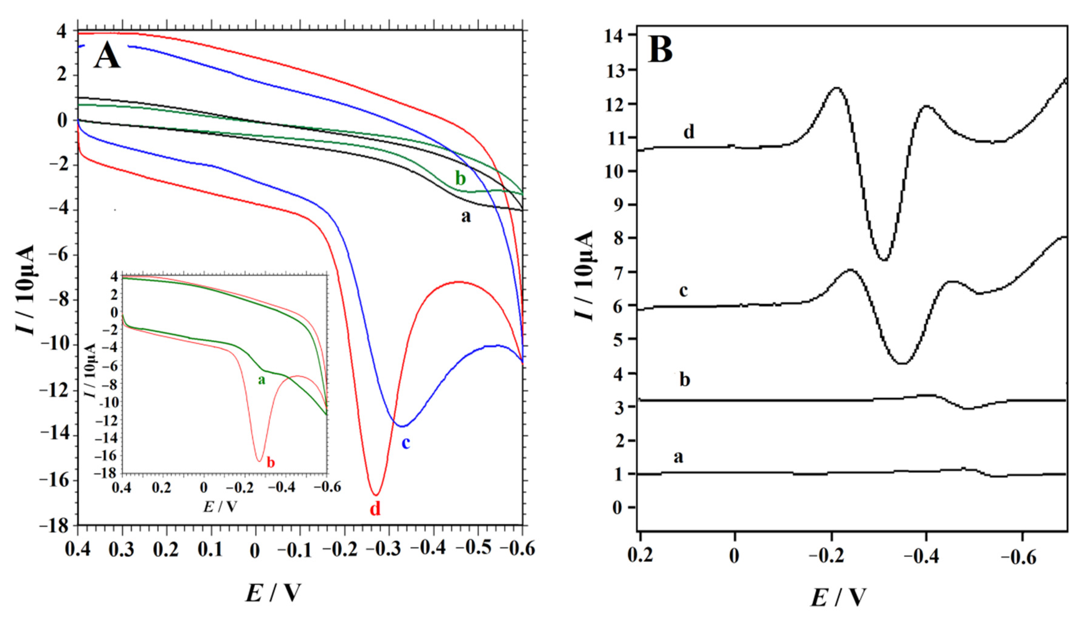
3.3. Voltammetric Behavior of 4-NP on Different Electrodes
3.4. Optimization of the Determination Conditions
3.5. Effect of Scan Rate
3.6. Determination of 4-NP Using SDLSV
3.7. Investigation of the Selectivity
3.8. Evaluation of the Repeatability, Reproducibility and Stability
3.9. Analysis of the Real Sample
4. Conclusions
Author Contributions
Funding
Institutional Review Board Statement
Informed Consent Statement
Data Availability Statement
Conflicts of Interest
References
- Nie, X.; Deng, P.; Wang, H.; Tang, Y. Toxic Substance Control Act; US Environmental Protection Agency: Washington, DC, USA, 1979.
