The Drug-Loaded Electrospun Poly(ε-Caprolactone) Mats for Therapeutic Application
Abstract
1. Introduction
2. Materials and Methods
2.1. Materials
2.2. Methods
2.2.1. Gel Permeation Chromatography (GPC)
2.2.2. Preparation of Polymer Solution for Electrospinning
2.2.3. Electrospinning (ESP)
2.2.4. Scanning Electron Microscopy (SEM)
2.2.5. Transmission Electron Microscopy (TEM)
2.2.6. Attenuated Total Reflectance-Fourier Transform Infrared Spectroscopy (ATR-FTIR)
2.2.7. Thermogravimetric Analysis (TGA)
2.2.8. Dynamic Mechanical Analysis (DMA)
2.2.9. Measurements of Contact Angle
2.2.10. Electron Paramagnetic Resonance (EPR) Analysis
2.2.11. Antimicrobial Activity
2.2.12. Cell Viability Assay
2.2.13. Statistical Data Analysis
3. Results
3.1. Morphology Evaluation of Electrospun Mats
3.2. ATR-FTIR Analysis of Pure PCL and DSS-Loaded PCL Fibrous Mats
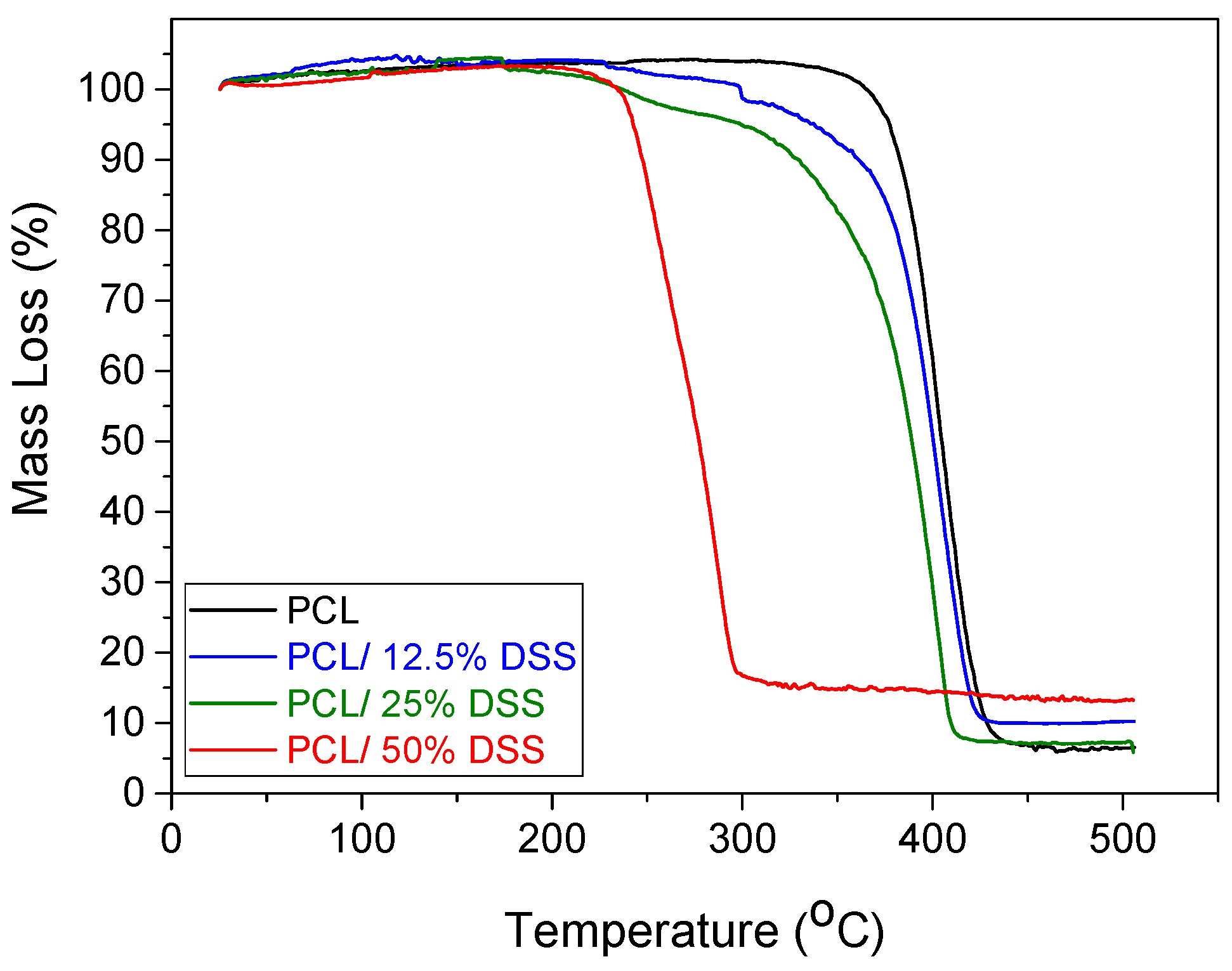
3.3. Thermal Analysis of Pure PCL and DSS-Loaded PCL Fibrous Mats
3.4. Dynamic Mechanical Analysis of Pure PCL and DSS-Loaded PCL Fibrous Mats
3.5. Contact Angle Analysis of Electrospun Mats
3.6. Electron Paramagnetic Resonance Analysis of Releasing DSS
3.7. Antimicrobial Activity Evaluation
3.8. Biocompatibility and Antiproliferative Effect of PCL and DSS-Loaded PCL Fibrous Mats
4. Discussion
5. Conclusions
Author Contributions
Funding
Institutional Review Board Statement
Informed Consent Statement
Acknowledgments
Conflicts of Interest
References
- Song, R.; Murphy, M.; Li, C.; Ting, K.; Soo, C.; Zheng, Z. Current development of biodegradable polymeric materials for biomedical applications. Drug Des. Dev. Ther. 2018, 12, 3117–3145. [Google Scholar] [CrossRef]
- Mochane, M.J.; Motsoeneng, T.S.; Sadiku, E.R.; Mokhena, T.C.; Sefadi, J.S. Morphology and properties of electrospun PCL and its composites for medical applications: A mini review. Appl. Sci. 2019, 9, 2205. [Google Scholar] [CrossRef]
- Unalan, I.; Slavik, B.; Buettner, A.; Goldmann, W.H.; Frank, G.; Boccacini, A.R. Physical and antibacterial properties of peppermint essential oil loaded poly(ε-caprolactone) (pcl) electrospun fiber mates for wound healing. Front. Bioeng. Biotechnol. 2019, 7, 346. [Google Scholar] [CrossRef]
- Yung, S.M.; Min, S.K.; Lee, H.C.; Kwon, Y.S.; Jung, M.H.; Shin, H.S. Spirulina-pcl nanofiber wound dressing to improve cutaneous wound healing by enhancing antioxidative mechanism. J. Nanomater. 2016, 6135727. [Google Scholar] [CrossRef]
- Malikmammadov, E.; Tanir, T.E.; Kiziltay, A.; Hasirci, V.; Hasirci, N. PCL and PCL-Based Materials in Biomedical Applications. J. Biomater. Sci. 2018, 29, 863–893. [Google Scholar] [CrossRef] [PubMed]
- Woodruf, M.A.; Hutmacher, W. The return of a forgotten polymer—polycaprolactone in the 21st century. Prog. Polym. Sci. 2010, 35, 1217–1256. [Google Scholar] [CrossRef]
- Souza, M.A.; Sakamoto, K.Y.; Mattoso, L.H.C. Release of the diclofenac sodium by nanofibers of poly(hydroxybutyrate-co-3-hydroxyvalerate) obtained from electrospinning and solution blow spinning. J. Nanomater. 2014, 129035. [Google Scholar] [CrossRef]
