High-Performance Photodetectors Based on Nanostructured Perovskites
Abstract
1. Introduction
2. Photodetectors
2.1. Photoconductor
2.1.1. Photoconductor Based on 2D Perovskites
2.1.2. Photoconductor Based on 1D Perovskites
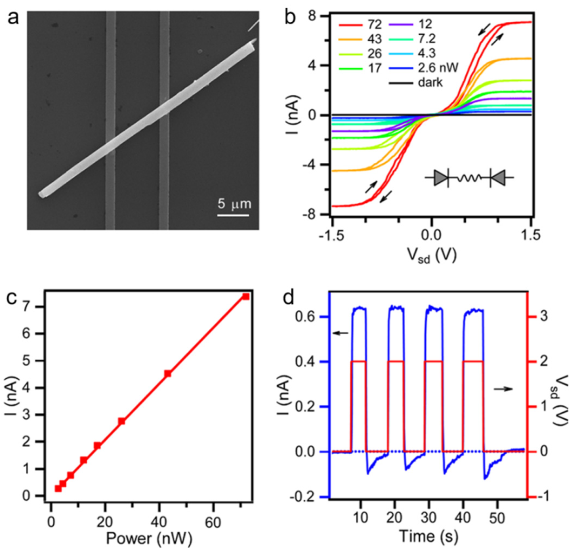
2.1.3. Photoconductor Based on Other Nanostructured Perovskites
2.2. Phototransistor
2.2.1. Phototransistor Based on 2D Perovskites
2.2.2. Phototransistor Based on 1D Perovskites
2.2.3. Phototransistor Based on Other Nanostructured Perovskites
2.3. Photodiode Based on Nanostructured Perovskites
3. Conclusions and Outlook
Funding
Conflicts of Interest
References
- Xu, Z.; Zhang, Y.; Wang, Z. ZnO-based photodetector: From photon detector to pyro-phototronic effect enhanced detector. J. Phys. D Appl. Phys. 2019, 52, 223001. [Google Scholar] [CrossRef]
- Li, D.; Jiang, K.; Sun, X.; Guo, C. AlGaN photonics: Recent advances in materials and ultraviolet devices. Adv. Opt. Photonics 2018, 10, 43–110. [Google Scholar] [CrossRef]
- Oh, S.; Kim, C.-K.; Kim, J. High responsivity β-Ga2O3 metal–semiconductor–metal solar-blind photodetectors with ultraviolet transparent graphene electrodes. Acs Photonics 2017, 5, 1123–1128. [Google Scholar] [CrossRef]
- Qi, J.; Qiao, W.; Zhou, X.; Yang, D.; Zhang, J.; Ma, D.; Wang, Z.Y. High--Detectivity All--Polymer Photodetectors with Spectral Response from 300 to 1100 nm. Macromol. Chem. Phys. 2016, 217, 1683–1689. [Google Scholar] [CrossRef]
- Luo, L.-B.; Yang, X.-B.; Liang, F.-X.; Jie, J.-S.; Li, Q.; Zhu, Z.-F.; Wu, C.-Y.; Yu, Y.-Q.; Wang, L. Transparent and flexible selenium nanobelt-based visible light photodetector. CrystEngComm 2012, 14, 1942–1947. [Google Scholar] [CrossRef]
- Qiu, X.; Wang, Z.; Hou, X.; Yu, X.; Yang, D. Visible-blind short-wavelength infrared photodetector with high responsivity based on hyperdoped silicon. Photonics Res. 2019, 7, 351–358. [Google Scholar] [CrossRef]
- Yu, P.; Hu, K.; Chen, H.; Zheng, L.; Fang, X. Novel p–p Heterojunctions Self-Powered Broadband Photodetectors with Ultrafast Speed and High Responsivity. Adv. Funct. Mater. 2017, 27, 1703166. [Google Scholar] [CrossRef]
- Gong, F.; Fang, H.; Wang, P.; Su, M.; Li, Q.; Ho, J.C.; Chen, X.; Lu, W.; Liao, L.; Wang, J. Visible to near-infrared photodetectors based on MoS2 vertical Schottky junctions. Nanotechnology 2017, 28, 484002. [Google Scholar] [CrossRef] [PubMed]
- Wang, L.; Jie, J.; Shao, Z.; Zhang, Q.; Zhang, X.; Wang, Y.; Sun, Z.; Lee, S.T. MoS2/Si heterojunction with vertically standing layered structure for ultrafast, high--detectivity, self--driven visible–near infrared photodetectors. Adv. Funct. Mater. 2015, 25, 2910–2919. [Google Scholar] [CrossRef]
- Rogalski, A.; Antoszewski, J.; Faraone, L. Third-generation infrared photodetector arrays. J. Appl. Phys. 2009, 105, 4. [Google Scholar] [CrossRef]
- Meledin, D.V.; Marrone, D.P.; Tong, C.-Y.; Gibson, H.; Blundell, R.; Paine, S.N.; Papa, D.C.; Smith, M.; Hunter, T.R.; Battat, J. A 1-THz superconducting hot-electron-bolometer receiver for astronomical observations. IEEE Trans. Microw. Theory Tech. 2004, 52, 2338–2343. [Google Scholar] [CrossRef]
