Interface Trap-Induced Temperature Dependent Hysteresis and Mobility in β-Ga2O3 Field-Effect Transistors
Abstract
1. Introduction
2. Experiments
2.1. Device Fabrication
2.2. Temperature-Dependent Electrical Measurements
2.3. Contact Resistance, Mobility, and Threshold Voltage Extraction
2.4. The Interface Trap Density, the Amount of Charge, Time-Dependent Trapped Charge Density Changes, and Trap Parameter Extraction
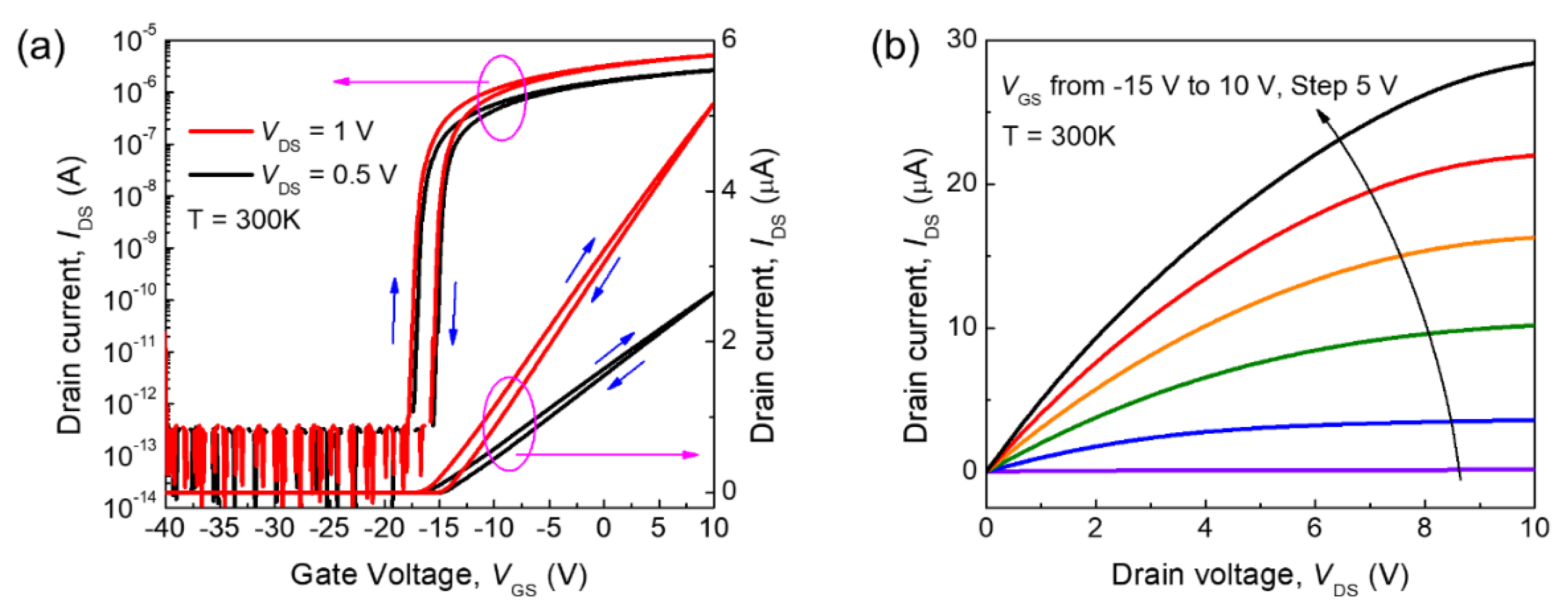
3. Results and Discussion
4. Conclusions
Supplementary Materials
Author Contributions
Funding
Data Availability Statement
Conflicts of Interest
References
- Kim, M.; Seo, J.-H.; Singisetti, U.; Ma, Z. Recent advances in free-standing single crystalline wide band-gap semiconductors and their applications: GaN, SiC, ZnO, β-Ga2O3, and diamond. J. Mater. Chem. C 2017, 5, 8338–8354. [Google Scholar] [CrossRef]
- Bhuiyan, M.A.; Zhou, H.; Jiang, R.; Zhang, E.X.; Fleetwood, D.M.; Ye, P.D.; Ma, T. Charge Trapping in Al2O3/β-Ga2O3-Based MOS Capacitors. IEEE Electron Device Lett. 2018, 39, 1022–1025. [Google Scholar] [CrossRef]
- Nagarajan, L.; De Souza, R.A.; Samuelis, D.; Valov, I.; Börger, A.; Janek, J.; Becker, K.-D.; Schmidt, P.C.; Martin, M. A chemically driven insulator–metal transition in non-stoichiometric and amorphous gallium oxide. Nat. Mater. 2008, 7, 391–398. [Google Scholar] [CrossRef]
- Zhou, H.; Maize, K.; Noh, J.; Shakouri, A.; Ye, P.D. Thermodynamic Studies of β-Ga2O3 Nanomembrane Field-Effect Transistors on a Sapphire Substrate. ACS Omega 2017, 2, 7723–7729. [Google Scholar] [CrossRef] [PubMed]
- Ma, J.; Lee, O.; Yoo, G. Effect of Al2O3 Passivation on Electrical Properties of β-Ga2O3 Field-Effect Transistor. IEEE J. Electron Devices Soc. 2019, 7, 512–516. [Google Scholar] [CrossRef]
- Pozina, G.; Forsberg, M.; Kaliteevski, M.A.; Hemmingsson, C. Emission properties of Ga2O3 nano-flakes: Effect of excitation density. Sci. Rep. 2017, 7, 42132. [Google Scholar] [CrossRef]
- Ma, J.; Lee, O.; Yoo, G. Abnormal Bias-Temperature Stress and Thermal Instability of β-Ga2O3 Nanomembrane Field-Effect Transistor. IEEE J. Electron Devices Soc. 2018, 6, 1124–1128. [Google Scholar] [CrossRef]
- Polyakov, A.Y.; Smirnov, N.B.; Shchemerov, I.V.; Chernykh, S.V.; Oh, S.; Pearton, S.J.; Ren, F.; Kochkova, A.; Kim, J. Defect States Determining Dynamic Trapping-Detrapping in β-Ga2O3 Field-Effect Transistors. ECS J. Solid State Sci. Technol. 2019, 8, Q3013–Q3018. [Google Scholar] [CrossRef]