- Macha, I.J.; Ben-Nissan, B.; Vilchevskaya, E.N.; Morozova, A.S.; Abali, B.E.; Müller, W.H.; Rickert, W. Drug delivery from polymer-based nanopharmaceuticals—An experimental study complemented by simulations of selected diffusion processes. Front. Bioeng. Biotechnol. 2019, 7, 37. [Google Scholar] [CrossRef] [PubMed]
- Zhou, Q.; Zhang, L.; Yang, T.; Wu, H. Stimuli-responsive polymeric micelles for drug delivery and anticancer therapy. Int. J. Nanomed. 2018, 13, 2921–2942. [Google Scholar] [CrossRef]
- Filippi, M.; Born, G.; Chaaban, M.; Scherberich, A. Natural polymeric scaffolds in bone regeneration. Front. Bioeng. Biotechnol. 2020, 8, 474. [Google Scholar] [CrossRef]
- Saudi, S.; Bhattarai, S.R.; Adhikari, U.; Khanal, S.; Sankar, J.; Aravamudhan, S.; Bhattarai, N. Nanonet-nano fiber electrospun mesh of PCL–chitosan for controlled and extended release of diclofenac sodium. Nanoscale 2020, 12, 23556–23569. [Google Scholar] [CrossRef]
- Fortuni, B.; Inose, T.; Ricci, M.; Fujita, Y.; van Zundert, I.; Masuhara, A.; Fron, E.; Mizuno, H.; Latterini, L.; Rocha, S.; et al. Polymeric engineering of nanoparticles for highly efficent multifunctional drug delivery systems. Sci. Rep. 2019, 9, 2666. [Google Scholar] [CrossRef]
- Calzoni, E.; Cesaretti, A.; Polchi, A.; di Michele, A.; Tancini, B.; Emiliani, C. Biocompatible polymer nanoparticles for drug delivery applications in cancer and neurodegenerative disorder therapies. J. Funct. Biomater. 2019, 10, 4. [Google Scholar] [CrossRef]
- Hassan, M.I.; Sultana, N. Characterization, drug loading and antibacterial activity of nanohydroxyapatite/polycaprolactone (nHA/PCL) electrospun membrane. 3 Biotech. 2017, 7, 249–258. [Google Scholar] [CrossRef]
- Karami, Z.; Sadighian, S.; Rostamizadeh, K.; Parsa, M.; Rezaee, S. Naproxen conjugated mPEG-PCL micelles for dual triggered drug delivery. Mat. Sci. Eng. C 2016, 61, 665–673. [Google Scholar] [CrossRef]
- Majumder, N.; Das, N.G.; Das, S.K. Polymeric micelles for anticancer drug delivery. Ther. Deliv. 2020, 11, 613–635. [Google Scholar] [CrossRef]
- Rios-Doria, J.; Carie, A.; Costich, T.; Burke, B.; Skaff, H.; Panicucci, R.; Sill, K. A versatile polymer micelle drug delivery system for encapsulation and in vivo stabilization of hydrophobic anticancer drugs. J. Drug. Deliv. 2012, 951741. [Google Scholar] [CrossRef]
- Pérez-González, G.L.; Villarreal-Gómez, L.J.; Serrano-Medina, A.; Torres-Martínez, E.J.; Cornejo-Bravo, J.M. Mucoadhesive electrospun nanofibers for drug delivery systems: Applications of polymers and the parameter’ roles. Int. J. Nanomed. 2019, 14, 5271–5285. [Google Scholar] [CrossRef]
- Topuz, F.; Kilic, M.E.; Durgun, E.; Szekely, G. Fast-dissolving antibacterial nanofibers of cyclodextrin/antibiotic inclusion complexes for oral drug delivery. J. Colloid Interface Sci. 2021, 585, 184–194. [Google Scholar] [CrossRef] [PubMed]