- Tong, C.-Y.; Meledin, D.V.; Marrone, D.P.; Paine, S.N.; Gibson, H.; Blundell, R. Near field vector beam measurements at 1 THz. IEEE Microw. Wirel. Compon. Lett. 2003, 13, 235–237. [Google Scholar] [CrossRef]
- Mittleman, D.M. Twenty years of terahertz imaging. Opt. Express 2018, 26, 9417–9431. [Google Scholar] [CrossRef]
- Zhang, H.; Zhang, X.; Liu, C.; Lee, S.-T.; Jie, J. High-responsivity, high-detectivity, ultrafast topological insulator Bi2Se3/silicon heterostructure broadband photodetectors. ACS Nano 2016, 10, 5113–5122. [Google Scholar] [CrossRef] [PubMed]
- Xie, C.; Nie, B.; Zeng, L.; Liang, F.-X.; Wang, M.-Z.; Luo, L.; Feng, M.; Yu, Y.; Wu, C.-Y.; Wu, Y. Core–shell heterojunction of silicon nanowire arrays and carbon quantum dots for photovoltaic devices and self-driven photodetectors. ACS Nano 2014, 8, 4015–4022. [Google Scholar] [CrossRef]
- Zhang, A.; Kim, H.; Cheng, J.; Lo, Y.-H. Ultrahigh responsivity visible and infrared detection using silicon nanowire phototransistors. Nano Lett. 2010, 10, 2117–2120. [Google Scholar] [CrossRef]
- Barone, P.W.; Baik, S.; Heller, D.A.; Strano, M.S. Near-infrared optical sensors based on single-walled carbon nanotubes. Nat. Mater. 2005, 4, 86–92. [Google Scholar] [CrossRef] [PubMed]
- Arnold, M.S.; Zimmerman, J.D.; Renshaw, C.K.; Xu, X.; Lunt, R.R.; Austin, C.M.; Forrest, S.R. Broad spectral response using carbon nanotube/organic semiconductor/C60 photodetectors. Nano Lett. 2009, 9, 3354–3358. [Google Scholar] [CrossRef] [PubMed]
- Kind, H.; Yan, H.; Messer, B.; Law, M.; Yang, P. Nanowire ultraviolet photodetectors and optical switches. Adv. Mater. 2002, 14, 158–160. [Google Scholar] [CrossRef]
- Jin, Y.; Wang, J.; Sun, B.; Blakesley, J.C.; Greenham, N.C. Solution-processed ultraviolet photodetectors based on colloidal ZnO nanoparticles. Nano Lett. 2008, 8, 1649–1653. [Google Scholar] [CrossRef] [PubMed]
- Baeg, K.J.; Binda, M.; Natali, D.; Caironi, M.; Noh, Y.Y. Organic light detectors: Photodiodes and phototransistors. Adv. Mater. 2013, 25, 4267–4295. [Google Scholar] [CrossRef] [PubMed]
- Herman, M.A.; Sitter, H. Molecular Beam Epitaxy: Fundamentals and Current Status; Springer: Berlin/Heidelber, Germany, 2012; Volume 7. [Google Scholar]
- Bao, C.; Zhu, W.; Yang, J.; Li, F.; Gu, S.; Wang, Y.; Yu, T.; Zhu, J.; Zhou, Y.; Zou, Z. Highly flexible self-powered organolead trihalide perovskite photodetectors with gold nanowire networks as transparent electrodes. ACS Appl. Mater. Interfaces 2016, 8, 23868–23875. [Google Scholar] [CrossRef]
- Lin, Q.; Armin, A.; Burn, P.L.; Meredith, P. Filterless narrowband visible photodetectors. Nat. Photonics 2015, 9, 687–694. [Google Scholar] [CrossRef]
- Maculan, G.; Sheikh, A.D.; Abdelhady, A.L.; Saidaminov, M.I.; Haque, M.A.; Murali, B.; Alarousu, E.; Mohammed, O.F.; Wu, T.; Bakr, O.M. CH3NH3PbCl3 single crystals: Inverse temperature crystallization and visible-blind UV-photodetector. J. Phys. Chem. Lett. 2015, 6, 3781–3786. [Google Scholar] [CrossRef] [PubMed]
- Xing, G.; Mathews, N.; Sun, S.; Lim, S.S.; Lam, Y.M.; Grätzel, M.; Mhaisalkar, S.; Sum, T.C. Long-range balanced electron-and hole-transport lengths in organic-inorganic CH3NH3PbI3. Science 2013, 342, 344–347. [Google Scholar] [CrossRef]