 - Nistor, C.; Oubiña, A.; Marco, M.P.; Barceló, D.; Emnéus, J. Competitive flow immunoassay with fluorescence detection for determination of 4-nitrophenol. Anal. Chim. Acta 2001, 426, 185–195. [Google Scholar] [CrossRef]
 - Roy, A.C.; Nisha, V.S.; Dhand, C.; Ali, M.A.; Malhotra, B.D. Molecularly imprinted polyaniline-polyvinyl sulphonic acid composite based sensor for para-nitrophenol detection. Anal. Chim. Acta 2013, 777, 63–71. [Google Scholar] [CrossRef]
 - Delnavaz, E.; Amjadi, M. An ultrasensitive chemiluminescence assay for 4-nitrophenol by using luminol–NaIO4 reaction catalyzed by copper, nitrogen co-doped carbon dots. Spectrochim. Acta A 2020, 241, 118608. [Google Scholar] [CrossRef]
 - Yang, J.M.; Hu, X.W.; Liu, Y.X.; Zhang, W. Fabrication of a carbon quantum dots-immobilized zirconium-based metal-organic framework composite fluorescence sensor for highly sensitive detection of 4-nitrophenol. Micropor. Mesopor. Mat. 2019, 274, 149–154. [Google Scholar] [CrossRef]
 - Almási, A.; Fischer, E.; Perjési, P. A simple and rapid ion-pair HPLC method for simultaneous quantitation of 4-nitrophenol and its glucuronide and sulfate conjugates. J. Biochem. Biophys. Methods 2006, 69, 43–50. [Google Scholar] [CrossRef]
 - Guo, X.; Wang, Z.; Zhou, S. The separation and determination of nitrophenol isomers by high-performance capillary zone electrophoresis. Talanta 2004, 64, 135–139. [Google Scholar] [CrossRef]
 - Cacho, J.I.; Campillo, N.; Viñas, P.; Hernández-Córdoba, M. Dispersive liquid-liquid microextraction for the determination of nitrophenols in soils by microvial insert large volume injection-gas chromatography–mass spectrometry. J. Chromatogr. A 2016, 1456, 27–33. [Google Scholar] [CrossRef]
 - Deng, P.; Feng, J.; Xiao, J.; Liu, J.; Nie, X.; Li, J.; He, Q. Highly sensitive voltammetric sensor for nanomolar dopamine detection based on facile electrochemical reduction of graphene oxide and ceria nanocomposite. J. Electrochem. Soc. 2020, 167, 146511. [Google Scholar] [CrossRef]
 - Deng, P.; Nie, X.; Wu, Y.; Tian, Y.; Li, J.; He, Q. A cost-saving preparation of nickel nanoparticles/nitrogen-carbon nanohybrid as effective advanced electrode materials for highly sensitive tryptophan sensor. Microchem. J. 2021, 160, 105744. [Google Scholar] [CrossRef]
 - Ding, Z.; Deng, P.; Wu, Y.; Tian, Y.; Li, G.; Liu, J.; He, Q. A novel modified electrode for detection of the food colorant sunset yellow based on nanohybrid of MnO2 nanorods-decorated electrochemically reduced graphene oxide. Molecules 2019, 24, 1178. [Google Scholar] [CrossRef] [Green Version]
 - Wu, Y.; Deng, P.; Tian, Y.; Ding, Z.; Li, G.; Liu, J.; Zuberi, Z.; He, Q. Rapid recognition and determination of tryptophan by carbon nanotubes and molecularly imprinted polymer-modified glassy carbon electrode. Bioelectrochemistry 2020, 131, 107393. [Google Scholar] [CrossRef] [PubMed]
 - Feng, J.; Deng, P.; Xiao, J.; Tian, Y.; Wu, Y.; Liu, J.; Li, G.; He, Q. New voltammetric method for determination of tyrosine in foodstuffs using an oxygen-functionalized multi-walled carbon nanotubes modified acetylene black paste electrode. J. Food Compos. Anal. 2021, 96, 103708. [Google Scholar] [CrossRef]
