Highly Homogeneous Current Transport in Ultra-Thin Aluminum Nitride (AlN) Epitaxial Films on Gallium Nitride (GaN) Deposited by Plasma Enhanced Atomic Layer Deposition
Abstract
:1. Introduction
2. Materials and Methods
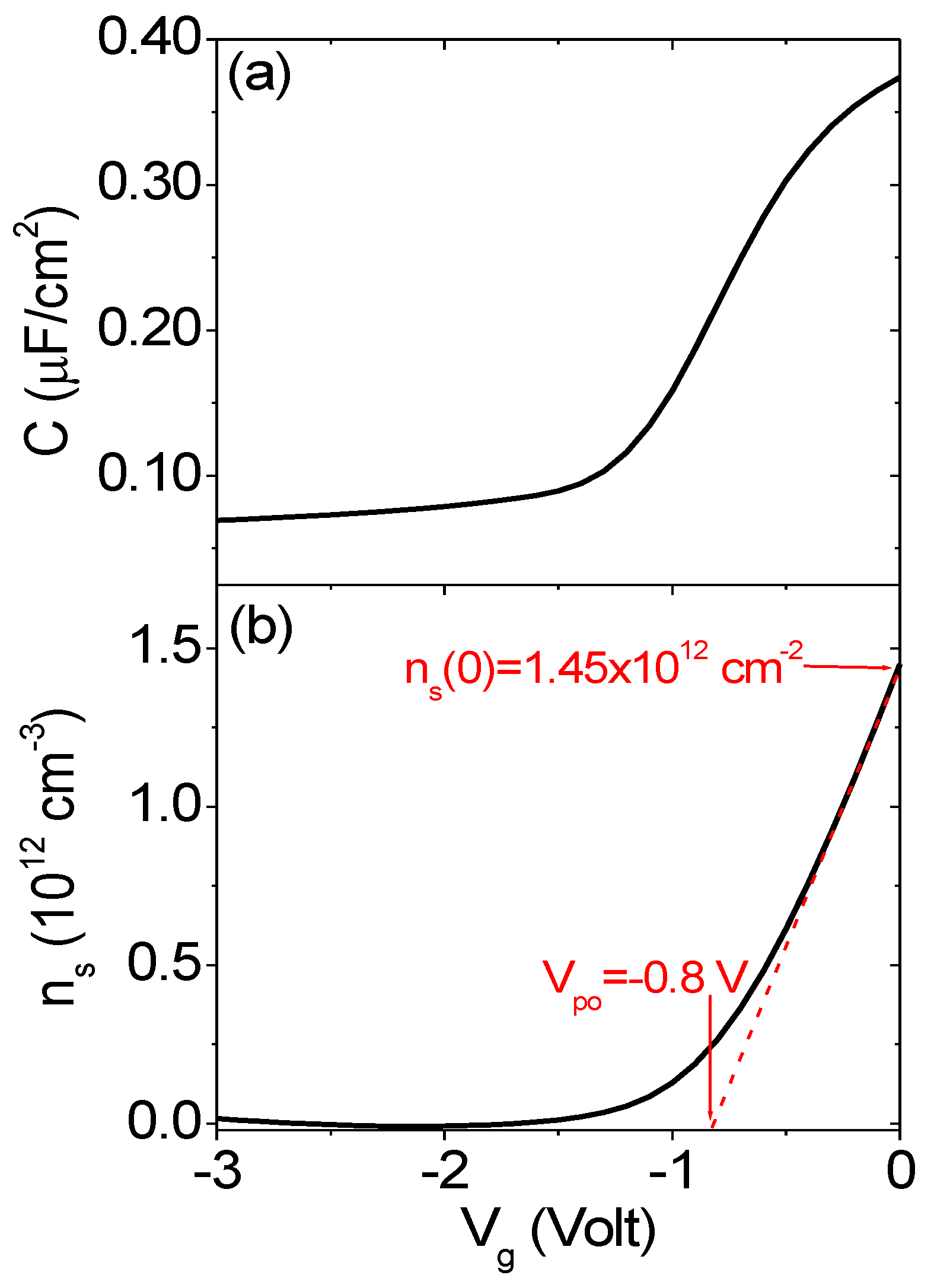
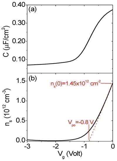
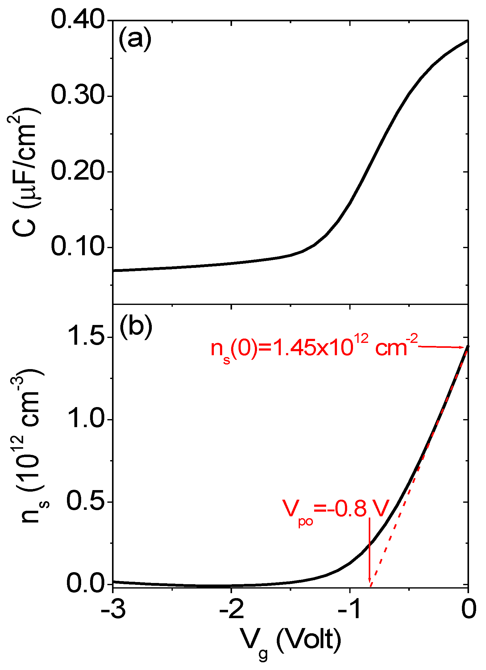
3. Results
4. Conclusions
Author Contributions
Funding
Data Availability Statement
Conflicts of Interest
References
- Taniyasu, Y.; Kasu, M.; Makimoto, T. An aluminium nitride light-emitting diode with a wavelength of 210 nanometres. Nature 2006, 441, 325. [Google Scholar] [CrossRef]
- Pantha, B.N.; Dahal, R.; Nakarmi, M.L.; Nepal, N.; Li, J.; Lin, J.Y.; Jiang, H.X.; Paduano, Q.S.; Weyburne, D. Correlation between optoelectronic and structural properties and epilayer thickness of AlN. Appl. Phys. Lett. 2007, 90, 241101. [Google Scholar] [CrossRef] [Green Version]
- Serina, F.; Ng, K.Y.S.; Huang, C.; Auner, G.W.; Rimai, L.; Naik, R. Pd/AlN/SiC thin-film devices for selective hydrogen sensing. Appl. Phys. Lett. 2001, 79, 3350–3352. [Google Scholar]
- Greco, G.; Fiorenza, P.; Iucolano, F.; Severino, A.; Giannazzo, F.; Roccaforte, F. Conduction Mechanisms at Interface of AlN/SiN Dielectric Stacks with AlGaN/GaN Heterostructures for Normally-off High Electron Mobility Transistors: Correlating Device Behavior with Nanoscale Interfaces Properties. ACS Appl. Mater. Interfaces 2017, 9, 35383–35390. [Google Scholar] [CrossRef]
- Huang, S.; Jiang, Q.; Yang, S.; Zhou, C.; Chen, K.J. Effective Passivation of AlGaN/GaN HEMTs by ALD-Grown AlN Thin Film. IEEE Electron. Device Lett. 2012, 33, 516–518. [Google Scholar] [CrossRef]
- Zhao, S.X.; Liu, X.-Y.; Zhang, L.-Q.; Huang, H.-F.; Shi, J.-S.; Wang, P.-F. Impacts of thermal atomic layer-deposited AlN passivation layer on GaN-on-Si high electron mobility transistors. Nanoscale Res. Lett. 2016, 11, 137. [Google Scholar] [CrossRef] [Green Version]
- Hsieh, T.-E.; Chang, E.Y.; Song, Y.-Z.; Lin, Y.-C.; Wang, H.-C.; Liu, S.-C.; Salahuddin, S.; Hu, C.C. Gate recessed quasi-normally off Al2O3/AlGaN/GaN MIS-HEMT with low threshold voltage hysteresis using PEALD AlN interfacial passivation layer. IEEE Electron. Device Lett. 2014, 35, 732–734. [Google Scholar]