- Bekenstein, Y.; Koscher, B.A.; Eaton, S.W.; Yang, P.; Alivisatos, A.P. Highly Luminescent Colloidal Nanoplates of Perovskite Cesium Lead Halide and Their Oriented Assemblies. J. Am. Chem. Soc. 2015, 137, 16008–16011. [Google Scholar] [CrossRef] [PubMed]
- Tong, Y.L.; Zhang, Y.W.; Ma, K.; Cheng, R.; Wang, F.; Chen, S. One-Step Synthesis of FA-Directing FAPbBr3 Perovskite Nanocrystals toward High-Performance Display. ACS Appl. Mater. Interfaces 2018, 10, 31603–31609. [Google Scholar] [CrossRef]
- Takahashi, Y.; Hasegawa, H.; Takahashi, Y.; Inabe, T. Hall mobility in tin iodide perovskite CH3NH3SnI3: Evidence for a doped semiconductor. J. Solid State Chem. 2013, 205, 39–43. [Google Scholar] [CrossRef]
- Yin, W.J.; Shi, T.; Yan, Y. Unique properties of halide perovskites as possible origins of the superior solar cell performance. Adv. Mater. 2014, 26, 4653–4658. [Google Scholar] [CrossRef]
- Hu, X.; Zhang, X.; Liang, L.; Bao, J.; Li, S.; Yang, W.; Xie, Y. High-Performance Flexible Broadband Photodetector Based on Organolead Halide Perovskite. Adv. Funct. Mater. 2014, 24, 7373–7380. [Google Scholar] [CrossRef]
- Saidaminov, M.I.; Adinolfi, V.; Comin, R.; Abdelhady, A.L.; Peng, W.; Dursun, I.; Yuan, M.; Hoogland, S.; Sargent, E.H.; Bakr, O.M. Planar-integrated single-crystalline perovskite photodetectors. Nature Commun. 2015, 6, 1–7. [Google Scholar] [CrossRef] [PubMed]
- Fang, Y.; Dong, Q.; Shao, Y.; Yuan, Y.; Huang, J. Highly narrowband perovskite single-crystal photodetectors enabled by surface-charge recombination. Nat. Photonics 2015, 9, 679–686. [Google Scholar] [CrossRef]
- Han, Q.; Bae, S.H.; Sun, P.; Hsieh, Y.T.; Yang, Y.; Rim, Y.S.; Zhao, H.; Chen, Q.; Shi, W.; Li, G. Single crystal formamidinium lead iodide (FAPbI3): Insight into the structural, optical, and electrical properties. Adv. Mater. 2016, 28, 2253–2258. [Google Scholar] [CrossRef] [PubMed]
- Liu, X.; Gu, L.; Zhang, Q.; Wu, J.; Long, Y.; Fan, Z. All-printable band-edge modulated ZnO nanowire photodetectors with ultra-high detectivity. Nat. Commun. 2014, 5, 1–9. [Google Scholar] [CrossRef]
- Wu, X.; Trinh, M.T.; Niesner, D.; Zhu, H.; Norman, Z.; Owen, J.S.; Yaffe, O.; Kudisch, B.J.; Zhu, X.-Y. Trap states in lead iodide perovskites. J. Am. Chem. Soc. 2015, 137, 2089–2096. [Google Scholar] [CrossRef]
- De Quilettes, D.W.; Vorpahl, S.M.; Stranks, S.D.; Nagaoka, H.; Eperon, G.E.; Ziffer, M.E.; Snaith, H.J.; Ginger, D.S. Impact of microstructure on local carrier lifetime in perovskite solar cells. Science 2015, 348, 683–686. [Google Scholar] [CrossRef]
- Soci, C.; Zhang, A.; Xiang, B.; Dayeh, S.A.; Aplin, D.; Park, J.; Bao, X.; Lo, Y.-H.; Wang, D. ZnO nanowire UV photodetectors with high internal gain. Nano Lett. 2007, 7, 1003–1009. [Google Scholar] [CrossRef]
- McDonald, S.A.; Konstantatos, G.; Zhang, S.; Cyr, P.W.; Klem, E.J.; Levina, L.; Sargent, E.H. Solution-processed PbS quantum dot infrared photodetectors and photovoltaics. Nat. Mater. 2005, 4, 138–142. [Google Scholar] [CrossRef]
