Monitoring and Optimisation of Ag Nanoparticle Spray-Coating on Textiles
Abstract
:1. Introduction
2. Materials and Methods
2.1. Materials and Process Description
- deposition velocity: 1 cm s−1;
- deposition slab temperature: 40 °C
- coated surface: 12 cm × 12 cm
- nozzle-textile distance: 9 cm
2.2. Physicochemical Characterization of AgHEC
2.3. Methods
3. Results and Discussion
3.1. Physicochemical Characterization of AgHEC
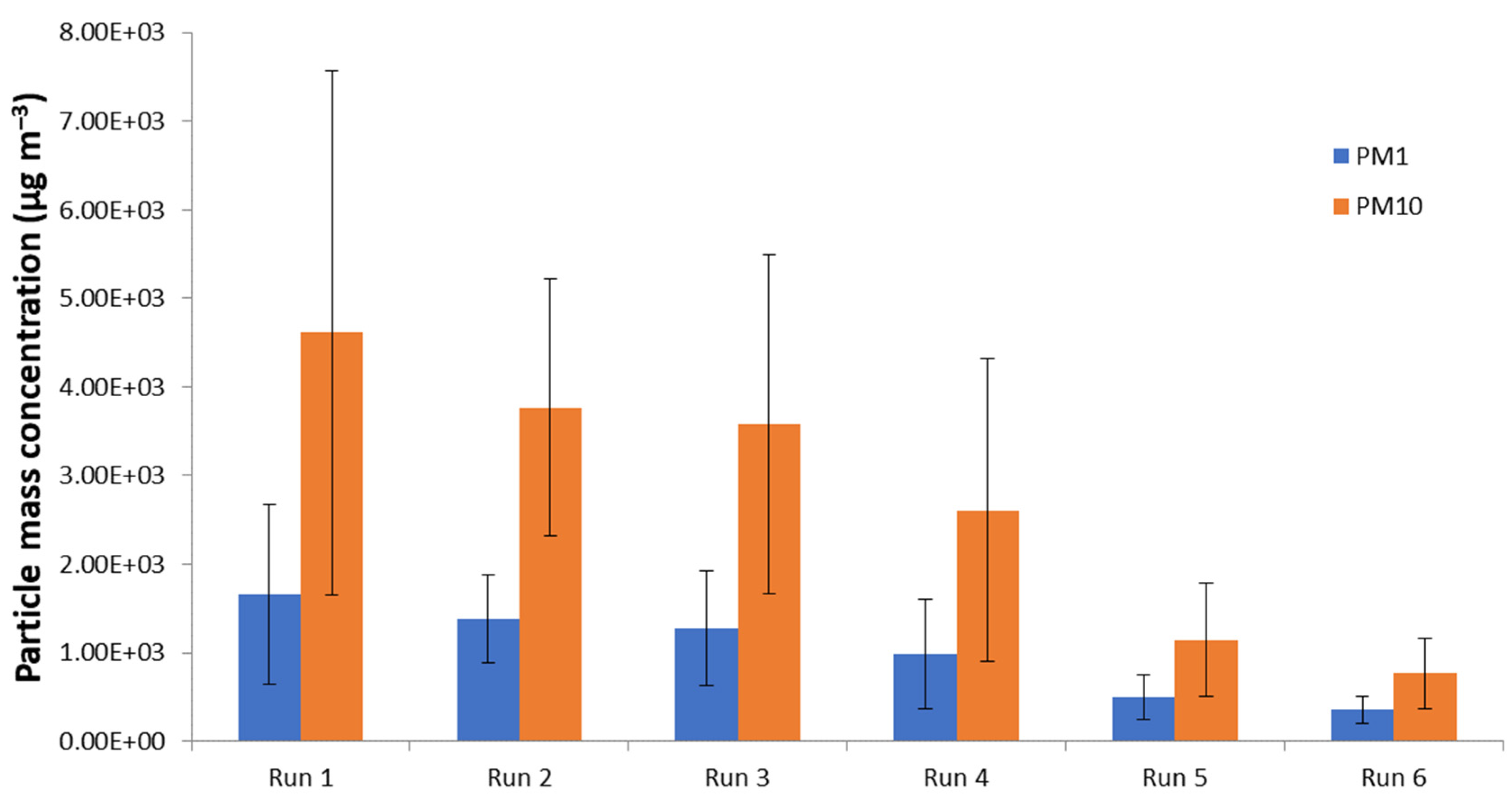
3.2. Data Analysis (Inside Chamber)
3.3. Process Optimisation
3.4. Data Analysis (Outside Chamber)
4. Conclusions
Author Contributions
Funding
Conflicts of Interest
References
- Girotto, C.; Rand, B.P.; Genoe, J.; Heremans, P. Exploring Spray Coating as a Deposition Technique for the Fabrication of Solution-Processed Solar Cells. Sol. Energy Mater. Sol. Cells 2021, 93, 454–458. [Google Scholar] [CrossRef]
- Agrawal, A.M.; Pandey, P. Scale Up of Pan Coating Process Using Quality by Design Principles. J. Pharm. Sci. 2015, 104, 3589–3611. [Google Scholar] [CrossRef]
- Kim, B.; Woo, Y.-A. Coating Process Optimization through In-Line Monitoring for Coating Weight Gain Using Raman Spectroscopy and Design of Experiments. J. Pharm. Biomed. Anal. 2018, 154, 278–284. [Google Scholar] [CrossRef] [PubMed]
- Kim, M.; Chung, H.; Woo, Y.; Kemper, M.S. A New Non-Invasive, Quantitative Raman Technique for the Determination of an Active Ingredient in Pharmaceutical Liquids by Direct Measurement through a Plastic Bottle. Anal. Chim. Acta 2007, 587, 200–207. [Google Scholar] [CrossRef] [PubMed]
- Knop, K.; Kleinebudde, P. PAT-Tools for Process Control in Pharmaceutical Film Coating Applications. Int. J. Pharm. 2013, 457, 527–536. [Google Scholar] [CrossRef] [PubMed]
- Pérez-Ramos, J.D.; Findlay, W.P.; Peck, G.; Morris, K.R. Quantitative Analysis of Film Coating in a Pan Coater Based on In-Line Sensor Measurements. AAPS Pharm. Sci. Tech. 2005, 6, E127–E136. [Google Scholar] [CrossRef] [Green Version]
- Chen, W.; Chang, S.-Y.; Kiang, S.; Early, W.; Paruchuri, S.; Desai, D. The Measurement of Spray Quality for Pan Coating Processes. J. Pharm. Innov. 2008, 3, 3–14. [Google Scholar] [CrossRef]