 - Li, G.; Zhong, P.; Ye, Y.; Wan, X.; Cai, Z.; Yang, S.; Xia, Y.; Li, Q.; Liu, J.; He, Q. A highly densitive and stable dopamine sensor using shuttle-like α-Fe2O3 nanoparticles/electro-reduced graphene oxide composites. J. Electrochem. Soc. 2019, 166, B1552–B1561. [Google Scholar] [CrossRef]
 - Wu, Y.; Deng, P.; Tian, Y.; Feng, J.; Xiao, J.; Li, J.; Liu, J.; Li, G.; He, Q. Simultaneous and sensitive determination of ascorbic acid, dopamine and uric acid via an electrochemical sensor based on PVP-graphene composite. J. Nanobiotechnol. 2020, 18, 112. [Google Scholar] [CrossRef]
 - He, Q.; Li, G.; Liu, X.; Liu, J.; Deng, P.; Chen, D. Morphologically tunable MnO2 nanoparticles fabrication, modelling and their influences on electrochemical sensing performance toward dopamine. Catalysts 2018, 8, 323. [Google Scholar] [CrossRef] [Green Version]
 - Wu, Y.; Deng, P.; Tian, Y.; Magesa, F.; He, Q. Construction of effective electrochemical sensor for the determination of quinoline yellow based on different morphologies of manganese dioxide functionalized graphene. J. Food Compos. Anal. 2019, 84, 103280. [Google Scholar] [CrossRef]
 - Tian, Y.; Deng, P.; Wu, Y.; Liu, J.; Li, J.; Li, G.; He, Q. High sensitive voltammetric sensor for nanomolarity vanillin detection in food samples via manganese dioxide nanowires hybridized electrode. Microchem. J. 2020, 157, 104885. [Google Scholar] [CrossRef]
 - Tian, Y.; Deng, P.; Wu, Y.; Li, J.; Liu, J.; Li, G.; He, Q. MnO2 Nanowires-Decorated Reduced Graphene Oxide Modified Glassy Carbon Electrode for Sensitive Determination of Bisphenol A. J. Electrochem. Soc. 2020, 167, 046514. [Google Scholar] [CrossRef]
 - Xu, X.; Liu, Z.; Zhang, X.; Duan, S.; Xu, S.; Zhou, C. β-cyclodextrin functionalized mesoporous silica for electrochemical selective sensor: Simultaneous determination of nitrophenol isomers. Electrochim. Acta 2011, 58, 142–149. [Google Scholar] [CrossRef]
 - Li, J.; Kuang, D.; Feng, Y.; Zhang, F.; Xu, Z.; Liu, M. A graphene oxide-based electrochemical sensor for sensitive determination of 4-nitrophenol. J. Hazard. Mater. 2012, 201–202, 250–259. [Google Scholar] [CrossRef]
 - Zeng, Y.; Zhou, Y.; Zhou, T.; Shi, G. A novel composite of reduced graphene oxide and molecularlyimprinted polymer for electrochemical sensing 4-nitrophenol. Electrochim. Acta 2014, 130, 504–511. [Google Scholar] [CrossRef]
 - Lupu, S.; Lete, C.; Marin, M.; Totir, N.; Balaure, P.C. Electrochemical sensors based on platinum electrodes modified with hybrid inorganic–organic coatings for determination of 4-nitrophenol and dopamine. Electrochim. Acta 2009, 54, 1932–1938. [Google Scholar] [CrossRef]
 - Huang, Y.; Bai, S.; Huang, J.; Ma, Y.; Zeng, Q.; Wang, M.; Wang, L. Simultaneous detection of nitrophenol isomers using an easy-to-fabricate thiophene-based microporous polymer film modified electrode. Microchem. J. 2020, 153, 104465. [Google Scholar] [CrossRef]
 - Deng, P.; Xu, Z.; Li, J. Simultaneous voltammetric determination of 2-nitrophenol and 4-nitrophenol based on an acetylene black paste electrode modified with a graphene-chitosan composite. Microchim. Acta 2014, 181, 1077–1084. [Google Scholar] [CrossRef]
 - Deng, P.; Xu, Z.; Feng, Y.; Li, J. Electrocatalytic reduction and determination of p-nitrophenol on acetylene black paste electrode coated with salicylaldehyde-modified chitosan. Sensor. Actuators B Chem. 2012, 168, 381–389. [Google Scholar] [CrossRef]