- Fang, X.; Bando, Y.; Liao, M.; Gautam, U.K.; Zhi, C.; Dierre, B.; Liu, B.; Zhai, T.; Sekiguchi, T.; Koide, Y. Single--crystalline ZnS nanobelts as ultraviolet--light sensors. Adv. Mater. 2009, 21, 2034–2039. [Google Scholar] [CrossRef]
- Huang, X.; Wang, M.; Willinger, M.-G.; Shao, L.; Su, D.S.; Meng, X.-M. Assembly of three-dimensional hetero-epitaxial ZnO/ZnS core/shell nanorod and single crystalline hollow ZnS nanotube arrays. ACS Nano 2012, 6, 7333–7339. [Google Scholar] [CrossRef]
- Chen, G.; Feng, J.; Gao, H.; Zhao, Y.; Pi, Y.; Jiang, X.; Wu, Y.; Jiang, L. Stable α--CsPbI3 Perovskite Nanowire Arrays with Preferential Crystallographic Orientation for Highly Sensitive Photodetectors. Adv. Funct. Mater. 2019, 29, 1808741. [Google Scholar] [CrossRef]
- Song, J.; Xu, L.; Li, J.; Xue, J.; Dong, Y.; Li, X.; Zeng, H. Monolayer and Few-Layer All-Inorganic Perovskites as a New Family of Two-Dimensional Semiconductors for Printable Optoelectronic Devices. Adv. Mater. 2016, 28, 4861–4869. [Google Scholar] [CrossRef]
- Wu, H.; Si, H.; Zhang, Z.; Kang, Z.; Wu, P.; Zhou, L.; Zhang, S.; Zhang, Z.; Liao, Q.; Zhang, Y. All-Inorganic Perovskite Quantum Dot-Monolayer MoS2 Mixed-Dimensional van der Waals Heterostructure for Ultrasensitive Photodetector. Adv. Sci. 2018, 5, 1801219. [Google Scholar] [CrossRef] [PubMed]
- Gu, H.; Chen, S.C.; Zheng, Q. Emerging Perovskite Materials with Different Nanostructures for Photodetectors. Adv. Opt. Mater. 2020, 2001637. [Google Scholar] [CrossRef]
- Wang, H.P.; Li, S.; Liu, X.; Shi, Z.; Fang, X.; He, J.H. Low-Dimensional Metal Halide Perovskite Photodetectors. Adv. Mater. 2021, 33, e2003309. [Google Scholar] [CrossRef]
- Song, J.; Cui, Q.; Li, J.; Xu, J.; Wang, Y.; Xu, L.; Xue, J.; Dong, Y.; Tian, T.; Sun, H.; et al. Ultralarge All-Inorganic Perovskite Bulk Single Crystal for High-Performance Visible-Infrared Dual-Modal Photodetectors. Adv. Opt. Mater. 2017, 5, 1700157. [Google Scholar] [CrossRef]
- Liang, F.-X.; Wang, J.-Z.; Zhang, Z.-X.; Wang, Y.-Y.; Gao, Y.; Luo, L.-B. Broadband, Ultrafast, Self-Driven Photodetector Based on Cs-Doped FAPbI3 Perovskite Thin Film. Adv. Opt. Mater. 2017, 5, 1700654. [Google Scholar] [CrossRef]
- Wang, F.; Mei, J.; Wang, Y.; Zhang, L.; Zhao, H.; Zhao, D. Fast Photoconductive Responses in Organometal Halide Perovskite Photodetectors. ACS Appl. Mater. Interfaces 2016, 8, 2840–2846. [Google Scholar] [CrossRef] [PubMed]
- Li, Y.; Shi, Z.-F.; Li, S.; Lei, L.-Z.; Ji, H.-F.; Wu, D.; Xu, T.-T.; Tian, Y.-T.; Li, X.-J. High-performance perovskite photodetectors based on solution-processed all-inorganic CsPbBr3 thin films. J. Mater. Chem. 2017, 5, 8355–8360. [Google Scholar] [CrossRef]
- Li, F.; Ma, C.; Wang, H.; Hu, W.; Yu, W.; Sheikh, A.D.; Wu, T. Ambipolar solution-processed hybrid perovskite phototransistors. Nat. Commun. 2015, 6. [Google Scholar] [CrossRef] [PubMed]
- Ramasamy, P.; Lim, D.-H.; Kim, B.; Lee, S.-H.; Lee, M.-S.; Lee, J.-S. All-inorganic cesium lead halide perovskite nanocrystals for photodetector applications. Chem. Commun. 2016, 52, 2067–2070. [Google Scholar] [CrossRef]
- Qin, X.; Yao, Y.; Dong, H.; Zhen, Y.; Jiang, L.; Hu, W. Perovskite Photodetectors based on CH3NH3PbI3 Single Crystals. Chem. Asian J. 2016, 11, 2675–2679. [Google Scholar] [CrossRef]
