Temperature-Induced Plasmon Excitations for the – Lattice in Perpendicular Magnetic Field
Abstract
1. Introduction
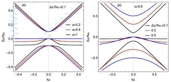
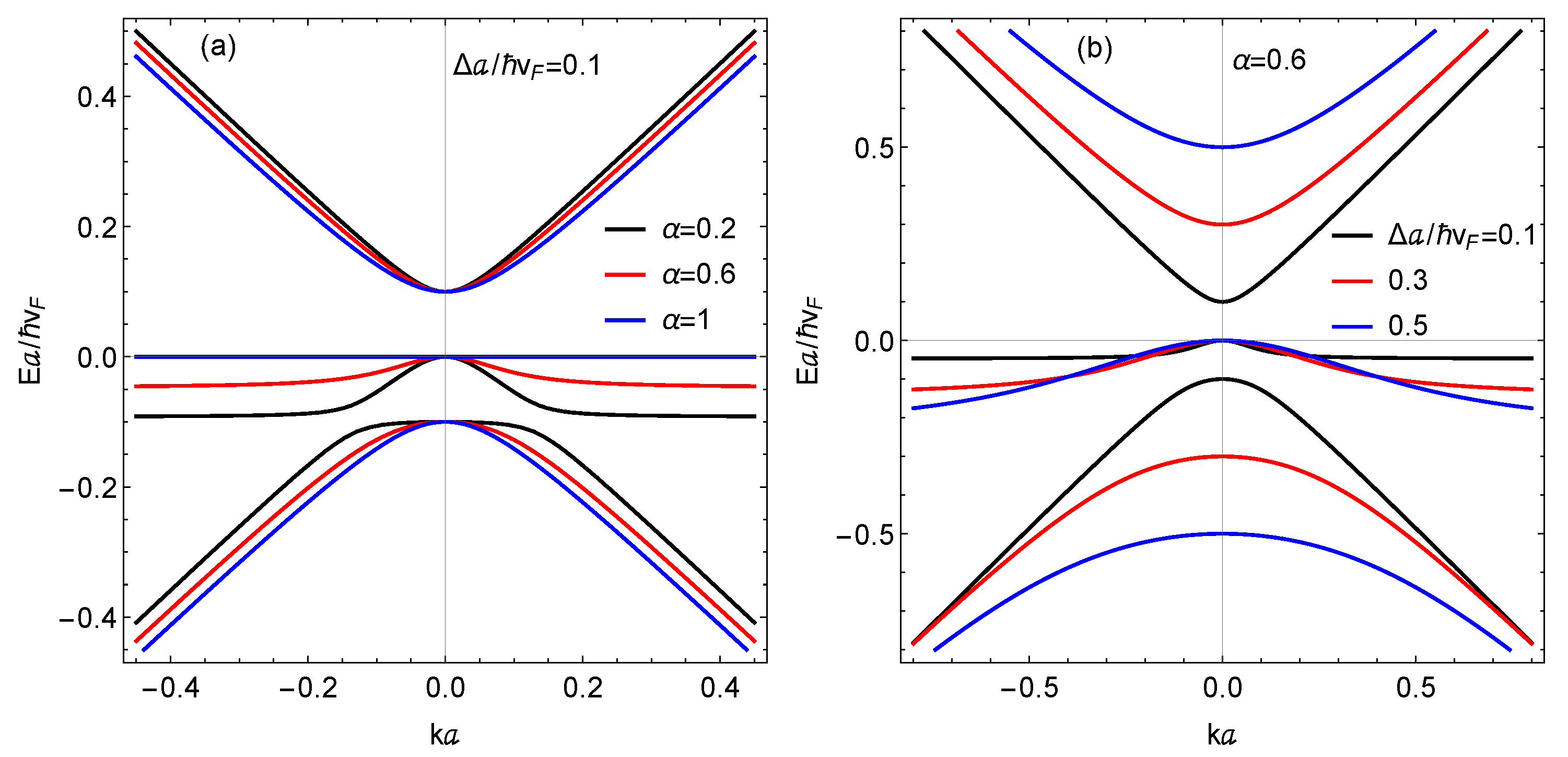
2. The Energy Spectrum at Low Magnetic Field
3. Low-Magnetic Field Case
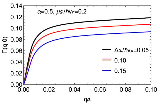
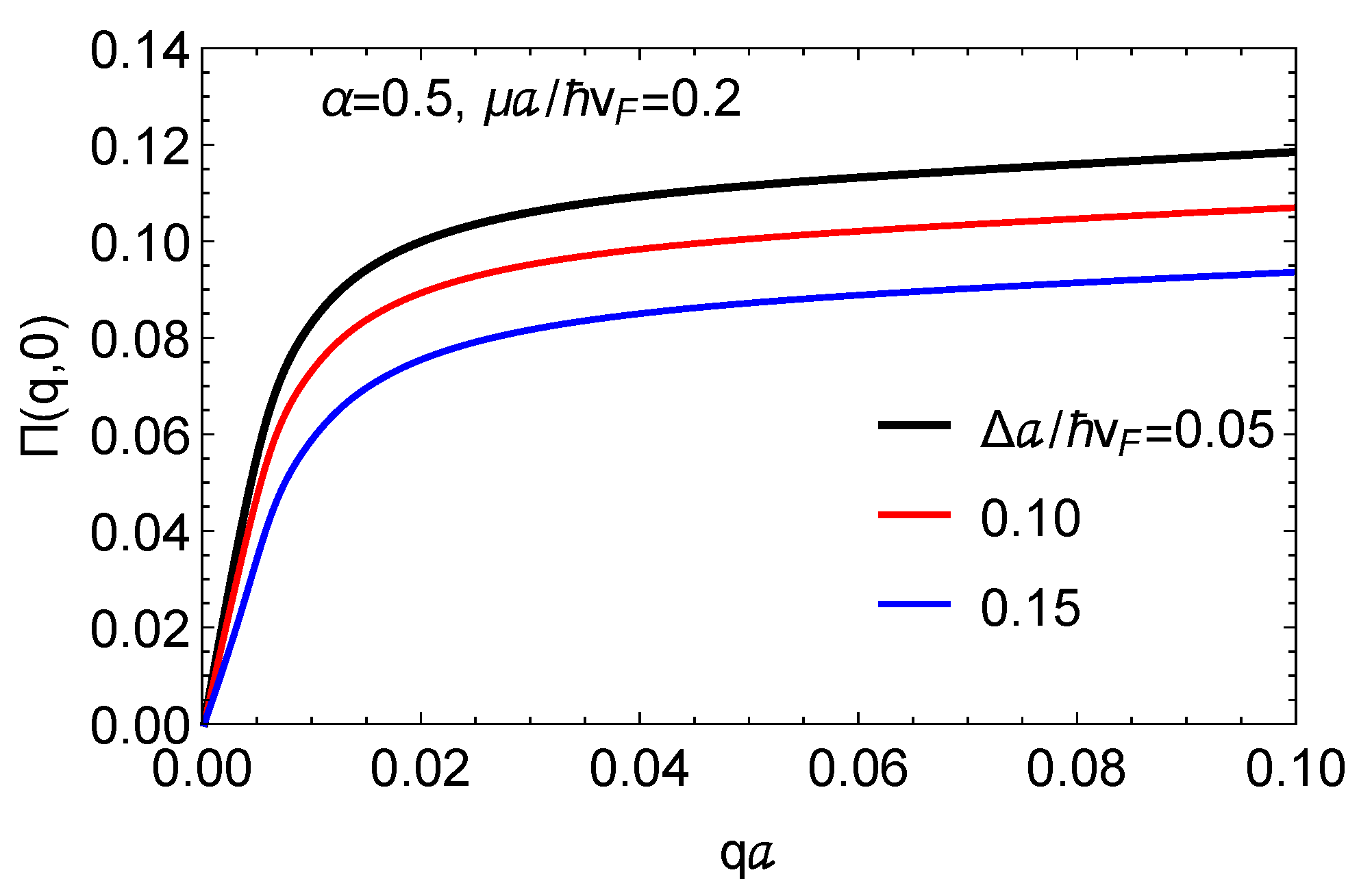
3.1. Polarization Function in Low Magnetic Field
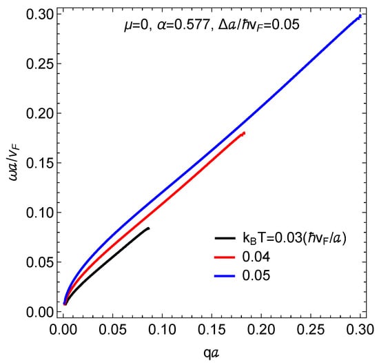
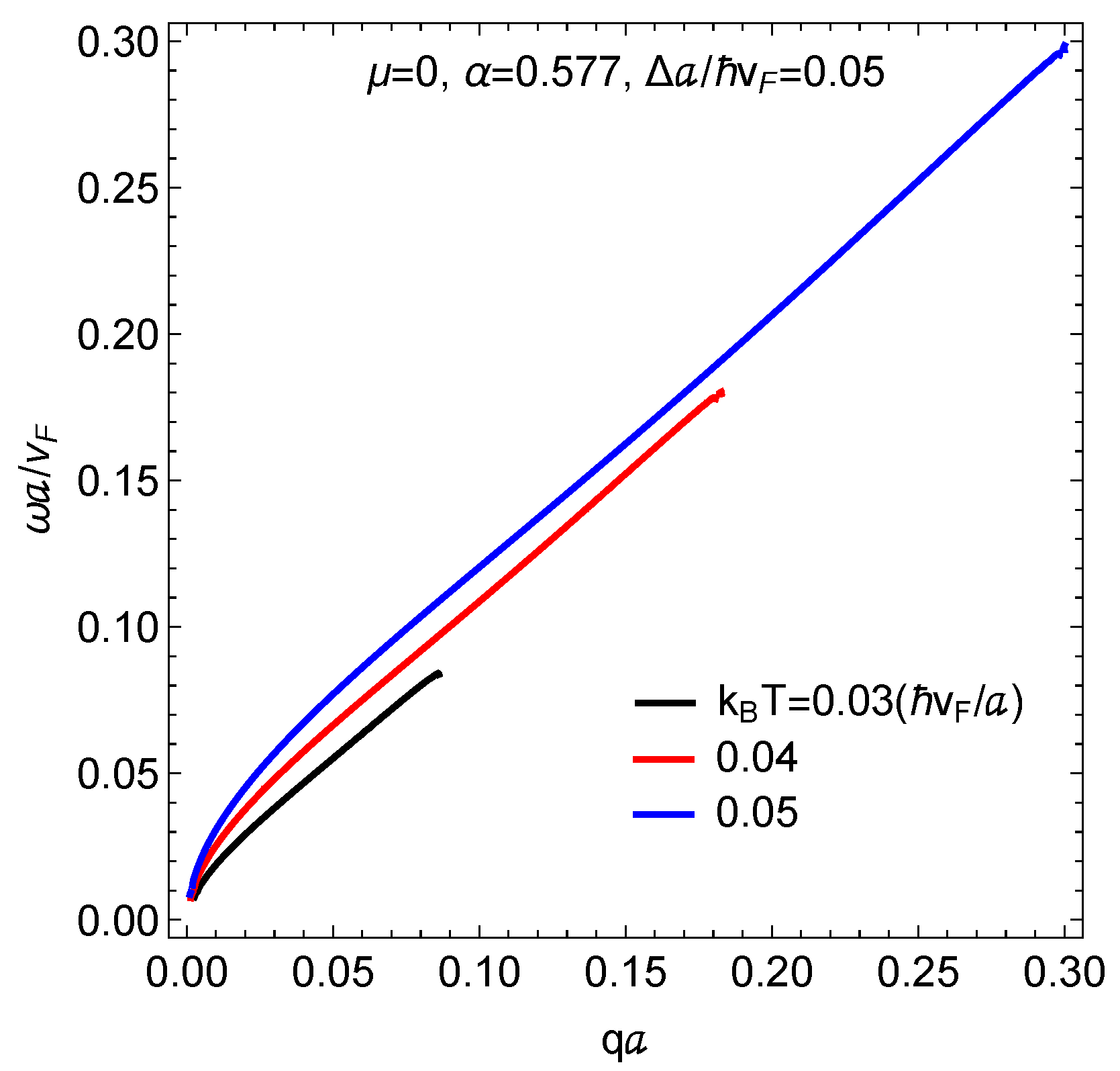
3.2. Plasmon Dispersion in Low Magnetic Fields
4. High Magnetic Field Case
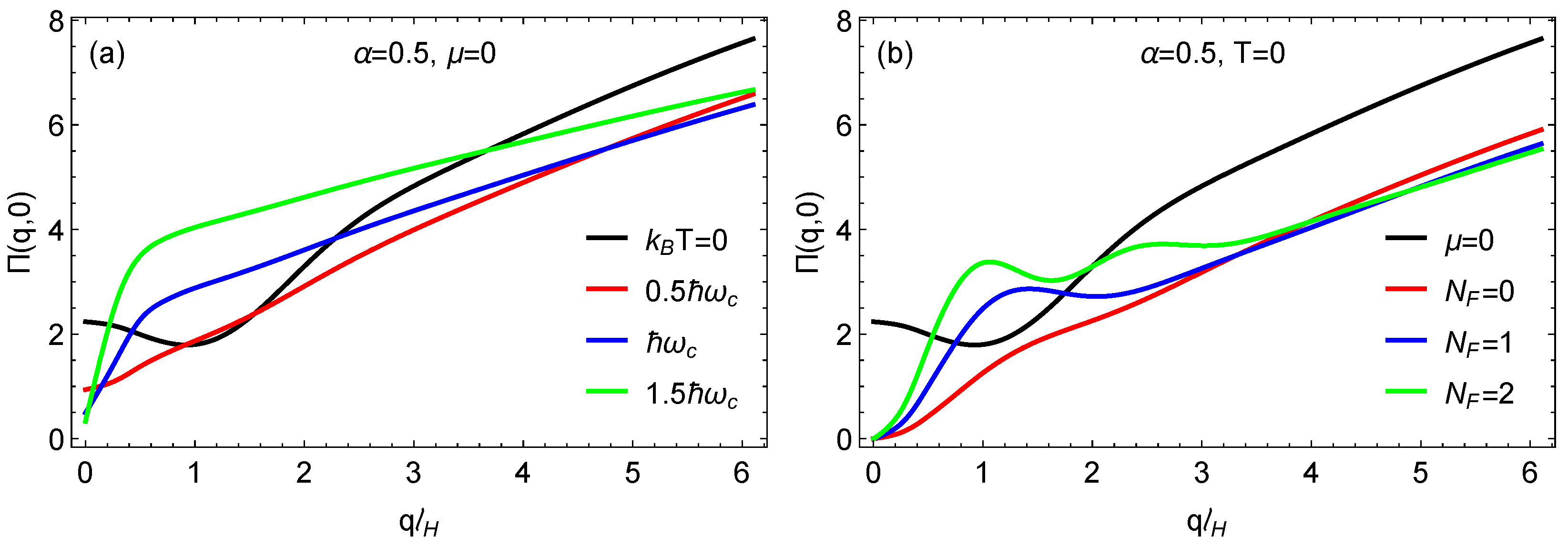
4.1. Polarization Function in High Magnetic Field
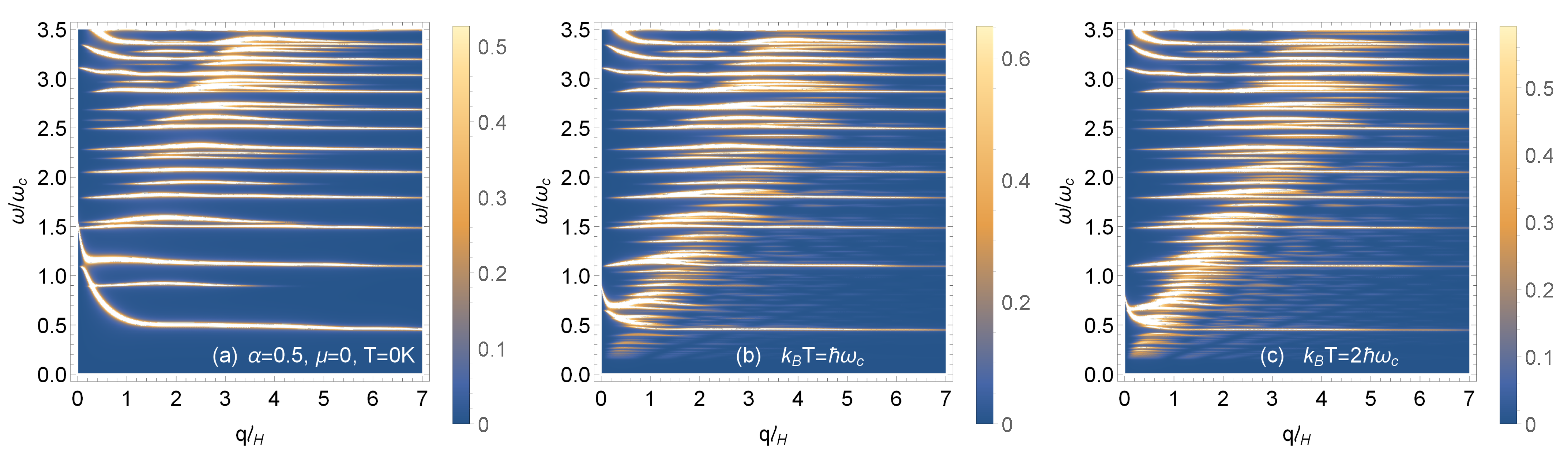
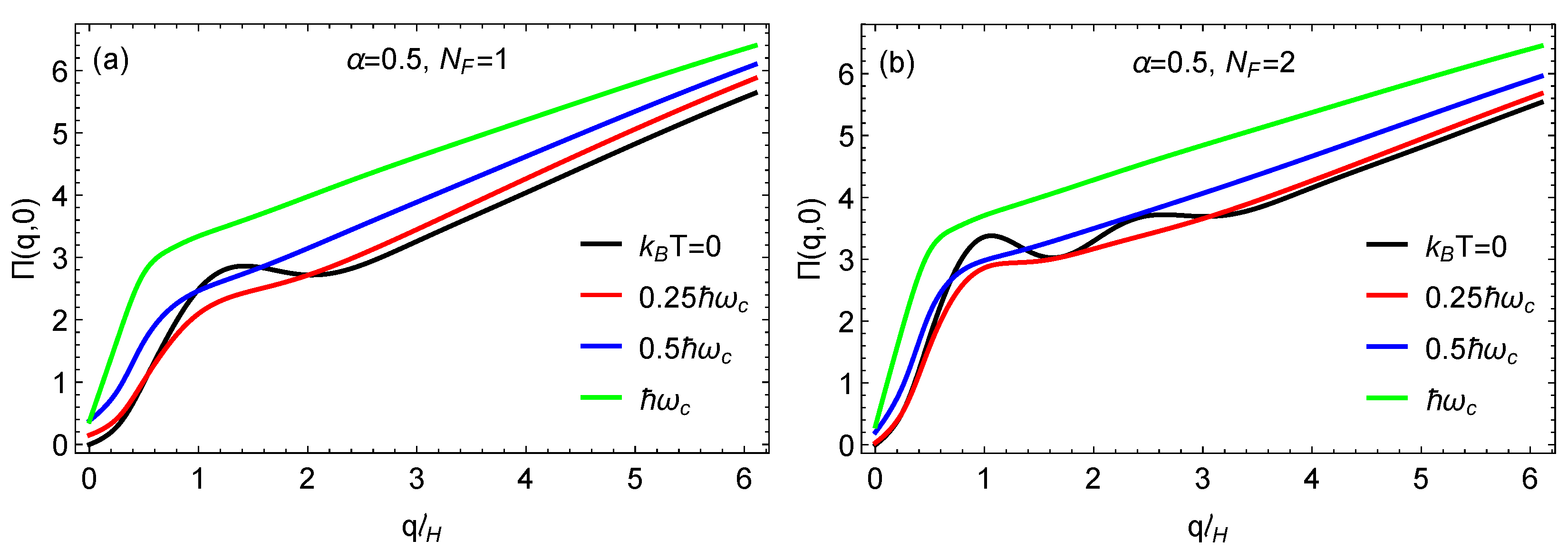
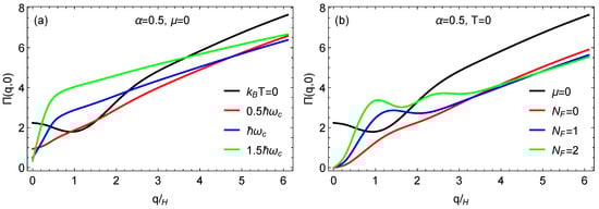
4.2. Magnetoplasmons in High Magnetic Field
5. Magneto-Plasmons in – Lattice via the Transfer Matrix Approach
6. Concluding Remarks and Summary
Author Contributions
Funding
Data Availability Statement
Conflicts of Interest
Appendix A
References