 - He, Q.; Tian, Y.; Wu, Y.; Liu, J.; Li, G.; Deng, P. Facile and ultrasensitive determination of 4-nitrophenol based on acetylene black paste and graphene hybrid Electrode. Nanomaterials 2019, 9, 429. [Google Scholar] [CrossRef] [Green Version]
 - Ji, Y.; Li, Y.; Ren, B.; Liu, X.; Li, Y.; Soar, J. Nitrogen-doped graphene-ionic liquid-glassy carbon microsphere paste electrode for ultra-sensitive determination of quercetin. Microchem. J. 2020, 155, 104689. [Google Scholar] [CrossRef]
 - Ghanbari, M.H.; Norouzi, Z. A new nanostructure consisting of nitrogen-doped carbon nanoonions for an electrochemical sensor to the determination of doxorubicin. Microchem. J. 2020, 157, 105098. [Google Scholar] [CrossRef]
 - Jing, N.; Tian, M.; Wang, Y.; Zhang, Y. Nitrogen-doped carbon dots synthesized from acrylic acid and ethylenediamine for simple and selective determination of cobalt ions in aqueous media. J. Lumin. 2019, 206, 169–175. [Google Scholar] [CrossRef]
 - Wang, M.; Chen, K.; Liu, J.; He, Q.; Li, G.; Li, F. Efficiently enhancing electrocatalytic activity of α-MnO2 nanorods/N-doped Ketjenblack carbon for oxygen reduction reaction and oxygen evolution reaction using facile regulated hydrothermal treatment. Catalysts 2018, 8, 138. [Google Scholar] [CrossRef] [Green Version]
 - Han, R.; Ma, J.; Yang, C.; Cui, T.; Liu, W.; Wang, S. Synthesis of nitrogen-doped carbon nanocages for sensitive electrochemical detection of uric acid. Mater. Lett. 2019, 255, 126520. [Google Scholar] [CrossRef]
 - Liang, Y.; Lu, Y.; Xiao, G.; Zhang, J.; Chi, H.; Dong, Y. Hierarchical porous nitrogen-doped carbon microspheres after thermal rearrangement as high performance electrode materials for supercapacitors. Appl. Surf. Sci. 2020, 529, 147141. [Google Scholar] [CrossRef]
 - Zhang, W.; Bao, Y.; Bao, A. Preparation of nitrogen-doped hierarchical porous carbon materials by a template-free method and application to CO2 capture. J. Environ. Chem. Eng. 2020, 8, 103732. [Google Scholar] [CrossRef]
 - Zhang, H.; Ling, Y.; Peng, Y.; Zhang, J.; Guan, S. Nitrogen-doped porous carbon materials derived from ionic liquids as electrode for supercapacitor. Inorg. Chem. Commun. 2020, 115, 107856. [Google Scholar] [CrossRef]
 - Hussain, I.; Qi, J.; Sun, X.; Wang, L.; Li, J. Melamine derived nitrogen-doped carbon sheet for the efficient removal of chromium (VI). J. Mol. Liq. 2020, 318, 114052. [Google Scholar] [CrossRef]
 - Lei, W.; Han, L.; Xuan, C.; Lin, R.; Liu, H.; Xin, H.L.; Wang, D. Nitrogen-doped carbon nanofibers derived from polypyrrole coated bacterial cellulose as high-performance electrode materials for supercapacitors and Li-ion batteries. Electrochim. Acta 2016, 210, 130–137. [Google Scholar] [CrossRef] [Green Version]
 - Zhao, H.; Li, L.; Liu, Y.; Geng, X.; Yang, H.; Sun, C.; An, B. Synthesis and ORR performance of nitrogen-doped ordered microporous carbon by CVD of acetonitrile vapor using silanized zeolite as template. Appl. Surf. Sci. 2020, 504, 144438. [Google Scholar] [CrossRef]
 - Zhu, Y.; Yan, L.; Xu, M.; Li, Y.; Song, X.; Yin, L. Difference between ammonia and urea on nitrogen doping of graphene quantum dots. Colloids Surf. A 2020, 610, 125703. [Google Scholar] [CrossRef]
 - Zhang, D.; Wang, J.; Wang, Q.; Huang, S.; Feng, H.; Luo, H. Nitrogen self-doped porous carbon material derived from metal-organic framework for high-performance super-capacitors. J. Energy Storage 2019, 25, 100904. [Google Scholar] [CrossRef]
