Fracture Toughness Estimation of Single-Crystal Aluminum at Nanoscale
Abstract
1. Introduction
2. Methodology
2.1. Molecular Dynamics Simulation
2.2. Stress Intensity Factor Estimation
3. Results and Discussion
3.1. Fracture Behavior
3.2. Stress Intensity Factor Assessment
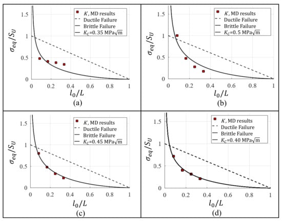
3.3. Fracture Toughness for Al Single-Crystal
3.4. Fracture Toughness for Graphene and Diamond
3.5. Fracture Toughness Comparison
4. Conclusions
- The fracture behavior observed in the MD simulations is in accordance with observations reported by other researchers in their investigations on similar Al crystals.
- Despite that Al is considered a ductile material at 300 K, a brittle fracture behavior is observed for single-crystals in the MD simulations.
- The methodology that is proposed in this research provides a suitable method to obtain a fracture toughness value that is independent on the crack length.
- The parameters G and yield a good accuracy to predict the fracture of single-crystals.
- Dislocations are not observed during the simulations. Therefore, it is not possible to compare the plastic zone estimations with the dislocation emission zone.
Author Contributions
Funding
Institutional Review Board Statement
Informed Consent Statement
Data Availability Statement
Acknowledgments
Conflicts of Interest
References
- Das, D.K.; Sarkar, J.; Singh, S.K. Effect of sample size, temperature and strain velocity on mechanical properties of plumbene by tensile loading along longitudinal direction: A molecular dynamics study. Comput. Mater. Sci. 2018, 151, 196–203. [Google Scholar] [CrossRef]
- Deb Nath, S.K.; Peyada, N.K.; Kim, S.G. On the elastic modulus, and ultimate strength of Ge, Ge-Si nanowires. Comput. Mater. Sci. 2020, 185, 109931. [Google Scholar] [CrossRef]
- Afkham, Y.; Bahramyan, M.; Mousavian, R.T.; Brabazon, D. Tensile properties of AlCrCoFeCuNi glassy alloys: A molecular dynamics simulation study. Mater. Sci. Eng. A 2017, 698, 143–151. [Google Scholar] [CrossRef]
- You, L.J.; Hu, L.J.; Xie, Y.P.; Zhao, S.J. Influence of Cu precipitation on tensile properties of Fe-Cu-Ni ternary alloy at different temperatures by molecular dynamics simulation. Comput. Mater. Sci. 2016, 118, 236–244. [Google Scholar] [CrossRef]
- Ma, B.; Rao, Q.; He, Y. Molecular dynamics simulation of temperature effect on tensile mechanical properties of single crystal tungsten nanowire. Comput. Mater. Sci. 2016, 117, 40–44. [Google Scholar] [CrossRef]
- Yang, Y.; Wang, X.; Zhang, G.; Zhang, Y.; Yang, Z. Molecular dynamics simulations of single crystal copper nanocubes under triaxial tensile loading. Comput. Mater. Sci. 2017, 138, 377–383. [Google Scholar] [CrossRef]
- Stepanova, L.; Bronnikov, S. A computational study of the mixed–mode crack behavior by molecular dynamics method and the multi—Parameter crack field description of classical fracture mechanics. Theor. Appl. Fract. Mech. 2020, 109, 102691. [Google Scholar] [CrossRef]
