Reduction of Grain Boundary Resistance of La0.5Li0.5TiO3 by the Addition of Organic Polymers
Abstract
1. Introduction
- Low crystallinity, because the ion conduction in the organic part of the composite usually occurs in the amorphous part of the polymer
- High lithium ion transference number, to enhance the kinetics of the electrochemical process and, thus, the rate capability of the battery.
2. Materials and Methods
2.1. Synthesis of La0.5Li0.5TiO3 Powder
2.2. Composite Preparation
2.3. Characterization Techniques
3. Results and Discussion
3.1. Characterization of the LLTO
3.1.1. Morphology of the Sintered and Non-Sintered LLTO
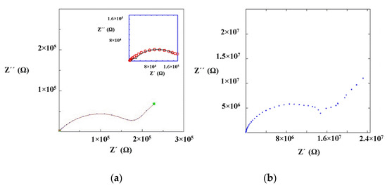
3.1.2. Electrical Characterization of Sintered and Non-Sintered LLTO
3.1.3. Characterization of Optimized Non-Sintered LLTO-Polymer Composites
3.1.4. Characterization of the 10 wt.% Polymer-LLTO Composite
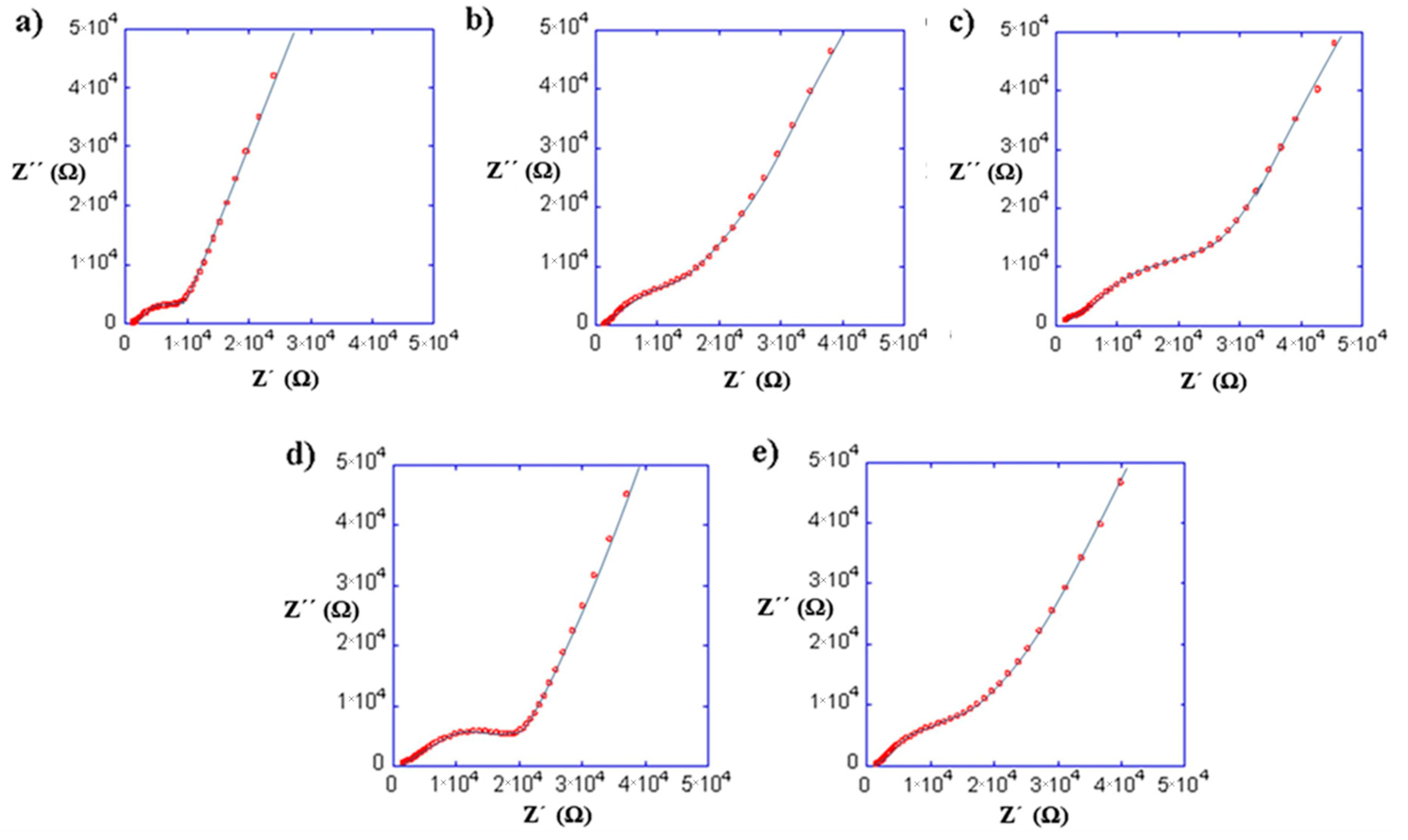
3.2. Electrical Characterization
Impedance Measurements and Ionic Conductivity of the 10% Polymer-LLTO
4. Conclusions
Author Contributions
Funding
Institutional Review Board Statement
Informed Consent Statement
Data Availability Statement
Acknowledgments
Conflicts of Interest
References
- Nair, J.R.; Colò, F.; Kazzazi, A.; Moreno, M.; Bresser, D.; Lin, R.; Bella, F.; Meligrana, G.; Fantini, S.; Simonetti, E.; et al. Room temperature ionic liquid (RTIL)-based electrolyte cocktails for safe, high working potential Li-based polymer batteries. J. Power Sources 2019, 412, 398–407. [Google Scholar] [CrossRef]
- Fu, J.; Xu, Y.; Dong, L.; Chen, L.; Lu, Q.; Li, M.; Zeng, X.; Dai, S.; Chen, G.; Shi, L. Multiclaw-shaped octasilsesquioxanes functionalized ionic liquids toward organic-inorganic composite electrolytes for lithium-ion batteries. Chem. Eng. J. 2021, 405, 126942. [Google Scholar] [CrossRef]
- Falco, M.; Simari, C.; Ferrara, C.; Nair, J.R.; Meligrana, G.; Bella, F.; Nicotera, I.; Mustarelli, P.; Winter, M.; Gerbaldi, C. Understanding the Effect of UV-Induced Cross-Linking on the Physicochemical Properties of Highly Performing PEO/LiTFSI-Based Polymer Electrolytes. Langmuir 2019, 35, 8210–8219. [Google Scholar] [CrossRef] [PubMed]
- Piana, G.; Bella, F.; Geobaldo, F.; Meligrana, G.; Gerbaldi, C. PEO/LAGP hybrid solid polymer electrolytes for ambient temperature lithium batteries by solvent-free, “one pot” preparation. J. Energy Storage 2019, 26, 100947. [Google Scholar] [CrossRef]