- Xia, H.-R.; Li, J.; Sun, W.-T.; Peng, L.-M. Organohalide lead perovskite based photodetectors with much enhanced performance. Chem. Commun. 2014, 50, 13695–13697. [Google Scholar] [CrossRef] [PubMed]
- Li, X.; Yu, D.; Chen, J.; Wang, Y.; Cao, F.; Wei, Y.; Wu, Y.; Wang, L.; Zhu, Y.; Sun, Z.; et al. Constructing Fast Carrier Tracks into Flexible Perovskite Photodetectors To Greatly Improve Responsivity. ACS Nano 2017, 11, 2015–2023. [Google Scholar] [CrossRef] [PubMed]
- Deng, W.; Zhang, X.; Huang, L.; Xu, X.; Wang, L.; Wang, J.; Shang, Q.; Lee, S.T.; Jie, J. Aligned Single-Crystalline Perovskite Microwire Arrays for High-Performance Flexible Image Sensors with Long-Term Stability. Adv. Mater. 2016, 28, 2201–2208. [Google Scholar] [CrossRef] [PubMed]
- Li, S.; Li, Y.; Shi, Z.; Lei, L.; Ji, H.; Wu, D.; Xu, T.; Li, X.; Du, G. Fabrication of morphology-controlled and highly-crystallized perovskite microwires for long-term stable photodetectors. Sol. Energy Mater. Sol. Cells 2019, 191, 275–282. [Google Scholar] [CrossRef]
- Zhuo, S.; Zhang, J.; Shi, Y.; Huang, Y.; Zhang, B. Self-template-directed synthesis of porous perovskite nanowires at room temperature for high-performance visible-light photodetectors. Angew. Chem. 2015, 54, 5693–5696. [Google Scholar] [CrossRef]
- Deng, W.; Huang, L.; Xu, X.; Zhang, X.; Jin, X.; Lee, S.T.; Jie, J. Ultrahigh-Responsivity Photodetectors from Perovskite Nanowire Arrays for Sequentially Tunable Spectral Measurement. Nano Lett. 2017, 17, 2482–2489. [Google Scholar] [CrossRef] [PubMed]
- Tang, X.; Zu, Z.; Shao, H.; Hu, W.; Zhou, M.; Deng, M.; Chen, W.; Zang, Z.; Zhu, T.; Xue, J. All-inorganic perovskite CsPb(Br/I)3 nanorods for optoelectronic application. Nanoscale 2016, 8, 15158–15161. [Google Scholar] [CrossRef]
- Gao, L.; Zeng, K.; Guo, J.; Ge, C.; Du, J.; Zhao, Y.; Chen, C.; Deng, H.; He, Y.; Song, H.; et al. Passivated Single-Crystalline CH3NH3PbI3 Nanowire Photodetector with High Detectivity and Polarization Sensitivity. Nano Lett. 2016, 16, 7446–7454. [Google Scholar] [CrossRef]
- Liu, Y.; Li, F.; Perumal Veeramalai, C.; Chen, W.; Guo, T.; Wu, C.; Kim, T.W. Inkjet-Printed Photodetector Arrays Based on Hybrid Perovskite CH3NH3PbI3 Microwires. ACS Appl. Mater. Iinterfaces 2017, 9, 11662–11668. [Google Scholar] [CrossRef] [PubMed]
- Han, M.; Sun, J.; Peng, M.; Han, N.; Chen, Z.; Liu, D.; Guo, Y.; Zhao, S.; Shan, C.; Xu, T.; et al. Controllable Growth of Lead-Free All-Inorganic Perovskite Nanowire Array with Fast and Stable Near-Infrared Photodetection. J. Phys. Chem. 2019, 123, 17566–17573. [Google Scholar] [CrossRef]
- Li, Y.; Shi, Z.; Wang, L.; Chen, Y.; Liang, W.; Wu, D.; Li, X.; Zhang, Y.; Shan, C.; Fang, X. Solution-processed one-dimensional CsCu2I3 nanowires for polarization-sensitive and flexible ultraviolet photodetectors. Mater. Horiz. 2020, 7, 1613–1622. [Google Scholar] [CrossRef]
- Dong, Y.; Gu, Y.; Zou, Y.; Song, J.; Xu, L.; Li, J.; Xue, J.; Li, X.; Zeng, H. Improving All-Inorganic Perovskite Photodetectors by Preferred Orientation and Plasmonic Effect. Small 2016, 12, 5622–5632. [Google Scholar] [CrossRef]