- Hrib, J.; Sirc, J.; Hobzova, R.; Hampejsova, Z.; Bosakova, Z.; Munzarova, M.; Michalek, J. Nanofibers for drug delivery—incorporation and release of model molecules, influence of molecular weight and polymer structure. Beilstein J. Nanotechnol. 2015, 6, 1939–1945. [Google Scholar] [CrossRef]
- Alven, S.; Nqoro, X.; Buyana, B.; Aderibigbe, B.A. Polymer-drug conjugate, a potential therapeutic to combat breast and lung cancer. Pharmaceutics 2020, 12, 406. [Google Scholar] [CrossRef]
- Larson, N.; Ghandehari, H. Polymeric conjugates for drug delivery. Chem. Mater. 2012, 24, 840–853. [Google Scholar] [CrossRef]
- Kostková, H.; Schindler, L.; Kotrchová, L.; Kovář, M.; Šírová, M.; Kostka, L.; Etrych, T. Star polymer-drug conjugates with pH-controlled drug release and carrier degradation. J. Nanomater. 2017, 8675435. [Google Scholar] [CrossRef]
- Amiraliyan, N.; Nouri, M.; Kish, M.H. Effects of some electrospinning parameters on morphology of natural silk-based nanofibers. J. Appl. Polym. Sci. 2009, 113, 226–234. [Google Scholar] [CrossRef]
- Zafar, M.; Najeeb, S.; Khurshid, Z.; Vazirzadeh, M.; Zohaib, S.; Najeeb, B.; Sefat, F. Potential of electrospun nanofibers for biomedical and dental applications. Materials 2016, 9, 73. [Google Scholar] [CrossRef] [PubMed]
- Piccirillo, G.; Bochicchio, B.; Pepe, A.; Schenke-Layland, K.; Hinderer, S. Electrospun poly-l-lactide scaffold for the controlled and targeted delivery of a synthetically obtained diclofenac prodrug to treat actinic keratosis. Acta Biomater. 2017, 52, 187–196. [Google Scholar] [CrossRef]
- Nikkola, L.; Morton, T.; Balmayor, R.; Jukola, H.; Harlin, A.; Redl, H.; van Grienvsen, M.; Ashammakhi, N. Fabrication of electrospun poly(D,L lactide-co-glicolide) 80/20 scaffolds loaded with diclofenac sodium for tissue engineering. Eur. J. Med. Res. 2015, 20, 54–62. [Google Scholar] [CrossRef][Green Version]
- Torres-Martínez, E.J.; Pérez-González, G.L.; Serrano-Medina, A.; Grande, D.; Vera-Graziano, R.; Cornejo-Bravo, J.M.; Villarreal-Gómez, L.J. Drugs loaded into electrospun polymeric nanofibers for delivery. J. Pharm. Phram. Sci. 2019, 22, 313–364. [Google Scholar] [CrossRef]
- Kurakula, M.; Koteswara Rao, G.S.N. Moving polyvinyl pyrrolidone electrospun nanofibers and bioprinted scaffolds toward multidisciplinary biomedical applications. Eur. Polym. J. 2020, 136, 109919. [Google Scholar] [CrossRef]
- Stratton, S.; Shelke, N.B.; Hoshino, K.; Rudraiah, S.; Kumbar, S.G. Bioactive polymeric scaffolds for tissue engineering. Bioact. Mater. 2016, 1, 93–108. [Google Scholar] [CrossRef]
- Gonçalves de Pinho, A.R.; Odila, I.; Leferink, A.; van Blitterswijk, C.; Camarero-Espinosa, S.; Moroni, L. Hybrid polyester-hydrogel electrospun scaffold for tissue engineering applications. Front. Bioeng. Biotechnol. 2019, 7, 231. [Google Scholar] [CrossRef] [PubMed]
- Kajdič, S.; Planinšek, O.; Gašperlin, M.; Kocbek, P. Electrospun nanofibers for customized drug-delivery systems. J. Drug Deliv. Sci. Technol. 2019, 51, 672–681. [Google Scholar] [CrossRef]
