Ferromagnetic Resonance and Antiresonance in Composite Medium with Flakes of Finemet-Like Alloy
Abstract
1. Introduction
2. Materials and Methods
3. Results
3.1. Resonance Phenomena in Magnetized Composite Media
3.1.1. Propagation of Electromagnetic Waves in Transversely Magnetized Medium
3.1.2. Propagation Tensor of Magnetic Permeability of the Media with a Single Particle
3.1.3. Tensor of Magnetic Permeability of Composite Medium
3.1.4. Magnetic Permeability of Ensemble of Arbitrarily Directed Particles
3.2. Reflection, Transmission Coefficients and Dissipation of Microwaves
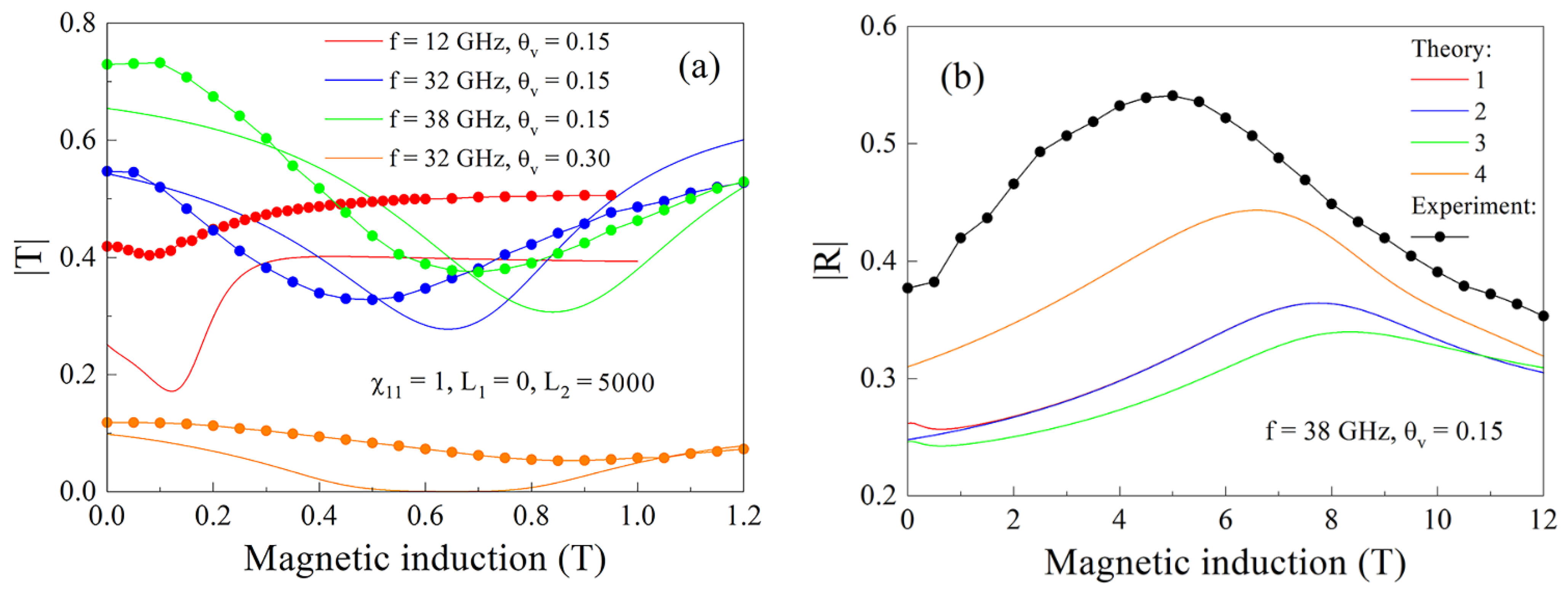
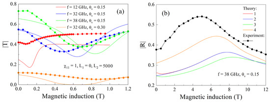
4. Microwave Results
5. Discussion
6. Conclusions
Author Contributions
Funding
Institutional Review Board Statement
Informed Consent Statement
Data Availability Statement
Acknowledgments
Conflicts of Interest
References
- Kumar, V.; Kalia, S.; Swart, H.C. (Eds.) Conducting Polymer Hybrids; Springer: Cham, Switzerland, 2017. [Google Scholar]
- Lagarkov, A.N.; Rozanov, K.N. High-Frequency Behavior of Magnetic Composites. J. Magn. Magn. Mater. 2009, 321, 2082–2092. [Google Scholar] [CrossRef]
- Sihvola, A. Electromagnetic Mixing Formulas and Applications; The Institution of Electrical Engineers: London, UK, 1999. [Google Scholar]
- Brosseau, C.; Talbot, P. Effective Magnetic Permeability of Ni and Co Micro- and Nanoparticles Embedded in a ZnO Matrix. J. Appl. Phys. 2005, 97, 104325. [Google Scholar] [CrossRef]
- Lan, M.; Cai, J.; Zhang, D.; Yuan, L.; Xu, Y. Electromagnetic Shielding Effectiveness and Mechanical Property of Polymer–Matrix Composites Containing Metallized Conductive Porous Flake-Shaped Diatomite. Compos. Part B 2014, 67, 132–137. [Google Scholar] [CrossRef]
- Yang, R.B.; Liang, W.F. Microwave Absorbing Characteristics of Flake-Shaped FeNiMo/Epoxy Composites. J. Appl. Phys. 2013, 113, 17A315. [Google Scholar] [CrossRef]
- Dosoudil, R.; Lisý, K.; Kruželák, J. Permeability, Permittivity and EM-Wave Absorption Properties of Polymer Composites Filled with Mnzn Ferrite and Carbon Black. Acta Phys. Pol. 2020, 137, 827–830. [Google Scholar] [CrossRef]
- Qin, F.; Brosseau, C. A Review and Analysis of Microwave Absorption in Polymer Composites Filled with Carbonaceous Particles. J. Appl. Phys. 2012, 111, 061301. [Google Scholar] [CrossRef]
- Gurevich, A.G.; Melkov, G.A. Magnetic Oscillations and Waves; CRC Press: Boca Raton, FL, USA, 1996. [Google Scholar]
- Heinrich, B.; Mescheryakov, V.F. Transmission of an electromagnetic wave by a ferromagnetic metal in the antiresonance region. Sov. Phys. JETP 1971, 32, 232–237. [Google Scholar]
