Correlation between Optical Localization-State and Electrical Deep-Level State in In0.52Al0.48As/In0.53Ga0.47As Quantum Well Structure
Abstract
1. Introduction
2. Sample and Experimental Scheme
3. Results and Discussion
3.1. Calculation of Energy Band Profile
3.2. Temperature Dependent PL Characteristics
3.3. Extraction of Inter-Subband Transition Energy Values via PL Line Shape Fitting
3.4. Extraction of Optical Localization State
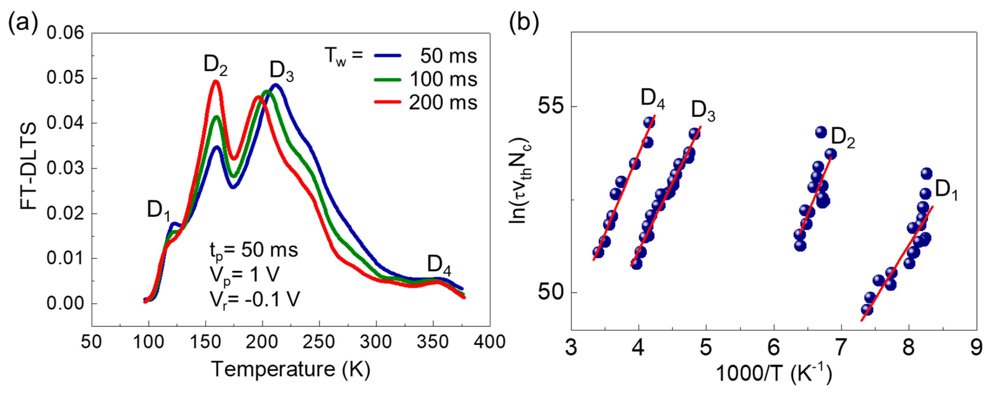
3.5. Corroboration of Energetic Position for Localized State by DLTS
4. Conclusions
Author Contributions
Funding
Institutional Review Board Statement
Informed Consent Statement
Conflicts of Interest
References
- Lee, I.-G.; Jo, H.-B.; Yun, D.-Y.; Shin, C.-S.; Lee, J.-H.; Kim, T.-W.; Ko, D.-H.; Kim, D.-H. Long-channel InAlAs/InGaAs/InAlAs single-quantum-well MISFETs with subthreshold swing of 61 mV/decade and effective mobility of 11900 cm2V−1s−1. Appl. Phys. Express 2019, 12, 64003. [Google Scholar] [CrossRef]
- Jo, H.; Baek, J.; Yun, D.; Son, S.; Lee, J.; Kim, T.; Kim, D.; Tsutsumi, T.; Sugiyama, H.; Matsuzaki, H. Lg = 87 nm InAlAs/InGaAs High-Electron- Mobility Transistors with a gm_max of 3 S/mm and fT of 559 GHz. IEEE Electron Device Lett. 2018, 39, 1640–1643. [Google Scholar] [CrossRef]
- Yun, D.; Jo, H.; Son, S.; Baek, J.; Lee, J.; Kim, T.; Kim, D.; Tsutsumi, T.; Sugiyama, H.; Matsuzaki, H. Impact of the Source-to-Drain Spacing on the DC and RF Characteristics of InGaAs/InAlAs High-Electron Mobility Transistors. IEEE Electron Device Lett. 2018, 39, 1844–1847. [Google Scholar] [CrossRef]
- Ajayan, J.; Nirmal, D. A review of InP/InAlAs/InGaAs based transistors for high frequency applications. Superlattices Microstruct. 2015, 86, 1–19. [Google Scholar] [CrossRef]
- Chuang, P.; Ho, S.-C.; Smith, L.W.; Sfigakis, F.; Pepper, M.; Chen, C.-H.; Fan, J.-C.; Griffiths, J.P.; Farrer, I.; Beere, H.E.; et al. All-electric all-semiconductor spin field-effect transistors. Nat. Nanotechnol. 2015, 10, 35–39. [Google Scholar] [CrossRef] [PubMed]
- Liu, J.; Lu, J.; Yue, C.; Li, X.; Chen, H.; Wang, L. InAs/InGaAs/InAlAs interband quantum well infrared photodetector (IQWIP) with cut-off response wavelength at 1.93 μm. Appl. Phys. Express 2019, 12, 32005. [Google Scholar] [CrossRef]
- Chen, J.; Zhang, Z.; Zhu, M.; Xu, J.; Li, X. Optimization of InGaAs/InAlAs Avalanche Photodiodes. Nanoscale Res. Lett. 2017, 12, 33. [Google Scholar] [CrossRef] [PubMed]
- Ma, Y.; Zhang, Y.; Gu, Y.; Chen, X.; Xi, S.; Du, B.; Li, H. Tailoring the performances of low operating voltage InAlAs/InGaAs avalanche photodetectors. Opt. Express 2015, 23, 19278–19287. [Google Scholar] [CrossRef]
- Deng, J.; Zong, L.; Bao, W.; Zhu, M.; Liao, F.; Guo, Z.; Xie, Y.; Lu, B.; Wan, J.; Zhu, J.; et al. Integration of MoS2 with InAlAs/InGaAs Heterojunction for Dual Color Detection in Both Visible and Near-Infrared Bands. Adv. Opt. Mater. 2019, 7, 1901039. [Google Scholar] [CrossRef]
- Ganbold, T.; Antonelli, M.; Biasiol, G.; Nichetti, C.; Cautero, G.; Menk, R.H. Double-side pixelated X-ray detector based on metamorphic InGaAs/InAlAs quantum well. J. Instrum. 2019, 14, C01014. [Google Scholar] [CrossRef]