- Jeganathan, K.; Ide, T.; Shimizu, M.; Okumura, H. Strain relaxation correlated with the transport properties of AlN/GaN heterostructure grown by plasma-assisted molecular-beam epitaxy. J. Appl. Phys. 2003, 93, 4. [Google Scholar] [CrossRef]
- Bernardini, F.; Fiorentini, V. Macroscopic polarization and band offsets at nitride heterojunctions. Phys. Rev. B 1998, 57, 16. [Google Scholar] [CrossRef] [Green Version]
- Smorchkova, I.P.; Keller, S.; Heikman, S.; Elsass, C.R.; Heying, B.; Fini, P.; Speck, J.S.; Mishra, U.K. Tow-dimension electron-gas AlN/GaN heterostructures with estremely thin AlN barriers. Appl. Phys. Lett. 2000, 77, 24. [Google Scholar] [CrossRef]
- Jeganathan, K.; Ide, T.; Shen, S.X.Q.; Shimizu, M.; Okumura, H. 2-DEG characteristics of AlN/GaN heterointerface on sapphire substrate grown by plasma –assisted MBE. Phys. Stat. Sol.(b) 2001, 228, 613–616. [Google Scholar] [CrossRef]
- Gao, Z.; Meneghini, M.; Harrouche, K.; Kabouche, R.; Chiocchetta, F.; Okada, E.; Rampazzo, F.; De Santi, C.; Medjdoub, F.; Meneghesso, G.; et al. Short Term Reliability and Robustness of ultra-thin barrier, 110 nrn-gate AlN/GaN HEMTs. In Proceedings of the IEEE International Symposium on the Physical and Failure Analysis of Integrated Circuits (IPFA), Singapore, 20–23 July 2020; pp. 1–6. [Google Scholar]
- Giannazzo, F.; Greco, G.; Schilirò, E.; Lo Nigro, R.; Deretzis, I.; La Magna, A.; Roccaforte, F.; Iucolano, F.; Ravesi, S.; Frayssinet, E.; et al. High performance Graphene/AlGaN/GaN Schottky junctions for hot electron transistors. ACS Appl. Electron. Mater. 2019, 1, 2342–2354. [Google Scholar] [CrossRef]
- Zubair, A.; Nourbakhsh, A.; Hong, J.-Y.; Qi, M.; Song, Y.; Jena, D.; Kong, J.; Dresselhaus, M.; Palacios, T. Hot electron transistor with van der Waals Base-collectror heterojunction and High-performance GaN emitter. Nano Lett. 2017, 17, 3089–3096. [Google Scholar] [CrossRef]