- Go, R.; Houshyar, S.; Fox, K.; Truong, Y.B. Electrospun fibre composite for controlled drug release. MRS Adv. 2020, 5, 2409–2417. [Google Scholar] [CrossRef]
- Shen, X.; Yu, D.; Zhu, L.; Bradford-White, C.; White, K.; Chatterton, N.P. Electrospun diclofenac sodium loaded Eudragit®L 100-55 nanofibers for colon-targeted drug delivery. Int. J. Pharm. 2011, 408, 200–207. [Google Scholar] [CrossRef]
- Mayorek, N.; Naftali-Shani, N.; Grunewald, M. Diclofenac inhibits tumor growth in a murine model of pancreatic cancer by modulation of VEGF levels and arginase activity. PLoS ONE 2010, 5, e12715. [Google Scholar] [CrossRef] [PubMed]
- Moody, T.W.; Switzer, C.; Santana-Flores, W.; Ridnour, L.A.; Berna, M.; Thill, M.; Jensen, R.T.; Sparatore, A.; del Soldato, P.; Yeh, G.C.; et al. Dithiolethione modified valproate and diclofenac increase E-cadherin expression and decrease proliferation of non-small cell lung cancer cells. Lung Cancer 2010, 68, 154–160. [Google Scholar] [CrossRef]
- Valle, B.L.; D’Souza, T.; Becker, K.G.; Wood, W.H., III; Zhang, Y.; Wersto, R.P.; Morin, P.J. Non-Steroidal Anti-inflammatory Drugs Decrease E2F1 Expression and Inhibit Cell Growth in Ovarian Cancer Cells. PLoS ONE 2013, 8, e61836. [Google Scholar] [CrossRef]
- Altman, R.; Bosch, B.; Brune, K.; Patrignani, K.; Young, C. Advances in NSAID Development: Evolution of diclofenac products using pharmaceutical technology. Drugs 2015, 75, 859–877. [Google Scholar] [CrossRef]
- Nugrahani, I.; Utami, D.; Permana, B.; Ibrahim, S. Development of the NSAID-L-Proline Amino Acid Zwitterionic Cocrystals. J. Appl. Pharm. Sci. 2018, 57–63. [Google Scholar] [CrossRef][Green Version]
- Bandeira, M.; Borges, V.; Gomes, J.P.; Duarte, A.; Jordao, L. Insight on Klebsiella pneumoniae biofilms assembled on different surfaces using phenotypic and genotypic approaches. Microorganisms 2017, 5, 16. [Google Scholar] [CrossRef]
- International Organization for Standardization. Measurement of Antibacterial Activity on Plastics and Other Non-Porous Surfaces; ISO 22196; International Organization for Standardization: Geneva, Switzerland, 2011. [Google Scholar]
- Ezhilarasu, H.; Ramalingam, R.; Dhand, C.; Lakshminarayanan, R.; Sadiq, A.; Gandhimathi, C.; Ramakrishna, S.; Bay, B.H.; Venugopal, J.R.; Srinivasan, D.K. Biocompatible aloe vera and tetracycline hydrochloride loaded hybrid nanofibrous scaffolds for skin tissue engineering. Int. J. Mol. Sci. 2019, 20, 5174. [Google Scholar] [CrossRef] [PubMed]
- Radacsi, N.; Campos, F.D.; Chisholm, C.R.I.; Giapis, K.P. Spontaneous formation of nanoparticles on electrospun nanofibres. Nat. Commun. 2018, 9, 8. [Google Scholar] [CrossRef] [PubMed]
- Kanani, A.G.; Bahrami, S.H. Effect of changing solvents on poly(ε-caprolactone) nanofibrous webs morphology. J. Nanomater 2011, 2011, 724153. [Google Scholar] [CrossRef]