- Dóra, B.; Kailasvuori, J.; Moessner, R. Lattice generalization of the Dirac equation to general spin and the role of the flat band. Phys. Rev. B 2011, 84, 195422. [Google Scholar] [CrossRef]
- Vidal, J.; Mosseri, R.; Douçot, B. Aharonov-Bohm cages in two-dimensional structures. Phys. Rev. Lett. 1998, 81, 5888. [Google Scholar] [CrossRef]
- Gorbar, E.; Gusynin, V.; Oriekhov, D. Gap generation and flat band catalysis in dice model with local interaction. Phys. Rev. B 2021, 103, 155155. [Google Scholar] [CrossRef]
- Illes, E. Properties of the – Model. Ph.D. Thesis, University of Guelph, Guelph, ON, Canada, 2017. [Google Scholar]
- Neto, A.C.; Guinea, F.; Peres, N.M.; Novoselov, K.S.; Geim, A.K. The electronic properties of graphene. Rev. Mod. Phys. 2009, 81, 109. [Google Scholar] [CrossRef]
- Bercioux, D.; Urban, D.; Grabert, H.; Häusler, W. Massless Dirac-Weyl fermions in a optical lattice. Phys. Rev. A 2009, 80, 063603. [Google Scholar] [CrossRef]
- Qiu, W.X.; Li, S.; Gao, J.H.; Zhou, Y.; Zhang, F.C. Designing an artificial Lieb lattice on a metal surface. Phys. Rev. B 2016, 94, 241409. [Google Scholar] [CrossRef]