- Higashiwaki, M.; Sasaki, K.; Murakami, H.; Kumagai, Y.; Koukitu, A.; Kuramata, A.; Masui, T.; Yamakoshi, S. Recent progress in Ga2O3 power devices. Semicond. Sci. Technol. 2016, 31, 34001. [Google Scholar] [CrossRef]
- Higashiwaki, M.; Sasaki, K.; Kuramata, A.; Masui, T.; Yamakoshi, S. Gallium oxide (Ga2O3) metal-semiconductor field-effect transistors on single-crystal β-Ga2O3 (010) substrates. Appl. Phys. Lett. 2012, 100, 13504. [Google Scholar] [CrossRef]
- Sasaki, K.; Higashiwaki, M.; Kuramata, A.; Masui, T.; Yamakoshi, S. Si-Ion Implantation Doping in β-Ga2O3and Its Application to Fabrication of Low-Resistance Ohmic Contacts. Appl. Phys. Express 2013, 6, 86502. [Google Scholar] [CrossRef]
- Tak, B.R.; Garg, M.; Kumar, A.; Gupta, V.; Singh, R. Gamma Irradiation Effect on Performance of β-Ga2O3 Metal-Semiconductor-Metal Solar-Blind Photodetectors for Space Applications. ECS J. Solid State Sci. Technol. 2019, 8, Q3149–Q3153. [Google Scholar] [CrossRef]
- Oh, S.; Kim, J.; Ren, F.; Pearton, S.J.; Kim, J. Quasi-two-dimensional β-gallium oxide solar-blind photodetectors with ultrahigh responsivity. J. Mater. Chem. C 2016, 4, 9245–9250. [Google Scholar] [CrossRef]
- Guo, D.; An, Y.; Cui, W.; Zhi, Y.; Zhao, X.; Lei, M.; Li, L.; Li, P.; Wu, Z.; Tang, W. Epitaxial growth and magnetic properties of ultraviolet transparent Ga2O3/(Ga1−xFex)2O3 multilayer thin films. Sci. Rep. 2016, 6, 25166. [Google Scholar] [CrossRef] [PubMed]
- Zhou, H.; Alghmadi, S.; Si, M.; Qiu, G.; Ye, P.D. Al2O3/β-Ga2O3(-201) Interface Improvement Through Piranha Pretreatment and Postdeposition Annealing. IEEE Electron Device Lett. 2016, 37, 1411–1414. [Google Scholar] [CrossRef]
- Baliga, B.J. Power semiconductor device figure of merit for high-frequency applications. IEEE Electron Device Lett. 1989, 10, 455–457. [Google Scholar] [CrossRef]
- Wang, H.; Wang, F.; Zhang, J. Power Semiconductor Device Figure of Merit for High-Power-Density Converter Design Applications. IEEE Trans. Electron Devices 2008, 55, 466–470. [Google Scholar] [CrossRef]
- Swinnich, E.; Hasan, M.N.; Zeng, K.; Dove, Y.; Singisetti, U.; Mazumder, B.; Seo, J.-H. Flexible β-Ga2O3 Nanomembrane Schottky Barrier Diodes. Adv. Electron. Mater. 2019, 5, 1800714. [Google Scholar] [CrossRef]
- Kim, J.; Mastro, M.A.; Tadjer, M.J.; Kim, J. Quasi-Two-Dimensional h-BN/β-Ga2O3 Heterostructure Metal–Insulator–Semiconductor Field-Effect Transistor. ACS Appl. Mater. Interfaces 2017, 9, 21322–21327. [Google Scholar] [CrossRef]