- Ding, J.; Zheng, H.; Tian, Y.; Huang, X.; Song, K.; Lu, S.; Zeng, X.; Ma, W.S. Multi-scale numerical simulation of fracture behavior of nickel-aluminum alloy by coupled molecular dynamics and cohesive finite element method (CFEM). Theor. Appl. Fract. Mech. 2020, 109, 102735. [Google Scholar] [CrossRef]
- Liu, Q.Y.; Zhou, J.; Bao, J.D.; Zhao, Y.W.; Xiong, L.C.; Shi, T.L.; Long, Y.H. A semi-empirical fracture model for silicon cleavage fracture and its molecular dynamics study. Theor. Appl. Fract. Mech. 2019, 100, 86–92. [Google Scholar] [CrossRef]
- Tong, Q.; Li, S. A concurrent multiscale study of dynamic fracture. Comput. Methods Appl. Mech. Eng. 2020, 366, 113075. [Google Scholar] [CrossRef]
- Patil, S.P.; Heider, Y.; Hernandez Padilla, C.A.; Cruz-Chú, E.R.; Markert, B. A comparative molecular dynamics-phase-field modeling approach to brittle fracture. Comput. Methods Appl. Mech. Eng. 2016, 312, 117–129. [Google Scholar] [CrossRef]
- Wei, Y.; Li, Y.; Huang, D.; Zhou, C.; Zhao, J. Fracture properties of nanoscale single-crystal silicon plates: Molecular dynamics simulations and finite element method. Eng. Fract. Mech. 2018, 202, 1–19. [Google Scholar] [CrossRef]
- Hou, D.; Zhao, T.; Wang, P.; Li, Z.; Zhang, J. Molecular dynamics study on the mode I fracture of calcium silicate hydrate under tensile loading. Eng. Fract. Mech. 2014, 131, 557–569. [Google Scholar] [CrossRef]
- Shastry, V.; Farkas, D. Atomistic simulation of fracture in CoAl and FeAl. Intermetallics 1998, 6, 95–104. [Google Scholar] [CrossRef]
- Shimada, T.; Ouchi, K.; Chihara, Y.; Kitamura, T. Breakdown of Continuum Fracture Mechanics at the Nanoscale. Sci. Rep. 2015, 5, 8596. [Google Scholar] [CrossRef]
- Skogsrud, J.; Thaulow, C. Application of CTOD in atomistic modeling of fracture. Eng. Fract. Mech. 2015, 150, 153–160. [Google Scholar] [CrossRef]
- Brochard, L.; Tejada, I.G.; Sab, K. From yield to fracture, failure initiation captured by molecular simulation. J. Mech. Phys. Solids 2016, 95, 632–646. [Google Scholar] [CrossRef]
- Ferdous, S.F.; Adnan, A. Mode-I Fracture Toughness Prediction of Diamond at the Nanoscale. J. Nanomech. Micromech. 2017, 7, 1–10. [Google Scholar] [CrossRef]
- Han, J.; Sohn, D.; Woo, W.; Kim, D.K. Molecular dynamics study of fracture toughness and trans-intergranular transition in bi-crystalline graphene. Comput. Mater. Sci. 2017, 129, 323–331. [Google Scholar] [CrossRef]
- Tschopp, M.A.; Murdoch, H.A.; Kecskes, L.J.; Darling, K.A. Bulk nanocrystalline metals: Review of the current state of the art and future opportunities for copper and copper alloys. Miner. Met. Mater. Soc. 2014, 66, 1000–1019. [Google Scholar] [CrossRef]
- Horstemeyer, M.F.; Farkas, D.; Kim, S.; Tang, T.; Potirniche, G. Nanostructurally small cracks (NSC): A review on atomistic modeling of fatigue. Int. J. Fatigue 2010, 32, 1473–1502. [Google Scholar] [CrossRef]
- Jung, G.; Qin, Z.; Buehler, M.J. Molecular mechanics of polycrystalline graphene with enhanced fracture toughness. Extrem. Mech. Lett. 2015, 2, 52–59. [Google Scholar] [CrossRef]