- Prystawko, P.; Giannazzo, F.; Krysko, M.; Smalc-Koziorowska, J.; Schilirò, E.; Greco, G.; Roccaforte, F.; Leszczynski, M. Growth and characterization of thin Al-rich AlGaN on bulk GaN as an emitter-base barrier for hot electron transistor. Mate. Sci. Semicond. Process 2019, 93, 153–157. [Google Scholar] [CrossRef]
- Natali, F.; Byrne, D.; Dussaigne, A.; Grandjean, N.; Massies, J.; Damilano, B. High-Al-content crack-free AlGaN/GaN Bragg mrrors grown by molecular-beam epitaxy. Appl. Phys. Lett. 2003, 82, 499. [Google Scholar] [CrossRef]
- Figge, S.; Kroncke, H.; Hommel, D. Temperature dependence of the thermal expansion of AlN. Appl. Phys. Lett. 2009, 94, 101915. [Google Scholar] [CrossRef]
- Faria, F.A.; Nomoto, K.; Hu, Z.; Rouvimov, S.; Xing, H.; Jena, D. Low temperature AlN growth by MBE and its applications in HEMTs. J. Cryst. Growth 2015, 425, 133–137. [Google Scholar] [CrossRef]
- Shih, H.-Y.; Lee, W.-H.; Kao, W.-C.; Chuang, Y.-C.; Lin, R.-M.; Lin, H.-C.; Shiojiri, M.; Chen, M.-J. Low-temperature atomic layer epitaxy of AlN ultrathin films by layer-by-layer, in-situ atomic layer annealing. Sci. Rep. 2017, 7, 39717. [Google Scholar] [CrossRef] [PubMed] [Green Version]
- Schilirò, E.; Giannazzo, F.; Bongiorno, C.; Di Franco, S.; Greco, G.; Roccaforte, F.; Prystawko, P.; Kruszewski, P.; Leszczyński, M.; Krysko, M.; et al. Structural and electrical properties of AlN thin films on GaN substrates grown by plasma enhanced-Atomic Layer Deposition. Mater. Sci. Semicond. Process 2019, 97, 35–39. [Google Scholar] [CrossRef]
- Voon, K.J.; Bothe, K.M.; Motamedi, P.; Cadien, K.C.; Barlage, D.W. Polarization charge properties of low-temperature atomic layer deposition of AlN on GaN. J. Phys. D Appl. Phys. 2014, 47, 345104. [Google Scholar] [CrossRef]
- Van Bui, H.; Wiggers, F.B.; Gupta, A.; Nguyen, M.D.; Aarnink, A.A.I.; de Jong, M.P.; Kovalgin, A.Y. Initial growth, refractive index, and crystallinity of thermal and plasma enhanced atomic layer deposition AlN films. J. Vac. Sci. Technol. A 2015, 33, 01A111. [Google Scholar] [CrossRef]
- Korbutowicz, R.; Zakrzewski, A.; Rac-Rumijowska, O.; Stafiniak, A.; Vincze, A. Oxidation rates of aluminium nitride thin films: Effect of composition of the atmosphere. J. Mater. Sci. Mater. Electron. 2017, 28, 13937. [Google Scholar] [CrossRef] [Green Version]