- Hoefer, U.; Frank, J.; Fleischer, M. High temperature Ga2O3-gas sensors and SnO2-gas sensors: A comparison. Sens. Actuators B Chem. 2001, 78, 6–11. [Google Scholar] [CrossRef]
- Huang, J.R.; Hsu, W.C.; Chen, Y.J.; Wang, T.B.; Lin, K.W.; Chen, H.I.; Liu, W.C. Comparison of hydrogen sensing characteristics for Pd/GaN and Pd/Al0.3Ga0.7As Schottky diodes. Sens. Actuators B Chem. 2006, 117, 151–158. [Google Scholar] [CrossRef]
- You, A.; Be, M.A.Y.; In, I. High-performance metal-semiconductormetal deep-ultraviolet photodetectors based on homoepitaxial diamond thin film. Appl. Phys. Lett. 2006, 89, 113509. [Google Scholar]
- Moser, N.; McCandless, J.; Crespo, A.; Leedy, K.; Green, A.; Neal, A.; Mou, S.; Ahmadi, E.; Speck, J.; Chabak, K.; et al. Ge-Doped β-Ga2O3 MOSFETs. IEEE Electron Device Lett. 2017, 38, 775–778. [Google Scholar] [CrossRef]
- Züttel, A. Materials for hydrogen storage. Mater. Today 2003, 6, 24–33. [Google Scholar] [CrossRef]
- Zhang, Y.; Alema, F.; Mauze, A.; Koksaldi, O.S.; Miller, R.; Osinsky, A.; Speck, J.S. MOCVD grown epitaxial β-Ga2O3 thin film with an electron mobility of 176 cm2/V s at room temperature. APL Mater. 2018, 7, 22506. [Google Scholar] [CrossRef]
- Sbrockey, N.M.; Salagaj, T.; Coleman, E.; Tompa, G.S.; Moon, Y.; Kim, M.S. Large-Area MOCVD Growth of Ga2O3 in a Rotating Disc Reactor. J. Electron. Mater. 2015, 44, 1357–1360. [Google Scholar] [CrossRef]
- Bae, H.; Noh, J.; Alghamdi, S.; Si, M.; Ye, P.D. Ultraviolet Light-Based Current–Voltage Method for Simultaneous Extraction of Donor- and Acceptor-Like Interface Traps in β-Ga2O3 FETs. IEEE Electron Device Lett. 2018, 39, 1708–1711. [Google Scholar] [CrossRef]
- Jayawardena, A.; Ramamurthy, R.P.; Ahyi, A.C.; Morisette, D.; Dhar, S. Interface trapping in (2¯01) β-Ga2O3 MOS capacitors with deposited dielectrics. Appl. Phys. Lett. 2018, 112, 192108. [Google Scholar] [CrossRef]
- Chang, H.-Y.; Zhu, W.; Akinwande, D. On the mobility and contact resistance evaluation for transistors based on MoS2 or two-dimensional semiconducting atomic crystals. Appl. Phys. Lett. 2014, 104, 113504. [Google Scholar] [CrossRef]
- Park, Y.; Baac, H.W.; Heo, J.; Yoo, G. Thermally activated trap charges responsible for hysteresis in multilayer MoS2 field-effect transistors. Appl. Phys. Lett. 2016, 108, 83102. [Google Scholar] [CrossRef]