- Kaganov, M.I. Excitation of standing spin waves in a film. Sov. Phys. JETP 1960, 12, 114–116. [Google Scholar]
- Ustinov, V.V.; Rinkevich, A.B.; Perov, D.V.; Burkhanov, A.M.; Samoilovich, M.I.; Kleshcheva, S.M.; Kuznetsov, E.A. Giant Antiresonance in Electromagnetic Wave Reflection from a 3D Structure with Ferrite Spinel Nanoparticles. Tech. Phys. 2013, 58, 568–577. [Google Scholar] [CrossRef]
- Rinkevich, A.B.; Ryabkov, Y.I.; Perov, D.V.; Nemytova, O.V. Microwave Refraction Coefficient of Composite with Flakes of Fe-Si-Nb-Cu-B Alloy. J. Magn. Magn. Mater. 2021, 529, 167901. [Google Scholar] [CrossRef]
- Mikhalitsyna, E.A.; Kataev, V.A.; Larrañaga, A.; Lepalovskij, V.N.; Kurlyandskaya, G.V. Nanocrystallization in FINEMET-Type Fe73.5Nb3Cu1Si13.5B9 and Fe72.5Nb1.5Mo2Cu1.1Si14.2B8.7 Thin Films. Materials 2020, 13, 348. [Google Scholar] [CrossRef] [PubMed]
- Ramprasad, R.; Zurcher, P.; Petras, M.; Miller, M. Magnetic Properties of Metallic Ferromagnetic Nanoparticle Composites. J. Appl. Phys. 2004, 96, 519–529. [Google Scholar] [CrossRef]
- Skomski, R.; Hadjipanayis, G.C.; Sellmyer, D.J. Effective Demagnetizing Factors of Complicated Particle Mixtures. IEEE Trans. Magn. 2007, 43, 2956–2958. [Google Scholar] [CrossRef]
- Sareni, B.; Krahenbuhl, L.; Beroual, A.; Brosseau, C. Complex Effective Permittivity of a Lossy Composite Material. J. Appl. Phys. 1996, 80, 4560–4565. [Google Scholar] [CrossRef][Green Version]
- Thabet, A.; Repetto, M. A Theoretical Investigation on Effective Permeability of New Magnetic Composite Materials. Int. J. Electr. Eng. Inform. 2014, 6, 521–531. [Google Scholar] [CrossRef]
- Godin, Y.A. Effective Complex Permittivity Tensor of a Periodic Array of Cylinders. J. Math. Phys. 2013, 54, 053505. [Google Scholar] [CrossRef]
- Lagar’kov, A.N.; Panina, L.V.; Sarychev, A.K. Effective Magnetic Permeability of Composite Materials Near the Percolation Threshold. Sov. Phys. JETP 1987, 66, 123–126. [Google Scholar] [CrossRef]
- Belkadi, M.; Ramdane, B.; Trichet, D.; Fouladgar, J. Non Linear Homogenization for Calculation of Electromagnetic Properties of Soft Magnetic Composite Materials. IEEE Trans. Magn. 2009, 45, 4317–4320. [Google Scholar] [CrossRef]
- Neo, C.P.; Yang, Y.; Ding, J. Calculation of Complex Permeability of Magnetic Composite Materials Using Ferromagnetic Resonance Model. J. Appl. Phys. 2010, 107, 083906. [Google Scholar] [CrossRef]
- Chevalier, A.; Mattei, J.-L.; Le Floc’h, M. Ferromagnetic Resonance of Isotropic Heterogeneous Magnetic Materials: Theory and Experiments. J. Magn. Magn. Mater. 2000, 215–216, 66–68. [Google Scholar] [CrossRef][Green Version]