 - Wang, X.; Wang, W.; Qin, R.; Xu, D.; Li, Y.; Ou, A.; Lai, W.; Liu, Y.; Liu, X. Defluorination-assisted heteroatom doping reaction with ammonia gas for synthesis of nitrogen-doped porous graphitized carbon. Chem. Eng. J. 2018, 354, 261–268. [Google Scholar] [CrossRef]
 - Li, J.; Xu, Z.; Liu, M.; Deng, P.; Tang, S.; Jiang, J.; Feng, H.; Qian, D.; He, L. Ag/N-doped reduced graphene oxide incorporated with molecularly imprinted polymer: An advanced electrochemical sensing platform for salbutamol determination. Biosens. Bioelectron. 2017, 90, 210–216. [Google Scholar] [CrossRef] [PubMed]
 - Li, J.; Jiang, J.; Zhao, D.; Xu, Z.; Liu, M.; Deng, P.; Liu, X.; Yang, C.; Qian, D.; Xie, H. Facile synthesis of Pd/N-doped reduced graphene oxide via a moderate wet-chemical route for non-enzymatic electrochemical detection of estradiol. J. Alloys Compd. 2018, 769, 566–575. [Google Scholar] [CrossRef]
 - Mostazo-López, M.J.; Ruiz-Rosas, R.; Morallón, E. Nitrogen doped superporous carbon prepared by a mild method: Enhancement of supercapacitor performance. Int. J. Hydrogen Energy 2016, 41, 19691–19701. [Google Scholar] [CrossRef]
 - Raymundo-Piñero, E.; Cazorla-Amorós, D.; Linares-Solano, A. Structural characterization of N-containing activated carbon fibers prepared from a low softening point petroleum pitch and a melamine resin. Carbon 2002, 40, 597–608. [Google Scholar] [CrossRef]
 - Yamada, Y.; Kim, J.; Matsuo, S. Nitrogen-containing graphene analyzed by X-ray photoelectron spectroscopy. Carbon 2014, 70, 59–74. [Google Scholar] [CrossRef]
 - Nie, X.; Deng, P.; Zhang, R.; Tang, Z.; Wang, H.; Tang, Y. Nickel nanoparticles supported on nitrogen-doped carbon for vanillin detection. ACS Appl. Nano Mater. 2020, 3, 11791–11800. [Google Scholar] [CrossRef]
 - Wang, Y.; Qiao, M.; Mamat, X.; Hu, X.; Hu, G. Hierarchically ordered porous nitrogen doped carbon modified a glassy carbon electrode for voltammetry detection of quercetin. Mater. Res. Bull. 2021, 136, 111131. [Google Scholar] [CrossRef]
 - Qin, Q.; Brandi, F.; Badamdorj, B.; Oschatz, M.; Al-Naji, M. Preparation and functionalization of free-standing nitrogen-doped carbon-based catalyst electrodes for electrocatalytic N2 fixation. Mol. Catal. 2021, 515, 111935. [Google Scholar] [CrossRef]
 - Bard, A.J.; Faulkner, L.R. Electrochemical Methods: Fundamentals and Applications, 2nd ed.; John Wiley and Sons: New York, NY, USA, 2001. [Google Scholar]
 - Gooding, J.J.; Praig, V.G.; Hall, E.A.H. Platinum-catalyzed enzyme electrodes immobilized on gold using self-assembled layers. Anal. Chem. 1998, 70, 2396–2402. [Google Scholar] [CrossRef]
 - Zuman, P.; Fijalek, Z.; Dumanovic, D.; Suznjevic, D. Polarographic and electrochemical studies of some aromatic and heterocyclic nitro compounds, part I: General mechanistic aspects. Electroanalysis 1992, 4, 783–794. [Google Scholar] [CrossRef]
 - Laviron, E.; Vallat, A.; Meunier-Prest, R. The reduction mechanism of aromatic nitro compounds in aqueous medium: Part V. The reduction of nitrosobenzene between pH 0.4 and 13. J. Electroanal. Chem. 1994, 379, 427–435. [Google Scholar] [CrossRef]