- Malcolm, J.; Nicol, E. Frequency-dependent polarizability, plasmons, and screening in the two-dimensional pseudospin-1 dice lattice. Phys. Rev. B 2016, 93, 165433. [Google Scholar] [CrossRef]
- Wang, F.; Ran, Y. Nearly flat band with Chern number C = 2 on the dice lattice. Phys. Rev. B 2011, 84, 241103. [Google Scholar] [CrossRef]
- Santos, L.; Baranov, M.; Cirac, J.I.; Everts, H.U.; Fehrmann, H.; Lewenstein, M. Atomic quantum gases in Kagomé lattices. Phys. Rev. Lett. 2004, 93, 030601. [Google Scholar] [CrossRef]
- Ruostekoski, J. Optical kagome lattice for ultracold atoms with nearest neighbor interactions. Phys. Rev. Lett. 2009, 103, 080406. [Google Scholar] [CrossRef]
- Jo, G.B.; Guzman, J.; Thomas, C.K.; Hosur, P.; Vishwanath, A.; Stamper-Kurn, D.M. Ultracold atoms in a tunable optical kagome lattice. Phys. Rev. Lett. 2012, 108, 045305. [Google Scholar] [CrossRef]
- Baba, T. Slow light in photonic crystals. Nat. Photonics 2008, 2, 465–473. [Google Scholar] [CrossRef]
