Study of the Correlation between the Amorphous Indium-Gallium-Zinc Oxide Film Quality and the Thin-Film Transistor Performance
Abstract
1. Introduction
2. Materials and Methods
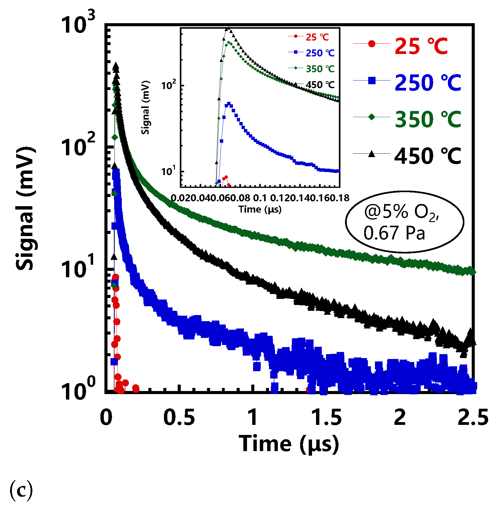
3. Results and Discussions
4. Conclusions
Author Contributions
Funding
Data Availability Statement
Conflicts of Interest
References
- Nomura, K.; Ohta, H.; Takagi, A.; Kamiya, T.; Hirano, M.; Hosono, H. Room-temperature fabrication of transparent flexible thin-film transistors using amorphous oxide semiconductors. Nature 2004, 432, 488–492. [Google Scholar] [CrossRef] [PubMed]
- Arai, T. Oxide-TFT technologies for next-generation AMOLED displays. J. Soc. Inf. Disp. 2012, 20, 156. [Google Scholar] [CrossRef]
- Kimura, M. Emerging applications using metal-oxide semiconductor thin-film devices. Jpn. J. Appl. Phys. 2019, 58, 090503. [Google Scholar] [CrossRef]
- Zhang, Y.C.; He, G.; Zhang, C.; Zhu, L.; Yang, B.; Lin, Q.B.; Jiang, X.S. Oxygen partial pressure ratio modulated electrical performance of amorphous InGaZnO thin film transistor and inverter. J. Alloys Compd. 2018, 765, 791–799. [Google Scholar] [CrossRef]
- Wu, G.; Sahoo, A.K. Influence of Oxygen Flow Rate on Channel Width Dependent Electrical Properties of Indium Gallium Zinc Oxide Thin-Film Transistors. Nanomaterials 2020, 10, 2357. [Google Scholar] [CrossRef] [PubMed]
- Hiramatsu, H.; Hosono, H.; Kumomi, H.; Abe, K.; Domen, K.; Nomura, K.; Kamiya, T.; Hanyu, Y. Effects of High-Temperature Annealing on Operation Characteristics of a-In-Ga-Zn-O TFTs. J. Disp. Technol. 2014, 10, 979–983. [Google Scholar] [CrossRef]
- Takenaka, K.; Endo, M.; Uchida, G.; Ebe, A.; Setsuhara, Y. Influence of deposition condition on electrical properties of a-IGZO films deposited by plasma-enhanced reactive sputtering. J. Alloys Compd. 2019, 772, 642–649. [Google Scholar] [CrossRef]
- Hiramatsu, H.; Hosono, H.; Kumomi, H.; Grochowski, J.; Kaczmarski, J.; Dyczewski, J.; Abe, K.; Kamiya, T.; Hanyu, Y. Origin of Lower Film Density and Larger Defect Density in Amorphous In–Ga–Zn–O Deposited at High Total Pressure. J. Disp. Technol. 2015, 11, 523–527. [Google Scholar] [CrossRef]
- Ide, K.; Kikuchi, M.; Ota, M.; Sasase, M.; Hiramatsu, H.; Kumomi, H.; Hosono, H.; Kamiya, T. Effects of working pressure and annealing on bulk density and nanopore structures in amorphous In-Ga-Zn-O thin-film transistors. Jpn. J. Appl. Phys. 2017, 56, 03BB03. [Google Scholar] [CrossRef]
- Yasuno, S.; Kita, T.; Morita, S.; Hino, A.; Hayashi, K.; Kugimiya, T.; Sumie, S. Application of microwave photoconductivity decay method to characterization of amorphous In-Ga-Zn-O films. IEICE Trans. Electron. 2012, E95-C, 1724–1729. [Google Scholar] [CrossRef]
- Chen, J.; Hu, S.; Ning, H.; Fang, Z.; Tao, R.; Zhou, Y.; Cai, W.; Liu, X.; Yao, R.; Peng, J. Evaluation of Nd-Al doped indium-zinc oxide thin-film transistors by a μ-PCD method. Semicond. Sci. Technol. 2019, 34, 055011. [Google Scholar] [CrossRef]
- Luo, D.; Lan, L.; Xu, M.; Xu, H.; Li, M.; Wang, L.; Peng, J. Role of Rare Earth Ions in Anodic Gate Dielectrics for Indium-Zinc-Oxide Thin-Film Transistors. J. Electrochem. Soc. 2012, 159, H502–H506. [Google Scholar] [CrossRef]
- Yasuno, S.; Kita, T.; Morita, S.; Kugimiya, T.; Hayashi, K.; Sumie, S. Transient photoconductivity responses in amorphous In-Ga-Zn-O films. J. Appl. Phys. 2012, 112, 053715. [Google Scholar] [CrossRef]
- Yasuno, S.; Kugimiya, T.; Morita, S.; Miki, A.; Ojima, F.; Sumie, S. Correlation of photoconductivity response of amorphous In-Ga-Zn-O films with transistor performance using microwave photoconductivity decay method. Appl. Phys. Lett. 2011, 98, 102107. [Google Scholar] [CrossRef]