- Algadi, H.; Mahata, C.; Sahoo, B.; Kim, M.; Koh, W.-G.; Lee, T. Facile method for the preparation of high-performance photodetectors with a GQDs/perovskite bilayer heterostructure. Org. Electron. 2020, 76, 105444. [Google Scholar] [CrossRef]
- Liu, J.; Xue, Y.; Wang, Z.; Xu, Z.Q.; Zheng, C.; Weber, B.; Song, J.; Wang, Y.; Lu, Y.; Zhang, Y.; et al. Two-Dimensional CH3NH3PbI3 Perovskite: Synthesis and Optoelectronic Application. ACS Nano 2016, 10, 3536–3542. [Google Scholar] [CrossRef]
- Lv, L.; Xu, Y.; Fang, H.; Luo, W.; Xu, F.; Liu, L.; Wang, B.; Zhang, X.; Yang, D.; Hu, W. Generalized colloidal synthesis of high-quality, two-dimensional cesium lead halide perovskite nanosheets and their applications in photodetectors. Nanoscale 2016, 8, 13589–13596. [Google Scholar] [CrossRef]
- Horvath, E.; Spina, M.; Szekrenyes, Z.; Kamaras, K.; Gaal, R.; Gachet, D.; Forro, L. Nanowires of methylammonium lead iodide (CH3NH3PbI3) prepared by low temperature solution-mediated crystallization. Nano Lett. 2014, 14, 6761–6766. [Google Scholar] [CrossRef] [PubMed]
- Zhu, C.; Tang, Y.; Chen, F.; Manohari, A.G.; Zhu, Y.; Shi, Z.; Xu, C. Fabrication of self-assembly polycrystalline perovskite microwires and photodetectors. J. Cryst. Growth 2016, 454, 121–127. [Google Scholar] [CrossRef]
- Xiao, R.; Hou, Y.; Fu, Y.; Peng, X.; Wang, Q.; Gonzalez, E.; Jin, S.; Yu, D. Photocurrent Mapping in Single-Crystal Methylammonium Lead Iodide Perovskite Nanostructures. Nano Lett. 2016, 16, 7710–7717. [Google Scholar] [CrossRef]
- Spina, M.; Lehmann, M.; Nafradi, B.; Bernard, L.; Bonvin, E.; Gaal, R.; Magrez, A.; Forro, L.; Horvath, E. Microengineered CH3NH3PbI3 Nanowire/Graphene Phototransistor for Low-Intensity Light Detection at Room Temperature. Small 2015, 11, 4824–4828. [Google Scholar] [CrossRef]
- Chen, Y.; Wu, X.; Chu, Y.; Zhou, J.; Zhou, B.; Huang, J. Hybrid Field-Effect Transistors and Photodetectors Based on Organic Semiconductor and CsPbI3 Perovskite Nanorods Bilayer Structure. Nano-Micro Lett. 2018, 10, 57. [Google Scholar] [CrossRef]
- Meng, Y.; Lan, C.; Li, F.; Yip, S.; Wei, R.; Kang, X.; Bu, X.; Dong, R.; Zhang, H.; Ho, J.C. Direct Vapor-Liquid-Solid Synthesis of All-Inorganic Perovskite Nanowires for High-Performance Electronics and Optoelectronics. ACS Nano 2019, 13, 6060–6070. [Google Scholar] [CrossRef]
- Yang, T.; Zheng, Y.; Du, Z.; Liu, W.; Yang, Z.; Gao, F.; Wang, L.; Chou, K.C.; Hou, X.; Yang, W. Superior Photodetectors Based on All-Inorganic Perovskite CsPbI3 Nanorods with Ultrafast Response and High Stability. ACS Nano 2018, 12, 1611–1617. [Google Scholar] [CrossRef] [PubMed]
- Du, Z.; Fu, D.; Teng, J.; Wang, L.; Gao, F.; Yang, W.; Zhang, H.; Fang, X. CsPbI3 Nanotube Photodetectors with High Detectivity. Small 2019, 15, e1905253. [Google Scholar] [CrossRef]
- Kwak, D.-H.; Lim, D.-H.; Ra, H.-S.; Ramasamy, P.; Lee, J.-S. High performance hybrid graphene–CsPbBr3−xIx perovskite nanocrystal photodetector. RSC Advances 2016, 6, 65252–65256. [Google Scholar] [CrossRef]
- Surendran, A.; Yu, X.; Begum, R.; Tao, Y.; Wang, Q.J.; Leong, W.L. All Inorganic Mixed Halide Perovskite Nanocrystal-Graphene Hybrid Photodetector: From Ultrahigh Gain to Photostability. ACS Appl. Mater. Interfaces 2019, 11, 27064–27072. [Google Scholar] [CrossRef] [PubMed]