- Mukherjee, S.; Spracklen, A.; Choudhury, D.; Goldman, N.; Öhberg, P.; Andersson, E.; Thomson, R.R. Observation of a localized flat-band state in a photonic Lieb lattice. Phys. Rev. Lett. 2015, 114, 245504. [Google Scholar] [CrossRef] [PubMed]
- Vicencio, R.A.; Cantillano, C.; Morales-Inostroza, L.; Real, B.; Mejía-Cortés, C.; Weimann, S.; Szameit, A.; Molina, M.I. Observation of localized states in Lieb photonic lattices. Phys. Rev. Lett. 2015, 114, 245503. [Google Scholar] [CrossRef] [PubMed]
- Huang, X.; Lai, Y.; Hang, Z.H.; Zheng, H.; Chan, C. Dirac cones induced by accidental degeneracy in photonic crystals and zero-refractive-index materials. Nat. Mater. 2011, 10, 582–586. [Google Scholar] [CrossRef]
- Li, Y.; Kita, S.; Muñoz, P.; Reshef, O.; Vulis, D.I.; Yin, M.; Lončar, M.; Mazur, E. On-chip zero-index metamaterials. Nat. Photonics 2015, 9, 738–742. [Google Scholar] [CrossRef]
- Ahmadkhani, S.; Hosseini, M.V. Superconducting proximity effect in flat band systems. J. Phys. Condens. Matter 2020, 32, 315504. [Google Scholar] [CrossRef]