- Nonomura, Y.; Yamashita, K.; Ojima, F.; Kishi, T.; Tokuda, K.; Kugimiya, T. Evaluation system for thin-film oxide semiconductor using μ-PCD—Effectiveness of measuring technique. R D Res. Dev. Kobe Steel Eng. Rep. 2014, 64, 105–109. [Google Scholar]
- Goto, H.; Tao, H.; Morita, S.; Takanashi, Y.; Hino, A.; Kishi, T.; Ochi, M.; Hayashi, K.; Kugimiya, T. In-line process monitoring for amorphous oxide semiconductor TFT fabrication using microwave-detected photoconductivity decay technique. IEICE Trans. Electron. 2014, E97C, 1055–1062. [Google Scholar] [CrossRef]
- Fortunato, E.; Barquinha, P.; Martins, R. Oxide semiconductor thin-film transistors: A review of recent advances. Adv. Mater. 2012, 24, 2945–2986. [Google Scholar] [CrossRef]
- Hosono, H.; Nomura, K.; Kamiya, T. Origins of High Mobility and Low Operation Voltage of Amorphous Oxide TFTs: Electronic Structure, Electron Transport, Defects and Doping*. J. Disp. Technol. 2009, 5, 468–483. [Google Scholar] [CrossRef]
- Su, L.Y.; Lin, H.Y.; Lin, H.K.; Wang, S.L.; Peng, L.H.; Huang, J. Characterizations of amorphous IGZO thin-film transistors with low subthreshold swing. IEEE Electron Device Lett. 2011, 32, 1245–1247. [Google Scholar] [CrossRef]
- Jeong, J.H.; Yang, H.W.; Park, J.S.; Jeong, J.K.; Mo, Y.G.; Kim, H.D.; Song, J.; Hwang, C.S. Origin of subthreshold swing improvement in amorphous indium gallium zinc oxide transistors. Electrochem. Solid State Lett. 2008, 11, H157. [Google Scholar] [CrossRef]





| O Ratio | Pressure (Pa) | T (°C) | V (V) | (cm/Vs) | SS (V/dec) |
|---|---|---|---|---|---|
| 0% | 0.67 | 450 | 2.0 | 5.7 | 0.14 |
| 5% | 0.13 | 450 | 1.7 | 5.9 | 0.18 |
| 5% | 0.67 | — | — | — | — |
| 5% | 0.67 | 250 | 14.4 | 2.6 | 0.56 |
| 5% | 0.67 | 350 | 4.5 | 5.1 | 0.34 |
| 5% | 0.67 | 450 | 0.9 | 8.4 | 0.16 |
| 5% | 1.33 | 450 | 0.6 | 6.9 | 0.33 |
| 5% | 2.67 | 450 | 1.1 | 5.8 | 0.46 |
| 10% | 0.67 | 450 | 1.7 | 6.0 | 0.19 |
| 30% | 0.67 | 450 | 1.1 | 3.9 | 0.20 |
| 50% | 0.67 | 450 | 1.8 | 3.0 | 0.19 |
| 70% | 0.67 | 450 | 1.5 | 2.7 | 0.29 |
Publisher’s Note: MDPI stays neutral with regard to jurisdictional claims in published maps and institutional affiliations. |
© 2021 by the authors. Licensee MDPI, Basel, Switzerland. This article is an open access article distributed under the terms and conditions of the Creative Commons Attribution (CC BY) license (http://creativecommons.org/licenses/by/4.0/).
Share and Cite
Hu, S.; Lu, K.; Ning, H.; Yao, R.; Gong, Y.; Pan, Z.; Guo, C.; Wang, J.; Pang, C.; Gong, Z.; et al. Study of the Correlation between the Amorphous Indium-Gallium-Zinc Oxide Film Quality and the Thin-Film Transistor Performance. Nanomaterials 2021, 11, 522. https://doi.org/10.3390/nano11020522
Hu S, Lu K, Ning H, Yao R, Gong Y, Pan Z, Guo C, Wang J, Pang C, Gong Z, et al. Study of the Correlation between the Amorphous Indium-Gallium-Zinc Oxide Film Quality and the Thin-Film Transistor Performance. Nanomaterials. 2021; 11(2):522. https://doi.org/10.3390/nano11020522
Chicago/Turabian StyleHu, Shiben, Kuankuan Lu, Honglong Ning, Rihui Yao, Yanfen Gong, Zhangxu Pan, Chan Guo, Jiantai Wang, Chao Pang, Zheng Gong, and et al. 2021. "Study of the Correlation between the Amorphous Indium-Gallium-Zinc Oxide Film Quality and the Thin-Film Transistor Performance" Nanomaterials 11, no. 2: 522. https://doi.org/10.3390/nano11020522
APA StyleHu, S., Lu, K., Ning, H., Yao, R., Gong, Y., Pan, Z., Guo, C., Wang, J., Pang, C., Gong, Z., & Peng, J. (2021). Study of the Correlation between the Amorphous Indium-Gallium-Zinc Oxide Film Quality and the Thin-Film Transistor Performance. Nanomaterials, 11(2), 522. https://doi.org/10.3390/nano11020522