- Zou, C.; Xi, Y.; Huang, C.Y.; Keeler, E.G.; Feng, T.; Zhu, S.; Pozzo, L.D.; Lin, L.Y. A Highly Sensitive UV–vis–NIR All--Inorganic Perovskite Quantum Dot Phototransistor Based on a Layered Heterojunction. Adv. Opt. Mater. 2018, 6, 1800324. [Google Scholar] [CrossRef]
- Dou, L.; Yang, Y.M.; You, J.; Hong, Z.; Chang, W.H.; Li, G.; Yang, Y. Solution-processed hybrid perovskite photodetectors with high detectivity. Nat. Commun. 2014, 5, 5404. [Google Scholar] [CrossRef] [PubMed]
- Fang, Y.; Huang, J. Resolving Weak Light of Sub-picowatt per Square Centimeter by Hybrid Perovskite Photodetectors Enabled by Noise Reduction. Adv. Mater. 2015, 27, 2804–2810. [Google Scholar] [CrossRef]
- Lin, Q.; Armin, A.; Lyons, D.M.; Burn, P.L.; Meredith, P. Low noise, IR-blind organohalide perovskite photodiodes for visible light detection and imaging. Adv. Mater. 2015, 27, 2060–2064. [Google Scholar] [CrossRef] [PubMed]
- Sutherland, B.R.; Johnston, A.K.; Ip, A.H.; Xu, J.; Adinolfi, V.; Kanjanaboos, P.; Sargent, E.H. Sensitive, Fast, and Stable Perovskite Photodetectors Exploiting Interface Engineering. ACS Photonics 2015, 2, 1117–1123. [Google Scholar] [CrossRef]
- Zhao, Y.; Li, C.; Shen, L. Recent advances on organic--inorganic hybrid perovskite photodetectors with fast response. InfoMat 2019, 1, 164–182. [Google Scholar] [CrossRef]
- Konstantatos, G.; Sargent, E.H. Nanostructured materials for photon detection. Nat. Nanotechnol. 2010, 5, 391–400. [Google Scholar] [CrossRef]
- Dong, R.; Fang, Y.; Chae, J.; Dai, J.; Xiao, Z.; Dong, Q.; Yuan, Y.; Centrone, A.; Zeng, X.C.; Huang, J. High-gain and low-driving-voltage photodetectors based on organolead triiodide perovskites. Adv. Mater. 2015, 27, 1912–1918. [Google Scholar] [CrossRef] [PubMed]

































| Parameters | Definition |
|---|---|
| Photoresponsivity (R) | the ratio of the photocurrent to the incident power on the active area: R = (Ip − Id)/(PA), where Ip is the photocurrent, Id is the dark current, P is the light intensity, A is the active area |
| EQE | Photoelectric conversion efficiency. EQE = Rhc/e, where h is the Planck’s constant, c is the light velocity, e is the electronic charge. |
| Gain (G) | The number of charge carriers through external circuit for per incident photon: G = τl/τt = τl(µV)/d2, where τl is the carrier lifetime, τt is the carrier transit time, µ is the carrier mobility, V is bias voltage, d is the channel length |
| Detectivity (D*) | D* = (A△ f)1/2/NEP, where A is the active area of the detector, △f is the electrical bandwidth, NEP is the noise equivalent power. |
| LDR | LDR usually stands for “Linear Dynamic Range”, defined as the range in which the current response of the photodetector is linearly proportional to the light intensity. LDR = 20 log (Ip*/Id), Where Id is the dark current. |
| Response speed (rise/decay time) | The ability of devices to track the incident light signal. |
| Device | Dimension | Perovskite | R | D | EQE | On/Off Ratio | Gain | LDR | Rise/Decay Time | Ref |