- Viana, M. Indoor and Outdoor Nanoparticles: Determinants of Release and Exposure Scenarios. In The Handbook of Envi-ronmental Chemistry; Springer International Publishing: Berlin/Heidelberg, Germany, 2016; ISBN 978-3-319-23918-7. [Google Scholar]
- Losert, S.; von Goetz, N.; Bekker, C.; Fransman, W.; Wijnhoven, S.W.P.; Delmaar, C.; Hungerbuhler, K.; Ulrich, A. Human Exposure to Conventional and Nanoparticle--Containing Sprays-a Critical Review. Environ. Sci. Technol. 2014, 48, 5366–5378. [Google Scholar] [CrossRef]
- Ortelli, S.; Belosi, F.; Bengalli, R.; Ravegnani, F.; Baldisserri, C.; Perucca, M.; Azoia, N.; Blosi, M.; Mantecca, P.; Costa, A.L. Influence of Spray-Coating Process Parameters on the Release of TiO2 Particles for the Production of Antibacterial Textile. NanoImpact 2020, 19, 100245. [Google Scholar] [CrossRef]
- Gowri, S.; Almeida, L.; Amorim, T.; Carneiro, N.; Pedro Souto, A.; Fátima Esteves, M. Polymer Nanocomposites for Multifunctional Finishing of Textiles—A Review. Text. Res. J. 2010, 80, 1290–1306. [Google Scholar] [CrossRef]
- Jadhav, S.A.; Patil, A.H.; Thoravat, S.S.; Patil, V.S.; Patil, P.S. A Brief Overview of Antimicrobial Nanotextiles Prepared by In Situ Synthesis and Deposition of Silver Nanoparticles on Cotton. Nanobiotechnol. Rep. 2021, 16, 543–550. [Google Scholar] [CrossRef]
- Morais, D.S.; Guedes, R.M.; Lopes, M.A. Antimicrobial Approaches for Textiles: From Research to Market. Materials 2016, 9, 498. [Google Scholar] [CrossRef] [PubMed]
- Blosi, M.; Costa, A.L.; Ortelli, S.; Belosi, F.; Ravegnani, F.; Varesano, A.; Tonetti, C.; Zanoni, I.; Vineis, C. Polyvinyl Alcohol/Silver Electrospun Nanofibers: Biocidal Filter Media Capturing Virus-Size Particles. J. Appl. Polym. Sci. 2021, 138, 51380. [Google Scholar] [CrossRef] [PubMed]
- Costa, A.L.; Blosi, M. Process for the Preparation of Nanoparticles of Noble Metals in Hydrogel and Nanoparticles Thus Obtained 2016. U.S. Patent WO2016125070A1M, 7 January 2020. [Google Scholar]
- Zhang, J.; Sun, T.; Yang, X.; Liu, J. Experimental Study on Dust Removal Optimization of Shearer External Spray in Air Velocity. J. Env. Sci. Health Part A 2021, 56, 181–189. [Google Scholar] [CrossRef] [PubMed]