- Chen, Y.; Hou, X.; Fang, Z.; Wang, E.; Chen, J.; Bei, G. Adsorption and Reaction of Water on the AlN(0001) Surface from First Principles. J. Phys. Chem. C 2019, 123, 5460. [Google Scholar] [CrossRef]
- Liu, C.; Liu, S.; Huang, S.; Chen, K.J. Plasma-Enhanced Atomic Layer Deposition of AlN Epitaxial Thin Film for AlN/GaN Heterostructure TFTs. IEEE Electron. Device Lett. 2013, 34, 1106. [Google Scholar] [CrossRef]
- Chen, K.J.; Huang, S. AlN passivation by plasma-enhanced atomic layer deposition for GaN-based power switches and power amplifiers. Semicond. Sci. Technol. 2013, 28, 074015. [Google Scholar] [CrossRef]
- Miao, M.; Cadien, K. AlN PEALD with TMA and forming gas: Study of plasma reaction mechanisms. RSC Adv. 2021, 11, 12235. [Google Scholar] [CrossRef]
- Fiorenza, P.; Di Franco, S.; Giannazzo, F.; Roccaforte, F. Nanoscale probing of the lateral homogeneity of donors concentration in nitridated SiO2/4H–SiC interfaces. Nanotechnology 2016, 27, 315701. [Google Scholar] [CrossRef] [PubMed]
- Fiorenza, P.; Lo Nigro, R.; Raineri, V.; Salinas, D. Conductive Atomic Force Microscopy Studies on the Reliability of Thermally Oxidized SiO2/4H-SiC. Mater. Sci. Forum 2007, 556, 501–504. [Google Scholar] [CrossRef]
- Perevalov, T.V.; Shaposhnikov, A.V.; Gritsenko, V.A.; Wong, H.; Han, J.H.; Kim, C.W. Electronic structure of α-Al2O3: Ab initio simulations and comparison with experiment. JETP Lett. 2007, 85, 165–168. [Google Scholar] [CrossRef]
- Borga, M.; De Santi, C.; Stoffels, S.; Bakeroot, B.; Li, X.; Zhao, M.; Van Hove, M.; Decoutere, S.; Meneghesso, G.; Meneghini, M.; et al. Modeling of the Vertical Leakage Current in AlN/Si Heterojunctions for GaN Power Applications. IEEE Trans. Electron. Devices 2020, 67, 595–599. [Google Scholar] [CrossRef]
- Rizzi, A.; Lantier, R.; Monti, F.; Lüth, H.; Della Sala, F.; Di Carlo, A.; Lugli, P. AlN and GaN epitaxial heterojunctions on 6H–SiC(0001): Valence band offsets and polarization fields. J. Vac. Sci. Technol. B 1999, 17, 1674. [Google Scholar] [CrossRef]