- Du, L.; Xu, H.; Zhang, Y.; Zou, F. Electrospinning of polycaprolactone nanofibers with DMF additive: The effect of solution properties on jet perturbation and fiber morphologies. Fibers Polym. 2016, 17, 751–759. [Google Scholar] [CrossRef]
- Katsogionnis, K.A.G.; Vladisavljević, G.T.; Georgiadou, S. Porous electrospun polycaprolactone (PCL) fibers by phase separation. Eur. Polym. J. 2015, 69, 284–295. [Google Scholar] [CrossRef]
- Da Silva, B.A.; Valério, A.; Cesca, K.; Hotza, D.; González, S.Y.G. Electrospun polycaprolactone scaffolds using an ionic liquid as alternative solvent: Morphometric, mechanical and biological properties. Chem. Select 2020, 5, 14050–14055. [Google Scholar] [CrossRef]
- Bosworth, L.A.; Downes, S. Acetone, a sustainable solvent for electrospinning poly(ε-caprolactone) fibers: Effect of varying parameters and solution concentration on fibre diameter. J. Polym. Environ. 2012, 20, 879–886. [Google Scholar] [CrossRef]
- Qin, X.; Wu, D. Effect of different solvents on poly(caprolactone) (PCL) electrospun nonwoven membranes. J. Therm. Anal. Calorim. 2012, 107, 1007–1013. [Google Scholar] [CrossRef]
- Cheremisinoff, N. Industrial Solvents Handbook, 2nd ed.; Marcel Dekker Inc.: New York, NY, USA, 2008; pp. 51–53. [Google Scholar]
- Liverani, L.; Boccaccini, A.R. Versatile production of poly(epsilon-caprolactone) fibers by electrospinning using benign solvents. Nanomaterials 2016, 6, 75. [Google Scholar] [CrossRef]
- Marsella, J.A. Dimethylformamide. In Kirk-Othmer Encyclopedia of Chemical Technology; Updated by Staff; Wiley: Hoboken, NJ, USA, 2013. [Google Scholar] [CrossRef]
- Tammaro, L.; Russo, G.; Vittoria, V. Encapsulation of diclofenac molecules into poly(ε-caprolactone) electrospun fibers for delivery protection. J. Nanomater. 2009, 238206. [Google Scholar] [CrossRef]
- Şimşek, M. Tuning surface texture of electrospun polycaprolactone fibers: Effects of solvent systems and relative humidity. J. Mater. Res. 2020, 35, 1–11. [Google Scholar] [CrossRef]
- Kulpreechanan, N.; Bunaprasert, T.; Rangkupan, R. Electrospinning of polycaprolactone in dichloromethane/dimethylformamide solvent system. Adv. Mater. Res. 2014, 849, 339–342. [Google Scholar] [CrossRef]
- Abutaleb, A.; Lolla, D.; Aljuhani, A.; Shin, H.U.; Rajala, J.W.; Chase, G.G. Effect of surfactants on the morphology and properties of electrospun polyetherimide fibers. Fibers 2017, 5, 33. [Google Scholar] [CrossRef]
- Topuz, F.; Celebioglu, A.; Aytac, Z.; Uyar, T. Influence of salt addition on polymer-free electrospinning of cyclodextrin nanofibers. Nano Ex. 2020, 1, 020041. [Google Scholar] [CrossRef]
- Šišková, A.O.; Kozma, E.; Opálek, A.; Kroneková, Z.; Kleinová, A.; Nagy, Š.; Kronek, J.; Rydz, J.; Eckstein Andicsová, A. Diclofenac embedded in silk fibroin fibers as a drug delivery system. Materials 2020, 13, 3580. [Google Scholar] [CrossRef]