- Nuyttens, D.; Baetens, K.; De Schampheleire, M.; Sonck, B. Effect of Nozzle Type, Size and Pressure on Spray Droplet Characteristics. Biosyst. Eng. 2007, 97, 333–345. [Google Scholar] [CrossRef]
- Montero, J.; Tarjuelo, J.M.; Carrión, P. Sprinkler Droplet Size Distribution Measured with an Optical Spectropluviometer. Irrig. Sci. 2003, 22, 47–56. [Google Scholar] [CrossRef]
- Brown, D.M.; Wilson, M.R.; MacNee, W.; Stone, V.; Donaldson, K. Size-Dependent Proinflammatory Effects of Ultrafine Polystyrene Particles: A Role for Surface Area and Oxidative Stress in the Enhanced Activity of Ultrafines. Toxicol. Appl. Pharm. 2001, 175, 191–199. [Google Scholar] [CrossRef] [PubMed] [Green Version]
- Kuuluvainen, H.; Rönkkö, T.; Järvinen, A.; Saari, S.; Karjalainen, P.; Lähde, T.; Pirjola, L.; Niemi, J.V.; Hillamo, R.; Keskinen, J. Lung Deposited Surface Area Size Distributions of Particulate Matter in Different Urban Areas. Atmos. Env. 2016, 136, 105–113. [Google Scholar] [CrossRef] [Green Version]
- Oberdörster, G.; Oberdörster, E.; Oberdörster, J. Nanotoxicology: An Emerging Discipline Evolving from Studies of Ultrafine Particles. Environ. Health Perspect 2005, 113, 823–839. [Google Scholar] [CrossRef]
- Hama, S.M.L.; Ma, N.; Cordell, R.L.; Kos, G.P.A.; Wiedensohler, A.; Monks, P.S. Lung Deposited Surface Area in Leicester Urban Background Site/UK: Sources and Contribution of New Particle Formation. Atmos. Env. 2017, 151, 94–107. [Google Scholar] [CrossRef] [Green Version]
- Geiss, O.; Bianchi, I.; Barrero-Moreno, J. Lung-Deposited Surface Area Concentration Measurements in Selected Occupational and Non-Occupational Environments. J. Aerosol Sci. 2016, 96, 24–37. [Google Scholar] [CrossRef]
- ISO/TS 12901-2:2014(En), Nanotechnologies—Occupational Risk Management Applied to Engineered Nanomaterials—Part 2: Use of the Control Banding Approach. Available online: https://www.iso.org/obp/ui/#iso:std:53375:en (accessed on 22 September 2021).
- Bergeson, L.L.; Hutton, C.N. NIOSH CIB on Health Effect of Occupational Exposure to Silver Nanomaterials Includes REL for Silver Nanomaterials 2021. Available online: https://nanotech.lawbc.com/2021/05/niosh-cib-on-health-effect-of-occupational-exposure-to-silver-nanomaterials-includes-rel-for-silver-nanomaterials/ (accessed on 22 September 2021).