- Jin, Y.; Yuan, F.G. Atomistic simulations of J-integral in 2D graphene nanosystems. J. Nanosci. Nanotechnol. 2005, 5, 2099–2107. [Google Scholar] [CrossRef]
- Zhuo, X.R.; Kim, J.H.; Beom, H.G. R-curve Evaluation of Copper and Nickel Single Crystals Using Atomistic Simulations. Crystals 2018, 8, 441. [Google Scholar] [CrossRef]
- Anderson, T.L. Fracture Mechanics, 3rd ed.; Taylor & Francis: Oxfordshire, UK, 2005. [Google Scholar]
- Ovid’ko, I.A. Review on the fracture processes in nanocrystalline materials. J. Mater. Sci. 2007, 42, 1694–1708. [Google Scholar] [CrossRef]
- Mai, N.T.; Phi, P.Q.; Nguyen, V.P.; Choi, S.T. Atomic-scale mode separation for mixed-mode intergranular fracture in polycrystalline metals. Theor. Appl. Fract. Mech. 2018, 96, 45–55. [Google Scholar] [CrossRef]
- Lee, G.H.; Kim, J.H.; Beom, H.G. Cohesive Zone Modeling of Crack Propagation in FCC Single Crystals via Atomistic Simulations. Metals Mater. Int. 2020. [Google Scholar] [CrossRef]
- Rice, J.R. A Path Independent Integral and the Approximate Analysis of Strain Concentration by Notches and Cracks. J. Appl. Mech. 1968, 35, 379–386. [Google Scholar] [CrossRef]
- Velilla-Díaz, W.; Pacheco-Sanjuan, A.; Zambrano, H.R. The role of the grain boundary in the fracture toughness of aluminum bicrystal. Comput. Mater. Sci. 2019, 167, 34–41. [Google Scholar] [CrossRef]
- Zimmerman, J.A.; Jones, R.E. The application of an atomistic J -integral to a ductile crack. J. Phys. Condens. Matter 2013, 25, 10. [Google Scholar] [CrossRef]
- Thaulow, C.; Schieffer, S.V.; Vatne, I.R.; Sen, D.; Østby, E. Crack Tip Opening Displacement in atomistic modeling of fracture of silicon. Comput. Mater. Sci. 2011, 50, 2621–2627. [Google Scholar] [CrossRef]
- Skogsrud, J.; Thaulow, C. Effect of crystallographic orientation on nanomechanical modelling of an iron single crystal cracked cantilever beam. Mater. Sci. Eng. A 2017, 685, 274–283. [Google Scholar] [CrossRef]
- Plimpton, S. Fast Parallel Algorithms for Short–Range Molecular Dynamics. J. Comput. Phys. 1995, 117, 1–19. [Google Scholar] [CrossRef]
- Mendelev, M.I.; Kramer, M.J.; Becker, C.A.; Asta, M. Analysis of semi-empirical interatomic potentials appropriate for simulation of crystalline and liquid Al and Cu. Philos. Mag. 2008, 88, 1723–1750. [Google Scholar] [CrossRef]
- Chandra, S.; Kumar, N.N.; Samal, M.K.; Chavan, V.M.; Patel, R.J. Molecular dynamics simulations of crack growth behavior in Al in the presence of vacancies. Comput. Mater. Sci. 2016, 117, 518–526. [Google Scholar] [CrossRef]
- Fang, W.; Xie, H.; Yin, F.; Li, J.; Khan, D.F.; Fang, Q. Molecular dynamics simulation of grain boundary geometry on crack propagation of bi-crystal aluminum. Mater. Sci. Eng. A 2016, 666, 314–319. [Google Scholar] [CrossRef]
- Chandra, S.; Kumar, N.N.; Samal, M.K.; Chavan, V.M.; Raghunathan, S. An atomistic insight into the fracture behavior of bicrystal aluminum containing twist grain boundaries. Comput. Mater. Sci. 2017, 130, 268–281. [Google Scholar] [CrossRef]