 - Zuman, P.; Fijaiek, Z. Reaction of electrogenerated arylhydroxylamines and nitrosobenzene in the course of reduction of nitrobenzene under conditions of cyclic voltammetry. J. Electroanal. Chem. Interfacial Electrochem. 1990, 296, 589–593. [Google Scholar] [CrossRef]
 - Deng, P.; Xiao, J.; Feng, J.; Tian, Y.; Wu, Y.; Li, J.; He, Q. Highly sensitive electrochemical sensor for tyrosine detection using a sub-millimeter electrode. Microchem. J. 2021, 165, 106106. [Google Scholar] [CrossRef]
 - Deng, P.; Feng, J.; Wei, Y.; Xiao, J.; Li, J.; He, Q. Fast and ultrasensitive trace malachite green detection in aquaculture and fisheries by using hexadecylpyridinium bromide modified electrochemical sensor. J. Food Compos. Anal. 2021, 102, 104003. [Google Scholar] [CrossRef]
 - Deng, P.; Feng, J.; Xiao, J.; Wei, Y.; Liu, X.; Li, J.; He, Q. Application of a simple and sensitive electrochemical sensor in simultaneous determination of paracetamol and ascorbic Acid. J. Electrochem. Soc. 2021, 168, 096501. [Google Scholar] [CrossRef]
 









| Technique | Sensor | Linear Range (μM) | Detection Limit (μM) | Reference | 
|---|---|---|---|---|
| a DPV | e PNPI-PANI-PVSA/ITO | Not reported | 1.0 | [3] | 
| DPV | f CDSBA/CPE | 0.2–1.6 | 0.01 | [20] | 
| b LSV | g GO/GCE | 0.1–120 | 0.02 | [21] | 
| DPV | h RGO–MIP/GCE | 0.01–100 | 0.005 | [22] | 
| c SWV | i PAZ/Pt | 30–90 | 8.23 | [23] | 
| DPV | j PTTB/GCE | 0.3–15 | 0.05 | [24] | 
| d SDLSV | k Gr–Chit/ABPE | 0.1–80 | 0.08 | [25] | 
| SDLSV | l S–CHIT/ABPE | 0.08–2 | 0.03 | [26] | 
| SDLSV | m GR/ABPE | 0.02–100 | 0.008 | [27] | 
| SDLSV | NC–PEI/GCE | 0.06–10; 10–100 | 0.01 | This work | 
| Samples a | Added (μM)  | Found b (μM)  | RSD | Recovery (%)  | 
|---|---|---|---|---|
| River water | 5.0 | 5.13 | 3.1 | 102.6 | 
| Lake water | 10.0 | 10.38 | 2.8 | 103.8 | 
| Domestic sewage | 40.0 | 38.86 | 3.7 | 97.2 | 
| Industrial waste water | 20.0 | 20.94 | 4.6 | 104.7 | 
| Tap water | 1.0 | 0.96 | 2.1 | 96.0 | 
Publisher’s Note: MDPI stays neutral with regard to jurisdictional claims in published maps and institutional affiliations.  | 
© 2021 by the authors. Licensee MDPI, Basel, Switzerland. This article is an open access article distributed under the terms and conditions of the Creative Commons Attribution (CC BY) license (https://creativecommons.org/licenses/by/4.0/).
Share and Cite
Nie, X.; Deng, P.; Wang, H.; Tang, Y. An Electrochemical Sensor Based on a Nitrogen-Doped Carbon Material and PEI Composites for Sensitive Detection of 4-Nitrophenol. Nanomaterials 2022, 12, 86. https://doi.org/10.3390/nano12010086
Nie X, Deng P, Wang H, Tang Y. An Electrochemical Sensor Based on a Nitrogen-Doped Carbon Material and PEI Composites for Sensitive Detection of 4-Nitrophenol. Nanomaterials. 2022; 12(1):86. https://doi.org/10.3390/nano12010086
Chicago/Turabian StyleNie, Xue, Peihong Deng, Haiyan Wang, and Yougen Tang. 2022. "An Electrochemical Sensor Based on a Nitrogen-Doped Carbon Material and PEI Composites for Sensitive Detection of 4-Nitrophenol" Nanomaterials 12, no. 1: 86. https://doi.org/10.3390/nano12010086
APA StyleNie, X., Deng, P., Wang, H., & Tang, Y. (2022). An Electrochemical Sensor Based on a Nitrogen-Doped Carbon Material and PEI Composites for Sensitive Detection of 4-Nitrophenol. Nanomaterials, 12(1), 86. https://doi.org/10.3390/nano12010086
        
                                                