|---|---|---|---|---|---|---|---|---|---|---|
| Photoconductor | 2D | CsPbBr3 | 0.25 | 53% | 19 µs/25 µs | [43] | ||||
| MAPbI3 | 1210 | [53] | ||||||||
| CsPbBr3/CNTs | 31.1 | 7488% | 16 µs/0.38 ms | [55] | ||||||
| 1D | MAPbI3 | 13.57 | 5.25 × 1012 | [56] | ||||||
| MAPbI3 | 0.04 | 0.6 × 1012 | 0.84 × 104 | 178 µs/173 µs | [57] | |||||
| MAPbBr3 | 61.9 | 0.12 s/0.086 s | [58] | |||||||
| MAPb(I1-xBrx)3 | 1.25 × 104 | 1.73 × 1011 | 36,800 | 150 | [59] | |||||
| MAPb(I/Br)3 | 103 | 2000 | 0.68 s/0.66 s | [60] | ||||||
| MAPbI3 | 0.45 | 2 × 1013 | 4000 | <0.1 ms | [61] | |||||
| MAPbI3 | 1.2 | 2.39 × 1012 | 160 | [62] | ||||||
| CsPbI3 | 1294 | 2.6 × 1014 | 0.85 ms/0.78 ms | [42] | ||||||
| CsSnI3 | 0.054 | 3.85 × 105 | 83.8 ms/243.4 ms | [63] | ||||||
| CsCu2I3 | 32.3 | 1.89 × 1012 | 2.6 × 103 | 6.94 µs/214 µs | [64] | |||||
| others | CsPbBr3 | 0.0209 | 1.6 × 105 | 0.2 ms/1.3 s | [65] | |||||
| CsPbX3 | 105 | 24 ms/29 ms | [52] | |||||||
| GQDs/CsPbBr3 | 0.24 | 2.5 × 1012 | 57% | 7.2 × 104 | 1.16 ms (Decay) | [66] | ||||
| Phototransistor | 2D | MAPbX3 | 22 | 1012 | 20 ms/40 ms | [67] | ||||
| CsPbBr3 | 17.8 ms/(14.7 ms/15.2 ms) | [68] | ||||||||
| 1D | MAPbI3 | 0.35 ms/0.25 ms | [69] | |||||||
| MAPbI3 | 0.3 | 4.02 × 103 | 0.2 ms/0.25 ms | [70] | ||||||
| MAPbI3 | 0.11 | 0.25 | [71] | |||||||
| MAPbI3 | 2.6 × 106 | 55 s/75 s | [72] | |||||||
| C8BTBT/CsPbI3 | 4.3 × 103 | 2.2 × 1066 | [73] | |||||||
| CsPbX3 | 4489 | 7.9 × 1012 | <50 ms | [74] | ||||||
| CsPbI3 | 2.92 × 103 | 5.17 × 1013 | 0.6 × 106% | 50ms | [75] | |||||
| CsPbI3 | 1.84 × 103 | 9.9 × 1013 | 5.65 × 105% | 3.78 ms/539 ms | [76] | |||||
| others | Graphene/CsPbBr3-xIx | 8.2 × 108 | 2.4 × 1016 | 0.81 s/3.65 s | [77] | |||||
| Graphene/CsPbBrxI3-x | 1.12 × 105 | 1.17 × 1011 | 9.32 × 1010 | 273.6 ms/2.26 s | [78] | |||||
| CsPbI3-xBrx | 7.7 × 104 | 5.6 × 1011 | 107% | 0.59 s/0.32 s | [44] | |||||
| CsPbI3/DPP-DTT | 110 | 2.9 × 1013 | 6 × 103 | [79] |
Publisher’s Note: MDPI stays neutral with regard to jurisdictional claims in published maps and institutional affiliations. |
© 2021 by the authors. Licensee MDPI, Basel, Switzerland. This article is an open access article distributed under the terms and conditions of the Creative Commons Attribution (CC BY) license (https://creativecommons.org/licenses/by/4.0/).
Share and Cite
Li, C.; Li, J.; Li, Z.; Zhang, H.; Dang, Y.; Kong, F. High-Performance Photodetectors Based on Nanostructured Perovskites. Nanomaterials 2021, 11, 1038. https://doi.org/10.3390/nano11041038
Li C, Li J, Li Z, Zhang H, Dang Y, Kong F. High-Performance Photodetectors Based on Nanostructured Perovskites. Nanomaterials. 2021; 11(4):1038. https://doi.org/10.3390/nano11041038
Chicago/Turabian StyleLi, Chunlong, Jie Li, Zhengping Li, Huayong Zhang, Yangyang Dang, and Fangong Kong. 2021. "High-Performance Photodetectors Based on Nanostructured Perovskites" Nanomaterials 11, no. 4: 1038. https://doi.org/10.3390/nano11041038
APA StyleLi, C., Li, J., Li, Z., Zhang, H., Dang, Y., & Kong, F. (2021). High-Performance Photodetectors Based on Nanostructured Perovskites. Nanomaterials, 11(4), 1038. https://doi.org/10.3390/nano11041038