- Daw, M.S.; Baskes, M. Embedded-atom method: Derivation and application to impurities, surfaces, and other defects in metals. Phys. Rev. B 1984, 29, 6443–6453. [Google Scholar] [CrossRef]
- Shastry, V.; Farkas, D. Molecular statics simulation of crack propagation in a-fe using eam potentials. Mat. Res. Soc. Symp. Proc. 1996, 409, 75–80. [Google Scholar] [CrossRef]
- Farkas, D. Fracture toughness from atomistic simulations: Brittleness induced by emission of sessile dislocations. Scr. Mater. 1998, 39, 533–536. [Google Scholar] [CrossRef]
- Yasbolaghi, R.; Khoei, A.R. Micro-structural aspects of fatigue crack propagation in atomistic-scale via the molecular dynamics analysis. Eng. Fract. Mech. 2020, 226, 106848. [Google Scholar] [CrossRef]
- Thompson, A.P.; Plimpton, S.J.; Mattson, W. General formulation of pressure and stress tensor for arbitrary many-body interaction potentials under periodic boundary conditions. J. Chem. Phys. 2009, 131, 1–6. [Google Scholar] [CrossRef]
- Rycroft, C.H. VORO ++: A three-dimensional Voronoi cell library in C ++. Chaos 2009, 19, 041111. [Google Scholar] [CrossRef]
- Stukowski, A. Visualization and analysis of atomistic simulation data with OVITO-the Open Visualization Tool. Model. Simul. Mater. Sci. Eng. 2010, 18. [Google Scholar] [CrossRef]
- Stukowski, A.; Bulatov, V.V.; Arsenlis, A. Automated identification and indexing of dislocations in crystal interfaces. Model. Simul. Mater. Sci. Eng. 2012, 20, 085007. [Google Scholar] [CrossRef]
- Dowling, N. Mechanical Behavior of Materials, 4th ed.; Pearson: London, UK, 2012. [Google Scholar]
- Shimokawa, T.; Tanaka, M.; Kinoshita, K.; Higashida, K. Roles of grain boundaries in improving fracture toughness of ultrafine-grained metals. Phys. Rev. B Condens. Matter Mater. Phys. 2011, 83, 1–13. [Google Scholar] [CrossRef]
- Tang, B.; Yang, R. Molecular Dynamics Study of Uniaxial Deformation in Perfect and Defective Aluminum. Chin. J. Phys. 2015, 53, 1–13. [Google Scholar] [CrossRef]
- Alabd Alhafez, I.; Ruestes, C.J.; Urbassek, H.M. Size of the Plastic Zone Produced by Nanoscratching. Tribol. Lett. 2018, 66. [Google Scholar] [CrossRef]
- Xing, X.; Zhang, Y.; Wang, S.; Li, Z.; Yang, C.; Cui, G.; Zhang, S.; Liu, J.; Gou, J.; Yu, H. Atomistic simulation of hydrogen-induced plastic zone compression during cyclic loading. Int. J. Hydrog. Energy 2020, 45, 15697–15709. [Google Scholar] [CrossRef]
- Zhang, P.; Ma, L.; Fan, F.; Zeng, Z.; Peng, C.; Loya, P.E.; Liu, Z.; Gong, Y.; Zhang, J.; Zhang, X.; et al. Fracture toughness of graphene. Nat. Commun. 2014, 5, 1–7. [Google Scholar] [CrossRef]
- Lee, C.; Wei, X.; Kysar, J.W.; Hone, J. Measurement of the elastic properties and intrinsic strength of monolayer graphene. Science 2008, 321, 385–388. [Google Scholar] [CrossRef]
- Hosokawa, H.; Desai, A.V.; Haque, M.A. Plane stress fracture toughness of freestanding nanoscale thin films. Thin Solid Film. 2008, 516, 6444–6447. [Google Scholar] [CrossRef]
- Mahmoud, M.A.; O’Neil, D.; El-Sayed, M.A. Shape- and Symmetry-Dependent Mechanical Properties of Metallic Gold and Silver on the Nanoscale. Nano Lett. 2014, 14, 743–748. [Google Scholar] [CrossRef]