- Leykam, D.; Andreanov, A.; Flach, S. Artificial flat band systems: From lattice models to experiments. Adv. Phys. X 2018, 3, 1473052. [Google Scholar] [CrossRef]
- Balassis, A.; Dahal, D.; Gumbs, G.; Iurov, A.; Huang, D.; Roslyak, O. Magnetoplasmons for the – model with filled Landau levels. J. Phys. Condens. Matter 2020, 32, 485301. [Google Scholar] [CrossRef]
- Roslyak, O.; Gumbs, G.; Balassis, A.; Elsayed, H. Effect of magnetic field and chemical potential on the RKKY interaction in the – lattice. Phys. Rev. B 2021, 103, 075418. [Google Scholar] [CrossRef]
- Wu, J.Y.; Chen, S.C.; Roslyak, O.; Gumbs, G.; Lin, M.F. Plasma excitations in graphene: Their spectral intensity and temperature dependence in magnetic field. ACS Nano 2011, 5, 1026–1032. [Google Scholar] [CrossRef][Green Version]
- Gumbs, G.; Balassis, A.; Silkin, V. Combined effect of doping and temperature on the anisotropy of low-energy plasmons in monolayer graphene. Phys. Rev. B 2017, 96, 045423. [Google Scholar] [CrossRef]
- Ye, X.; Ke, S.S.; Du, X.W.; Guo, Y.; Lü, H.F. Quantum Tunneling in the – Model with an Effective Mass Term. J. Low Temp. Phys. 2020, 199, 1332–1343. [Google Scholar] [CrossRef]