- Oberbek, P.; Kozikowski, P.; Czarnecka, K.; Sobiech, P.; Jakubiak, S.; Jankowski, T. Inhalation Exposure to Various Nanoparticles in Work Environment—Contextual Information and Results of Measurements. J. Nanoparticle Res. 2019, 21, 222. [Google Scholar] [CrossRef] [Green Version]
- Seipenbusch, M.; Binder, A.; Kasper, G. Temporal Evolution of Nanoparticle Aerosols in Workplace Exposure. Ann. Occup. Hyg. 2008, 52, 707–716. [Google Scholar] [CrossRef] [PubMed] [Green Version]












| Run | Number of Transits | Pressure (Bar) | Starting/Ending Time |
|---|---|---|---|
| 1 | 3 | 1 | 11:35–11:42 |
| 2 | 1 | 1 | 11:56–11:57 |
| 3 | 1 | 1 | 12:10–12:11 |
| 4 | 3 | 1.5 | 12:27–12:35 |
| 5 | 1 | 1.5 | 12:47–12:48 |
| 6 | 1 | 1.5 | 13:00–13:01 |
| Test | Filter Gravimetric PM | Filter SEM |
|---|---|---|
| 1 | Filter 1 | |
| 2 | Filter SEM 1 | |
| 3 | ||
| 4 | Filter 2 | |
| 5 | Filter SEM 2 |
| Ag | HEC | NaCl * | PVA ** |
|---|---|---|---|
| 0.5 | 0.455 | 0.0755 | 0.5 |
| Run | Ag-HEC Suspension Consumption (g) | Qin * (mg) | Qout (mg) | Airborne Material ** (mg) | Qlost (mg) | E |
|---|---|---|---|---|---|---|
| 1 | 23.0 | 248.4 | 54.4 | 9.0 | 185.0 | 0.22 |
| 2 | 8.4 | 90.9 | 22.9 | 7.5 | 60.6 | 0.25 |
| 3 | 12.0 | 129.3 | 25.4 | 8.0 | 95.8 | 0.20 |
| 4 | 16.4 | 177.6 | 54.7 | 6.9 | 116.0 | 0.31 |
| 5 | 3.0 | 32.0 | 13.2 | 2.9 | 15.9 | 0.41 |
| 6 | 1.8 | 19.4 | 8.3 | 2.4 | 8.7 | 0.43 |
Publisher’s Note: MDPI stays neutral with regard to jurisdictional claims in published maps and institutional affiliations. |
© 2021 by the authors. Licensee MDPI, Basel, Switzerland. This article is an open access article distributed under the terms and conditions of the Creative Commons Attribution (CC BY) license (https://creativecommons.org/licenses/by/4.0/).
Share and Cite
Trabucco, S.; Ortelli, S.; Del Secco, B.; Zanoni, I.; Belosi, F.; Ravegnani, F.; Nicosia, A.; Blosi, M.; Costa, A.L. Monitoring and Optimisation of Ag Nanoparticle Spray-Coating on Textiles. Nanomaterials 2021, 11, 3165. https://doi.org/10.3390/nano11123165
Trabucco S, Ortelli S, Del Secco B, Zanoni I, Belosi F, Ravegnani F, Nicosia A, Blosi M, Costa AL. Monitoring and Optimisation of Ag Nanoparticle Spray-Coating on Textiles. Nanomaterials. 2021; 11(12):3165. https://doi.org/10.3390/nano11123165
Chicago/Turabian StyleTrabucco, Sara, Simona Ortelli, Benedetta Del Secco, Ilaria Zanoni, Franco Belosi, Fabrizio Ravegnani, Alessia Nicosia, Magda Blosi, and Anna Luisa Costa. 2021. "Monitoring and Optimisation of Ag Nanoparticle Spray-Coating on Textiles" Nanomaterials 11, no. 12: 3165. https://doi.org/10.3390/nano11123165
APA StyleTrabucco, S., Ortelli, S., Del Secco, B., Zanoni, I., Belosi, F., Ravegnani, F., Nicosia, A., Blosi, M., & Costa, A. L. (2021). Monitoring and Optimisation of Ag Nanoparticle Spray-Coating on Textiles. Nanomaterials, 11(12), 3165. https://doi.org/10.3390/nano11123165