- Mattei, J.-L.; Le Floc’h, M. A Numerical Approach of the Inner Demagnetizing Effects in Soft Magnetic Composites. J. Magn. Magn. Mater. 2000, 215–216, 589–591. [Google Scholar] [CrossRef]
- Quéffélec, P.; Bariou, D.; Gelin, P. A Predictive Model for the Permeability Tensor of Magnetized Heterogeneous Materials. IEEE Trans. Magn. 2005, 41, 17–23. [Google Scholar] [CrossRef]
- Kurlyandskaya, G.V.; Safronov, A.P.; Bhagat, S.M.; Lofland, S.E.; Beketov, I.V.; Markano Prieto, L. Tailoring Functional Properties of Ni Nanoparticles-Acrylic Copolymer Composites with Different Concentrations of Magnetic Filler. J. Appl. Phys. 2015, 117, 123917. [Google Scholar] [CrossRef]
- Qiao, L.; Wen, F.S.; Wei, J.Q.; Wang, J.B.; Li, F.S. High Permeability and Bimodal Resonance Structure of Flaky Soft Magnetic Composite Materials. Chin. Phys. B 2020, 29, 077506. [Google Scholar] [CrossRef]
- Brekhovskikh, L.M. Waves in Layered Media; Academic Press: Salt Lake City, UT, USA, 1960. [Google Scholar]
- Rinkevich, A.B.; Perov, D.V.; Ryabkov, Y.I. Transmission, Reflection and Dissipation of Microwaves in Magnetic Composites with Flakes of Nanocrystalline Finemet. Materials 2021, 14, 3499. [Google Scholar] [CrossRef] [PubMed]













| Frequency Range (GHz) | Sample | ε′ | ε″ | σ (S/m) |
|---|---|---|---|---|
| 12–18 | Composite 15% | 7.5 | 3.13 | 2.45 |
| 18–26 | Composite 15% | 8.2 | 1.5 | 1.9 |
| 26–38 | Composite 15% | 5.4 | 1.1 | 2.0 |
Publisher’s Note: MDPI stays neutral with regard to jurisdictional claims in published maps and institutional affiliations. |
© 2021 by the authors. Licensee MDPI, Basel, Switzerland. This article is an open access article distributed under the terms and conditions of the Creative Commons Attribution (CC BY) license (https://creativecommons.org/licenses/by/4.0/).
Share and Cite
Perov, D.V.; Rinkevich, A.B. Ferromagnetic Resonance and Antiresonance in Composite Medium with Flakes of Finemet-Like Alloy. Nanomaterials 2021, 11, 1748. https://doi.org/10.3390/nano11071748
Perov DV, Rinkevich AB. Ferromagnetic Resonance and Antiresonance in Composite Medium with Flakes of Finemet-Like Alloy. Nanomaterials. 2021; 11(7):1748. https://doi.org/10.3390/nano11071748
Chicago/Turabian StylePerov, Dmitry V., and Anatoly B. Rinkevich. 2021. "Ferromagnetic Resonance and Antiresonance in Composite Medium with Flakes of Finemet-Like Alloy" Nanomaterials 11, no. 7: 1748. https://doi.org/10.3390/nano11071748
APA StylePerov, D. V., & Rinkevich, A. B. (2021). Ferromagnetic Resonance and Antiresonance in Composite Medium with Flakes of Finemet-Like Alloy. Nanomaterials, 11(7), 1748. https://doi.org/10.3390/nano11071748