- Roccaforte, F.; Fiorenza, P.; Lo Nigro, R.; Giannazzo, F.; Greco, G. Physics and technology of gallium nitride materials for power electronics. Riv. Nuovo Cim. 2018, 41, 625–681. [Google Scholar]







Publisher’s Note: MDPI stays neutral with regard to jurisdictional claims in published maps and institutional affiliations. |
© 2021 by the authors. Licensee MDPI, Basel, Switzerland. This article is an open access article distributed under the terms and conditions of the Creative Commons Attribution (CC BY) license (https://creativecommons.org/licenses/by/4.0/).
Share and Cite
Schilirò, E.; Giannazzo, F.; Di Franco, S.; Greco, G.; Fiorenza, P.; Roccaforte, F.; Prystawko, P.; Kruszewski, P.; Leszczynski, M.; Cora, I.; et al. Highly Homogeneous Current Transport in Ultra-Thin Aluminum Nitride (AlN) Epitaxial Films on Gallium Nitride (GaN) Deposited by Plasma Enhanced Atomic Layer Deposition. Nanomaterials 2021, 11, 3316. https://doi.org/10.3390/nano11123316
Schilirò E, Giannazzo F, Di Franco S, Greco G, Fiorenza P, Roccaforte F, Prystawko P, Kruszewski P, Leszczynski M, Cora I, et al. Highly Homogeneous Current Transport in Ultra-Thin Aluminum Nitride (AlN) Epitaxial Films on Gallium Nitride (GaN) Deposited by Plasma Enhanced Atomic Layer Deposition. Nanomaterials. 2021; 11(12):3316. https://doi.org/10.3390/nano11123316
Chicago/Turabian StyleSchilirò, Emanuela, Filippo Giannazzo, Salvatore Di Franco, Giuseppe Greco, Patrick Fiorenza, Fabrizio Roccaforte, Paweł Prystawko, Piotr Kruszewski, Mike Leszczynski, Ildiko Cora, and et al. 2021. "Highly Homogeneous Current Transport in Ultra-Thin Aluminum Nitride (AlN) Epitaxial Films on Gallium Nitride (GaN) Deposited by Plasma Enhanced Atomic Layer Deposition" Nanomaterials 11, no. 12: 3316. https://doi.org/10.3390/nano11123316
APA StyleSchilirò, E., Giannazzo, F., Di Franco, S., Greco, G., Fiorenza, P., Roccaforte, F., Prystawko, P., Kruszewski, P., Leszczynski, M., Cora, I., Pécz, B., Fogarassy, Z., & Lo Nigro, R. (2021). Highly Homogeneous Current Transport in Ultra-Thin Aluminum Nitride (AlN) Epitaxial Films on Gallium Nitride (GaN) Deposited by Plasma Enhanced Atomic Layer Deposition. Nanomaterials, 11(12), 3316. https://doi.org/10.3390/nano11123316