- Fujita, K.; Yamanishi, M.; Furuta, S.; Tanaka, K.; Edamura, T.; Kubis, T.; Klimeck, G. Indirectly pumped 3.7 THz InGaAs/InAlAs quantum-cascade lasers grown by metal-organic vapor-phase epitaxy. Opt. Express 2012, 20, 20647–20658. [Google Scholar] [CrossRef] [PubMed]
- Deutsch, C.; Kainz, M.A.; Krall, M.; Brandstetter, M.; Bachmann, D.; Schönhuber, S.; Detz, H.; Zederbauer, T.; MacFarland, D.; Andrews, A.M.; et al. High-Power Growth-Robust InGaAs/InAlAs Terahertz Quantum Cascade Lasers. ACS Photonics 2017, 4, 957–962. [Google Scholar] [CrossRef] [PubMed]
- Mathonnière, S.; Semtsiv, M.P.; Ted Masselink, W. Thermal annealing of lattice-matched InGaAs/InAlAs Quantum-Cascade Lasers. J. Cryst. Growth 2017, 477, 258–261. [Google Scholar] [CrossRef]
- Demir, I.; Elagoz, S. Interruption time effects on InGaAs/InAlAs superlattices of quantum cascade laser structures grown by MOCVD. Superlattices Microstruct. 2016, 100, 723–729. [Google Scholar] [CrossRef]
- Miyazeki, Y.; Yokohashi, H.; Kodama, S.; Murata, H.; Arakawa, T. InGaAs/InAlAs multiple-quantum-well optical modulator integrated with a planar antenna for a millimeter-wave radio-over-fiber system. Opt. Express 2020, 28, 11583–11596. [Google Scholar] [CrossRef] [PubMed]
- Skolnick, M.S.; Rorison, J.M.; Nash, K.J.; Mowbray, D.J.; Tapster, P.R.; Bass, S.J.; Pitt, A.D. Observation of a Many-Body Edge Singularity in Quantum-Well Luminescence Spectra. Phys. Rev. Lett. 1987, 58, 2130–2133. [Google Scholar] [CrossRef]
- Zhang, Y.H.; Ledentsov, N.N.; Ploog, K. Effect of hole-localization mechanisms on photoluminescence spectra of two-dimensional-electron-gas systems. Phys. Rev. B 1991, 44, 1399–1402. [Google Scholar] [CrossRef] [PubMed]
- Wagner, J.; Fischer, A.; Ploog, K. Fermi edge singularity and screening effects in the absorption and luminescence spectrum of Si δ-doped GaAs. Appl. Phys. Lett. 1991, 59, 428–430. [Google Scholar] [CrossRef]
- Brown, S.A.; Young, J.F.; Wasilewski, Z.; Coleridge, P.T. Fermi-edge singularities in photoluminescence from modulation-doped GaAs quantum wells. Phys. Rev. B 1997, 56, 3937–3940. [Google Scholar] [CrossRef]
- Akopian, N.; Vardi, A.; Bahir, G.; Garber, V.; Ehrenfreund, E.; Gershoni, D.; Poblenz, C.; Elsass, C.R.; Smorchkova, I.P.; Speck, J.S. Fermi edge singularity observed in GaN/AlGaN heterointerfaces. Appl. Phys. Lett. 2009, 94, 223502. [Google Scholar] [CrossRef]
- Rekaya, S.; Sfaxi, L.; Bru-Chevallier, C.; Maaref, H. Fermi edge singularity evidence from photoluminescence spectroscopy of AlGaAs/InGaAs/GaAs pseudomorphic HEMTs grown on (311)A GaAs substrates. J. Lumin. 2011, 131, 7–11. [Google Scholar] [CrossRef]
- Na, M.H.; Chang, H.C.; Zhao, J.; Haetty, J.; Gardella, J.A.G., Jr.; Luo, H.; Petrou, A. Optical and structural studies of the effect of spacers in modulation-doped ZnSe/Zn1−xCdxSe quantum wells. J. Appl. Phys. 1999, 86, 891–895. [Google Scholar] [CrossRef]
- Shen, W.Z.; Tang, W.G.; Li, Z.Y.; Shen, S.C.; Dimoulas, A. Photoluminescence studies of modulation-doped In0.60Ga0.40As/In0.52Al0.48As strained multiple quantum wells. J. Cryst. Growth 1995, 152, 28–33. [Google Scholar] [CrossRef]