- Li, Z.G.; Harlow, R.L.; Foris, C.M.; Li, H.; Ma, P.; Vickery, R.D.; Maurin, M.B.; Toby, B.H. New applications of electron diffraction in the pharmaceutical industry: Polymorph determination by using a combination of electron diffraction and synchrotron X-ray powder diffraction techniques. Microsc. Microanal. 2002, 8, 134–138. [Google Scholar] [CrossRef]
- Fini, A.; Cavallari, C.; Ospitali, F. Diclofenac salts. V. Examples of polymorphism among diclofenac salts with alkyl-hydroxy amines studied by DSC and HSM. Pharmaceutics 2010, 2, 136. [Google Scholar] [CrossRef]
- Elzein, T.; Nasser-Edine, M.; Delaite, C.; Bistac, S.; Dumas, P. FTIR study of polycaprolactone chain organization at interfaces. J. Colloid Interface Sci. 2004, 273, 381–387. [Google Scholar] [CrossRef]
- Rahim, H.; Khan, M.A.; Badshah, A.; Chishti, K.A.; Khan, S.; Junaid, M. Evaluation of Prunus domestica gum as a novel tablet binder. Braz. J. Pharm. Sci. 2014, 50, 195–202. [Google Scholar] [CrossRef]
- Kumar, K.; Babu, G.; Krishnan, S. Study on mechanical & thermal properties of PCL blended graphene biocomposites. Polímeros 2019, 29, e2019024. [Google Scholar] [CrossRef]
- Wang, Y.; Rodrígez-Pérez, M.; Reis, R.L.; Mano, J.F. Thermal and Thermomechanical Behaviour of polycaprolactone and starch/polycaprolactone blends for biomedical applications. Macromol. Mat. Eng. 2005, 290, 792–801. [Google Scholar] [CrossRef]
- Tujda, P.; Khan, M.Z.; Meśtrović, E.; Horvat, M.; Golja, P. Thermal Behaviour of diclofenac sodium: Decomposition of melting characteristics. Chem. Pharm. Bull. 2001, 49, 1245–1250. [Google Scholar] [CrossRef]
- Ribeiro, Y.A.; de Oliveira, J.D.S.; Leles, M.I.G.; Juiz, S.A.; Ionashiro, M. Thermal decomposition of some analgesic agents. J. Therm. Anal. 1996, 46, 1645–1655. [Google Scholar] [CrossRef]
- Brennan, D.A.; Conte, A.A.; Kanski, G.; Turkula, S.; Hu, X.; Kleiner, M.T.; Beachley, V. Mechanical considerations for electrospun nanofibers in tendon and ligament repair. Adv. Healthc Mater. 2018, 7, e1701277. [Google Scholar] [CrossRef] [PubMed]
- Diaz-Gomez, L.; Alvarez-Lorenzo, C.; Concheiro, A.; Silva, M.; Dominguez, F.; Sheikh, F.A.; Cantu, T.; Desai, R.; Garcia, V.L.; Macossay, J. Biodegradable electrospun nanofibers coated with platelet-rich plasma for cell adhesion and proliferation. Mater. Sci. Eng. C 2014, 40, 180–188. [Google Scholar] [CrossRef] [PubMed]
- Kuznetsov, K.A.; Stepanova, A.O.; Kuznetsov, N.A.; Chernonosova, V.S.; Kharkova, M.V.; Romanova, I.V.; Karpenko, A.A.; Laktionov, P.P. Diclofenac release from polycaprolactone 3D matrices produced by electrospinning: Influence of fiber structure and composition of the surrounding medium. J. Polym. Mater. Polym. Biomater. 2019, 68, 27–33. [Google Scholar] [CrossRef]
- Stachewicz, U.; Bailey, R.J.; Wang, W.; Barber, A.H. Size dependent mechanical properties of electrospun polymer fibers from a composite structure. Polymer 2012, 53, 5132–5137. [Google Scholar] [CrossRef]
- Szewczyk, P.K.; Ura, P.D.; Metwally, S.; Kanpczyk-Korczak, J.; Gajek, M.; Marzec, M.M.; Bernasik, A.; Stachewicz, U. Roughness and fiber fraction dominated wetting of electrospun fiber-based porous meshes. Polymers 2019, 11, 34. [Google Scholar] [CrossRef]