- Kabilova, Z.; Kurdak, C.; Peterson, R.L. Observation of impurity band conduction and variable range hopping in heavily doped (010) β-Ga2O3. Semicond. Sci. Technol. 2019, 34, 03LT02. [Google Scholar] [CrossRef]
- Irmscher, K.; Galazka, Z.; Pietsch, M.; Uecker, R.; Fornari, R. Electrical properties of β-Ga2O3 single crystals grown by the Czochralski method. J. Appl. Phys. 2011, 110, 63720. [Google Scholar] [CrossRef]
- Ahrling, R.; Boy, J.; Handwerg, M.; Chiatti, O.; Mitdank, R.; Wagner, G.; Galazka, Z.; Fischer, S.F. Transport Properties and Finite Size Effects in β-Ga2O3 Thin Films. Sci. Rep. 2019, 9, 13149. [Google Scholar] [CrossRef] [PubMed]
- Zhang, W.; Zhang, Y.; Mao, W.; Ma, X.; Zhang, J.; Hao, Y. Influence of the Interface Acceptor-Like Traps on the Transient Response of AlGaN/GaN HEMTs. IEEE Electron Device Lett. 2013, 34, 45–47. [Google Scholar] [CrossRef]
- Guo, Y.; Wei, X.; Shu, J.; Liu, B.; Yin, J.; Guan, C.; Han, Y.; Gao, S.; Chen, Q. Charge trapping at the MoS2-SiO2 interface and its effects on the characteristics of MoS2 metal-oxide-semiconductor field effect transistors. Appl. Phys. Lett. 2015, 106, 103109. [Google Scholar] [CrossRef]






Publisher’s Note: MDPI stays neutral with regard to jurisdictional claims in published maps and institutional affiliations. |
© 2021 by the authors. Licensee MDPI, Basel, Switzerland. This article is an open access article distributed under the terms and conditions of the Creative Commons Attribution (CC BY) license (http://creativecommons.org/licenses/by/4.0/).
Share and Cite
Park, Y.; Ma, J.; Yoo, G.; Heo, J. Interface Trap-Induced Temperature Dependent Hysteresis and Mobility in β-Ga2O3 Field-Effect Transistors. Nanomaterials 2021, 11, 494. https://doi.org/10.3390/nano11020494
Park Y, Ma J, Yoo G, Heo J. Interface Trap-Induced Temperature Dependent Hysteresis and Mobility in β-Ga2O3 Field-Effect Transistors. Nanomaterials. 2021; 11(2):494. https://doi.org/10.3390/nano11020494
Chicago/Turabian StylePark, Youngseo, Jiyeon Ma, Geonwook Yoo, and Junseok Heo. 2021. "Interface Trap-Induced Temperature Dependent Hysteresis and Mobility in β-Ga2O3 Field-Effect Transistors" Nanomaterials 11, no. 2: 494. https://doi.org/10.3390/nano11020494
APA StylePark, Y., Ma, J., Yoo, G., & Heo, J. (2021). Interface Trap-Induced Temperature Dependent Hysteresis and Mobility in β-Ga2O3 Field-Effect Transistors. Nanomaterials, 11(2), 494. https://doi.org/10.3390/nano11020494