- Romhányi, J.; Penc, K.; Ganesh, R. Hall effect of triplons in a dimerized quantum magnet. Nat. Commun. 2015, 6, 1–6. [Google Scholar] [CrossRef] [PubMed]
- Gorbar, E.; Gusynin, V.; Oriekhov, D. Electron states for gapped pseudospin-1 fermions in the field of a charged impurity. Phys. Rev. B 2019, 99, 155124. [Google Scholar] [CrossRef]
- Glasser, M. Hypergeometric functions and the trinomial equation. J. Comput. Appl. Math. 2000, 118, 169–173. [Google Scholar] [CrossRef]
- Glasser, M.L. The quadratic formula made hard: A less radical approach to solving equations. arXiv 1994, arXiv:math/9411224. [Google Scholar]
- Berman, O.L.; Lozovik, Y.E.; Gumbs, G. Bose-Einstein condensation and superfluidity of magnetoexcitons in bilayer graphene. Phys. Rev. B 2008, 77, 155433. [Google Scholar] [CrossRef]
- Berman, O.L.; Gumbs, G.; Kezerashvili, R.Y. Bose-Einstein condensation and superfluidity of dipolar excitons in a phosphorene double layer. Phys. Rev. B 2017, 96, 014505. [Google Scholar] [CrossRef]