- Vdovin, E.E.; Khanin, Y.N.; Henini, M. Observation of the anomalous temperature dependence of resonance tunneling through zero-dimensional states in a quantum well with dynamic coulomb interaction between the tunneling channels. JETP Lett. 2012, 96, 529–535. [Google Scholar] [CrossRef]
- Ahn, I.-H.; Joung, H. Band Structure Dependence of Electron Mobility in Modulation-Doped Lattice-Matched InAlAs/InGaAs/InAlAs Heterostructures. Jpn. J. Appl. Phys. 2010, 49, 84303. [Google Scholar] [CrossRef]
- Zhang, J.-P.; Sun, D.-Z.; Wang, X.-L.; Kong, M.-Y.; Zeng, Y.-P.; Li, J.-M.; Lin, L.-Y. Fermi-edge singularity observed in a modulation-doped AlGaN/GaN heterostructure. Appl. Phys. Lett. 1998, 73, 2471–2472. [Google Scholar] [CrossRef]
- Geim, A.K.; Main, P.C.; La Scala, N.; Eaves, L.; Foster, T.J.; Beton, P.H.; Sakai, J.W.; Sheard, F.W.; Henini, M.; Hill, G.; et al. Fermi-edge singularity in resonant tunneling. Phys. Rev. Lett. 1994, 72, 2061–2064. [Google Scholar] [CrossRef] [PubMed]
- Borin, A.; Sukhorukov, E. Manifestation of a Fermi edge singularity in the cotunneling regime. Phys. Rev. B 2017, 96, 75435. [Google Scholar] [CrossRef]
- Sarkar, N.; Ghosh, S. The temperature dependence of the band gap shrinkage due to the electron–phonon interaction in AlxGa1−xAs. J. Phys. Condens. Matter 2006, 18, 1687–1694. [Google Scholar] [CrossRef][Green Version]
- Bhunia, A.; Singh, M.K.; Gobato, Y.G.; Henini, M.; Datta, S. Experimental Detection and Control of Trions and Fermi-Edge Singularity in Single-Barrier GaAs/AlAs/GaAs Heterostructures Using Photocapacitance Spectroscopy. Phys. Rev. Appl. 2018, 10, 44043. [Google Scholar] [CrossRef]
- Ram-Mohan, L.R.; Yoo, K.H.; Moussa, J. The Schrödinger–Poisson self-consistency in layered quantum semiconductor structures. J. Appl. Phys. 2004, 95, 3081–3092. [Google Scholar] [CrossRef]
- Karner, M.; Gehring, A.; Holzer, S.; Pourfath, M.; Wagner, M.; Goes, W.; Vasicek, M.; Baumgartner, O.; Kernstock, C.; Schnass, K.; et al. A multi-purpose Schrödinger-Poisson Solver for TCAD applications. J. Comput. Electron. 2007, 6, 179–182. [Google Scholar] [CrossRef]
- Brierley, S.K. Quantitative characterization of modulation-doped strained quantum wells through line-shape analysis of room-temperature photoluminescence spectra. J. Appl. Phys. 1993, 74, 2760–2767. [Google Scholar] [CrossRef]
- Ahn, I.-H.; Song, G.H.; Jho, Y.-D. Separating the Contribution of Mobility among Different Quantum Well Subbands. Jpn. J. Appl. Phys. 2010, 49, 14102. [Google Scholar] [CrossRef]
- Lee, S.; Song, E.B.; Wang, K.L.; Yoon, C.S.; Yoon, I.T.; Shon, Y.; Kang, T.W. Thermodynamic Behavior of Excitonic Emission Properties in Manganese- and Zinc-Codoped Indium Phosphide Diluted Magnetic Semiconductor Layers. J. Phys. Chem. C 2011, 115, 23564–23567. [Google Scholar] [CrossRef]
- Lee, Y.; Lee, D.J.; Cho, H.D.; Yoon, I.T.; Shon, Y.; Lee, S. Thermodynamic Behaviors of Excitonic Emission in ZnO Nanorods Grown by Pulsed Laser Deposition. J. Lumin. 2017, 190, 314–318. [Google Scholar] [CrossRef]
- Weiss, S.; Kassing, R. Deep Level Transient Fourier Spectroscopy (DLTFS)—A technique for the analysis of deep level properties. Solid State Electron. 1988, 31, 1733–1742. [Google Scholar] [CrossRef]