- Reshmi, C.R.; Sundaran, S.P.; Juraij, A.; Athiyanathil, S. Fabrication of superhydrophobic polycaprolactone/beeswax electrospun membranes for high-efficiency oil/water separation. RSC. Adv. 2017, 7, 2092–2102. [Google Scholar] [CrossRef]
- Braga, P.C.; Lattuada, N.; Greco, V.; Sibilia, V.; Falchi, M.; Bianchi, T.; Dal Sasso, M. Diclofenac-Choline Antioxidant Activity Investigated by Means of Luminol Amplified Chemiluminescence of Human Neutrophil Bursts and Electron Paramagnetic Resonance Spectroscopy. Drug. Res. 2015, 5, 244–251. [Google Scholar] [CrossRef]
- Leão, C.; Borges, A.; Simões, M. NSAIDs as drug repurposing strategy for biofilm control. Antibiotics 2020, 9, 591. [Google Scholar] [CrossRef] [PubMed]
- Alves de Lima e Silva, A.; Silva, P.M. Non-antibiotic compounds: The activity of the NSAID diclofenac on bacteria- a review. Int. J. Curr. Microbiol. App. Sci. 2018, 7, 340–351. [Google Scholar] [CrossRef]
- Frickmann, H.; Hahn, A.; Berlec, S.; Ulrich, J.; Jansson, M.; Schwarz, N.G.; Warnke, P.; Podbielski, A. On the etiological relevance of Escherichia coli and staphylococcus aureus in superficial and deep infections—A hypothesis-forming, retrospective assessment. Eur. J. Microbiol. Immunol. 2019, 9, 124–130. [Google Scholar] [CrossRef] [PubMed]
- Sarwar, M.N.; Ullah, A.; Haider, M.K.; Hussain, N.; Ullah, S.; Hashimi, M.; Khan, M.Q.; Kim, I.S. Evaluating antibacterial efficacy and biocompatibility of PAN nanofibers loaded with diclofenac sodium salt. Polymers 2021, 13, 510. [Google Scholar] [CrossRef] [PubMed]
- Tong, S.Y.C.; Davis, J.S.; Eichenberger, E.; Holland, T.L.; Fowler, V.G., Jr. Staphylococcus aureus infections: Epidemiology, pathophysiology, clinical manifestations, and management. Clin. Microbiol. Rev. 2015, 28, 603–661. [Google Scholar] [CrossRef] [PubMed]
- Makvana, S.; Krilov, L.R. Escherichia coli infections. Pediatr. Rev. 2015, 36, 167–170. [Google Scholar] [CrossRef] [PubMed][Green Version]
- Zhang, Y.Z.; Venugopal, J.; Huang, Z.M.; Lim, C.T.; Ramakrishna, S. Characterization of the surface biocompatibility of the electrospun PCL-collagen nanofibers using fibroblasts. Biomacromolecules 2005, 6, 2583–2589. [Google Scholar] [CrossRef]
- Agarwal, S.; Wendorff, J.H.; Greiner, A. Use of electrospinning technique for biomedical applications. Polymer 2008, 49, 5603–5621. [Google Scholar] [CrossRef]
- Repanas, A.; Wolkers, W.F.; Gryshkov, O.; Müller, M.; Glasmacher, B. PCL/PEG electrospun fibers as drug carriers for the controlled delivery of dipyridamole. J. In Silico In Vitro Pharm. 2015, 1, 1–10. [Google Scholar] [CrossRef]











| Sample | PCL (g) | DSS (m/V%) | DCM (mL) | DMF (mL) |
|---|---|---|---|---|
| PCL | 1 | - | 5 | 5 |
| PLC/2.5%DSS | 1 | 2.5 | 5 | 5 |
| PCL/6%DSS | 1 | 6 | 5 | 5 |
| PCL/12.5%DSS | 1 | 12.5 | 5 | 5 |
| PCL/25%DSS | 1 | 25 | 5 | 5 |
| PCL/50%DSS | 1 | 50 | 5 | 5 |