- Stauber, T.; San-Jose, P.; Brey, L. Optical conductivity, Drude weight and plasmons in twisted graphene bilayers. New J. Phys. 2013, 15, 113050. [Google Scholar] [CrossRef]
- Gumbs, G.; Huang, D. Properties of Interacting Low-Dimensional Systems; John Wiley & Sons: Hoboken, NJ, USA, 2013. [Google Scholar]
- Zhan, T.; Shi, X.; Dai, Y.; Liu, X.; Zi, J. Transfer matrix method for optics in graphene layers. J. Phys. Condens. Matter 2013, 25, 215301. [Google Scholar] [CrossRef] [PubMed]
- Ibach, H.; Mills, D.L. Electron Energy Loss Spectroscopy and Surface Vibrations; Academic Press: Cambridge, MA, USA, 2013. [Google Scholar]
- Brydson, R. Electron Energy Loss Spectroscopy; Garland Science: New York, USA, 2020. [Google Scholar]
- De Angelis, F.; Das, G.; Candeloro, P.; Patrini, M.; Galli, M.; Bek, A.; Lazzarino, M.; Maksymov, I.; Liberale, C.; Andreani, L.C.; et al. Nanoscale chemical mapping using three-dimensional adiabatic compression of surface plasmon polaritons. Nat. Nanotechnol. 2010, 5, 67–72. [Google Scholar] [CrossRef] [PubMed]