- Cui, C.B.; Lee, G.H.; Beom, H.G. Mixed-mode fracture toughness evaluation of a copper single crystal using atomistic simulations. Comput. Mater. Sci. 2017, 136, 216–222. [Google Scholar] [CrossRef]
- Xu, G.Q.; Demkowicz, M.J. Computing critical energy release rates for fracture in atomistic simulations. Comput. Mater. Sci. 2020, 181. [Google Scholar] [CrossRef]







| (m) | f | (GPa) | (m) | (m) | W (fJ) | U (fJ) | (m) | |
|---|---|---|---|---|---|---|---|---|
| 2.03 | 8.33 | 1.19 | 2.96 | 0.137 | 1.95 | 0.62 | 0.21 | 1.61 |
| 4.05 | 1.67 | 1.31 | 2.56 | 0.141 | 3.81 | 0.48 | 0.17 | 1.58 |
| 6.08 | 2.50 | 1.51 | 2.38 | 0.140 | 5.51 | 0.44 | 0.13 | 1.34 |
| 8.10 | 3.33 | 1.79 | 2.13 | 0.143 | 7.79 | 0.41 | 0.15 | 1.28 |
| (m) | (MPa) | (MPa) | (MPa) | (MPa) |
|---|---|---|---|---|
| 2.03 | 0.281 | 0.588 | 0.471 | 0.421 |
| 4.05 | 0.378 | 0.433 | 0.443 | 0.369 |
| 6.08 | 0.494 | 0.357 | 0.426 | 0.405 |
| 8.10 | 0.606 | 0.307 | 0.407 | 0.375 |
| (m) | ||||
|---|---|---|---|---|
| 2.03 | 0.48 | 1.00 | 0.80 | 0.72 |
| 4.05 | 0.41 | 0.47 | 0.48 | 0.40 |
| 6.08 | 0.38 | 0.28 | 0.33 | 0.31 |
| 8.10 | 0.34 | 0.17 | 0.23 | 0.21 |
(MPa | -pz (MPa | (MPa | (MPa |
|---|---|---|---|
| 0.35 | 0.50 | 0.45 | 0.40 |
| K | -pz | G | |
|---|---|---|---|
| 0.04871 | 0.05234 | 0.00260 | 0.00252 |
| Material | Crack Length (nm) | (MPa | Reference |
|---|---|---|---|
| Graphene | 33 | 3.1 | [52] |
| 438 | 4.1 | ||
| 518 | 3.7 | ||
| 600 | 4.9 | ||
| 1256 | 4.1 | ||
| Diamond | 1.785 | 8.360 | [18] |
| 2.499 | 8.463 | ||
| 3.213 | 8.405 |
| Material | (MPa | E (GPa) | (J/m) | Error |
|---|---|---|---|---|
| Graphene | 3.20 | 1000 | 10.3 | 1.03 |
| Diamond | 8.40 | 1011.5 | 69.8 | 8.65 |
Publisher’s Note: MDPI stays neutral with regard to jurisdictional claims in published maps and institutional affiliations. |
© 2021 by the authors. Licensee MDPI, Basel, Switzerland. This article is an open access article distributed under the terms and conditions of the Creative Commons Attribution (CC BY) license (http://creativecommons.org/licenses/by/4.0/).
Share and Cite
Velilla-Díaz, W.; Ricardo, L.; Palencia, A.; R. Zambrano, H. Fracture Toughness Estimation of Single-Crystal Aluminum at Nanoscale. Nanomaterials 2021, 11, 680. https://doi.org/10.3390/nano11030680
Velilla-Díaz W, Ricardo L, Palencia A, R. Zambrano H. Fracture Toughness Estimation of Single-Crystal Aluminum at Nanoscale. Nanomaterials. 2021; 11(3):680. https://doi.org/10.3390/nano11030680
Chicago/Turabian StyleVelilla-Díaz, Wilmer, Luis Ricardo, Argemiro Palencia, and Habib R. Zambrano. 2021. "Fracture Toughness Estimation of Single-Crystal Aluminum at Nanoscale" Nanomaterials 11, no. 3: 680. https://doi.org/10.3390/nano11030680
APA StyleVelilla-Díaz, W., Ricardo, L., Palencia, A., & R. Zambrano, H. (2021). Fracture Toughness Estimation of Single-Crystal Aluminum at Nanoscale. Nanomaterials, 11(3), 680. https://doi.org/10.3390/nano11030680