- Capan, I.; Borjanović, V.; Pivac, B. Dislocation-related deep levels in carbon rich p-type polycrystalline silicon. Sol. Energy Mater. Sol. Cells 2007, 91, 931–937. [Google Scholar] [CrossRef]
- Başer, P.; Elagoz, S. The hydrostatic pressure and temperature effects on hydrogenic impurity binding energies in lattice matched InP/In0.53Ga0.47As/InP square quantum well. Superlattices Microstruct. 2017, 102, 173–179. [Google Scholar] [CrossRef]
- Takeda, Y.; Sasaki, A.; Imamura, Y.; Takagi, T. Electron mobility and energy gap of In0.53Ga0.47As on InP substrate. J. Appl. Phys. 1976, 47, 5405–5408. [Google Scholar] [CrossRef]
- Pearsall, T.P.; Hirtz, J.P. The carrier mobilities in Ga0.47In0.53As grown by organo-mettalic CVD and liquid-phase epitaxy. J. Cryst. Growth 1981, 54, 127–131. [Google Scholar] [CrossRef]
- Pearsall, T.P.; Bisaro, R.; Ansel, R.; Merenda, P. The growth of GaxIn1−xAs on (100) InP by liquid-phase epitaxy. Appl. Phys. Lett. 1978, 32, 497–499. [Google Scholar] [CrossRef]



| Physical Parameters | Parameter Extraction Methods | |
|---|---|---|
| Schrödinger-Poisson | PL Line-Shape Fitting | |
| ΔEFH1 (= EF − H1) | 0.98 eV | - |
| ΔEFH2 (= EF − H2) | 0.95 eV | - |
| ΔE2H2 (= E2 − H2) | 0.98 eV | ~0.91 eV (Fitted) |
| ΔE2H1 (= E2 − H1) | 0.95 eV | ~0.88 eV (Fitted) |
| ΔE1H1 (= E1 − H1) | 0.82 eV | ~0.76 eV (Fitted) |
| ΔE1H2 (= E1 − H2) | 0.85 eV | ~0.79 eV (Fitted) |
| ΔE1E2 (= E1 − E2) | 0.12 eV | 0.12 eV (Estimated from Fitted Values) |
| ΔH1H2 (= H1 − H2) | 0.03 eV | 0.03 eV (Estimated from Fitted Values) |
| ΔElocH1 (= Eloc − H1) | N/A | 0.07 eV (Estimated from Fitted Values) |
| ΔEFEloc (= EF − Eloc = EFES) | N/A | 0.90 eV (Best-Fitted) |
| Defect Level | D1 | D2 | D3 | D4 |
|---|---|---|---|---|
| EC − ET (eV) | 0.201 | 0.752 | 0.315 | 0.318 |
| σ (cm2) | 6.28 × 10−15 | 9.96 × 101 | 1.36 × 10−16 | 1.10 × 10−17 |
| NT (cm−3) | 2.40 × 1015 | 7.88 × 1015 | 5.16 × 1015 | 3.44 × 1015 |
Publisher’s Note: MDPI stays neutral with regard to jurisdictional claims in published maps and institutional affiliations. |
© 2021 by the authors. Licensee MDPI, Basel, Switzerland. This article is an open access article distributed under the terms and conditions of the Creative Commons Attribution (CC BY) license (http://creativecommons.org/licenses/by/4.0/).
Share and Cite
Ahn, I.-H.; Kim, D.Y.; Lee, S. Correlation between Optical Localization-State and Electrical Deep-Level State in In0.52Al0.48As/In0.53Ga0.47As Quantum Well Structure. Nanomaterials 2021, 11, 585. https://doi.org/10.3390/nano11030585
Ahn I-H, Kim DY, Lee S. Correlation between Optical Localization-State and Electrical Deep-Level State in In0.52Al0.48As/In0.53Ga0.47As Quantum Well Structure. Nanomaterials. 2021; 11(3):585. https://doi.org/10.3390/nano11030585
Chicago/Turabian StyleAhn, Il-Ho, Deuk Young Kim, and Sejoon Lee. 2021. "Correlation between Optical Localization-State and Electrical Deep-Level State in In0.52Al0.48As/In0.53Ga0.47As Quantum Well Structure" Nanomaterials 11, no. 3: 585. https://doi.org/10.3390/nano11030585
APA StyleAhn, I.-H., Kim, D. Y., & Lee, S. (2021). Correlation between Optical Localization-State and Electrical Deep-Level State in In0.52Al0.48As/In0.53Ga0.47As Quantum Well Structure. Nanomaterials, 11(3), 585. https://doi.org/10.3390/nano11030585