- Murray, W.A.; Barnes, W.L. Plasmonic materials. Adv. Mater. 2007, 19, 3771–3782. [Google Scholar] [CrossRef]
- Lu, J.; Loh, K.P.; Huang, H.; Chen, W.; Wee, A.T. Plasmon dispersion on epitaxial graphene studied using high-resolution electron energy-loss spectroscopy. Phys. Rev. B 2009, 80, 113410. [Google Scholar] [CrossRef]










Publisher’s Note: MDPI stays neutral with regard to jurisdictional claims in published maps and institutional affiliations. |
© 2021 by the authors. Licensee MDPI, Basel, Switzerland. This article is an open access article distributed under the terms and conditions of the Creative Commons Attribution (CC BY) license (https://creativecommons.org/licenses/by/4.0/).
Share and Cite
Balassis, A.; Gumbs, G.; Roslyak, O.
Temperature-Induced Plasmon Excitations for the
Balassis A, Gumbs G, Roslyak O.
Temperature-Induced Plasmon Excitations for the
Balassis, Antonios, Godfrey Gumbs, and Oleksiy Roslyak.
2021. "Temperature-Induced Plasmon Excitations for the
Balassis, A., Gumbs, G., & Roslyak, O.
(2021). Temperature-Induced Plasmon Excitations for the