| Content of DSS [wt%] | 0 | 2.5 | 6 | 12.5 | 25 | 50 |
|---|---|---|---|---|---|---|
| Avg. Dia. ± SD [nm] | 162 ± 75 | 164 ± 59 | 171 ± 58 | 233 ± 84 | 266 ± 114 | 290 ± 145 |
| Content of DSS [wt%] | σ ± SDσ (MPa) | ε ± SDε (%) |
|---|---|---|
| 0 | 7.5 ± 1.2 | 260 ± 74 |
| 2.5 | 7.2 ± 1.3 | 233 ± 59 |
| 6 | 7.0 ± 1.5 | 135 ± 22 |
| 12.5 | 5.5 ± 1.0 | 73 ± 5 |
| 25 | 4.3 ± 0.1 | 56 ± 4 |
| 50 | 1.5 ± 0.3 | 41 ± 23 |
| Content of DSS [wt%] | 0 | 2.5 | 6 | 12.5 | 25 | 50 |
| Contact Angle [°] | 100 ± 4 | 87 ± 4 | 68 ± 8 | 33 ± 3 | n.d. | n.d. |
| Tested Microorganism | Amount of DSS [wt%] | The Number of Bacteria Recovered at 24 h Contact Time [CFU/mL] | Logarithm of the Number of Bacteria Recovered at 24 h Contact Time [CFU/mL] | Antimicrobial Activity (R) | Reduction [%] |
|---|---|---|---|---|---|
| S. aureus CCM 3953 (G+) | 0 | 3,000,000 | 6.30 | - | - |
| 2.5 | 290,000 | 5.46 | 0.8 | 85.50 ± 0.01 | |
| 6 | 250,000 | 5.40 | 0.9 | 87.50 ± 0.04 | |
| 12.5 | 15,000 | 4.18 | 2.1 | 99.25 ± 0.02 | |
| 25 | 14,500 | 4.16 | 2.1 | 99.28 ± 0.02 | |
| 50 | 14,000 | 4.15 | 2.2 | 99.30 ± 0.01 | |
| E. coli CCM 3988 (G−) | 0 | 3,000,000 | 6.48 | - | - |
| 2.5 | 390,000 | 5.59 | 0.9 | 87.00 ± 0.01 | |
| 6 | 350,000 | 5.54 | 0.9 | 88.33 ± 0.01 | |
| 12.5 | 35,000 | 4.54 | 1.9 | 98.83 ± 0.01 | |
| 25 | 29,500 | 4.47 | 2.0 | 99.02 ± 0.02 | |
| 50 | 24,000 | 4.38 | 2.1 | 99.20 ± 0.02 |
Publisher’s Note: MDPI stays neutral with regard to jurisdictional claims in published maps and institutional affiliations. |
© 2021 by the authors. Licensee MDPI, Basel, Switzerland. This article is an open access article distributed under the terms and conditions of the Creative Commons Attribution (CC BY) license (https://creativecommons.org/licenses/by/4.0/).
Share and Cite
Opálková Šišková, A.; Bučková, M.; Kroneková, Z.; Kleinová, A.; Nagy, Š.; Rydz, J.; Opálek, A.; Sláviková, M.; Eckstein Andicsová, A. The Drug-Loaded Electrospun Poly(ε-Caprolactone) Mats for Therapeutic Application. Nanomaterials 2021, 11, 922. https://doi.org/10.3390/nano11040922
Opálková Šišková A, Bučková M, Kroneková Z, Kleinová A, Nagy Š, Rydz J, Opálek A, Sláviková M, Eckstein Andicsová A. The Drug-Loaded Electrospun Poly(ε-Caprolactone) Mats for Therapeutic Application. Nanomaterials. 2021; 11(4):922. https://doi.org/10.3390/nano11040922
Chicago/Turabian StyleOpálková Šišková, Alena, Mária Bučková, Zuzana Kroneková, Angela Kleinová, Štefan Nagy, Joanna Rydz, Andrej Opálek, Monika Sláviková, and Anita Eckstein Andicsová. 2021. "The Drug-Loaded Electrospun Poly(ε-Caprolactone) Mats for Therapeutic Application" Nanomaterials 11, no. 4: 922. https://doi.org/10.3390/nano11040922
APA StyleOpálková Šišková, A., Bučková, M., Kroneková, Z., Kleinová, A., Nagy, Š., Rydz, J., Opálek, A., Sláviková, M., & Eckstein Andicsová, A. (2021). The Drug-Loaded Electrospun Poly(ε-Caprolactone) Mats for Therapeutic Application. Nanomaterials, 11(4), 922. https://doi.org/10.3390/nano11040922