- Famprikis, T.; Canepa, P.; Dawson, J.A.; Islam, M.S.; Masquelier, C. Fundamentals of inorganic solid-state electrolytes for batteries. Nat. Mater. 2019, 18, 1278–1291. [Google Scholar] [CrossRef]
- Lian, P.; Zhao, B.; Zhang, L.; Xu, N.; Wu, M.; Gao, X. Inorganic sulfide solid electrolytes for all-solid-state lithium secondary batteries. J. Mater. Chem. A 2019, 7, 20540–20557. [Google Scholar] [CrossRef]
- Reddy, M.V.; Julien, C.M.; Mauger, A.; Zaghib, K. Sulfide and Oxide Inorganic Solid Electrolytes for All-Solid-State Li Batteries: A Review. Nanomaterials 2020, 10, 1606. [Google Scholar] [CrossRef]
- Mauger, A.; Julien, C.M.; Paolella, A.; Armand, M.; Zaghib, K. Building Better Batteries in the Solid State: A Review. Materials 2019, 12, 3892. [Google Scholar] [CrossRef]
- Kato, Y.; Hori, S.; Saito, T.; Suzuki, K.; Hirayama, M.; Mitsui, A.; Yonemura, M.; Iba, H.; Kanno, R. High-power all-solid-state batteries using sulfide superionic conductors. Nat. Energy 2016, 1, 16030. [Google Scholar] [CrossRef]
- Haruyama, J.; Sodeyama, K.; Han, L.; Takada, K.; Tateyama, Y. Space-Charge Layer Effect at Interface between Oxide Cathode and Sulfide Electrolyte in All-Solid-State Lithium-Ion Battery. Chem. Mater. 2014, 26, 4248–4255. [Google Scholar] [CrossRef]
- Zhao, C.; Zhao, B.; Yan, C.; Zhang, X.; Huang, J.; Mo, Y.; Xu, X.; Li, H.; Zhang, Q. Liquid phase therapy to solid electrolyte—Electrode interface in solid-state Li metal batteries: A review. Energy Storage Mater. 2020, 24, 75–84. [Google Scholar] [CrossRef]
- Falco, M.; Castro, L.; Nair, J.R.; Bella, F.; Bardé, F.; Meligrana, G.; Gerbaldi, C. UV-Cross-Linked Composite Polymer Electrolyte for High-Rate, Ambient Temperature Lithium Batteries. ACS Appl. Energy Mater. 2019, 2, 1600–1607. [Google Scholar] [CrossRef]
- Moriwake, H.; Gao, X.; Kuwabara, A.; Fisher, C.A.J.; Kimura, T.; Ikuhara, Y.H.; Kohama, K.; Tojigamori, T.; Ikuhara, Y. Domain boundaries and their influence on Li migration in solid-state electrolyte (La, Li)TiO3. J. Power Sources 2015, 276, 203–207. [Google Scholar] [CrossRef]
- Inaguma, Y.; Nakashima, M. A rechargeable lithium-air battery using a lithium ion-conducting lanthanum lithium titanate ceramics as an electrolyte separator. J. Power Sources 2013, 228, 250–255. [Google Scholar] [CrossRef]
- Morata-Orrantia, A.; García-Martín, S.; Alario-Franco, M.Á. New La2/3−xSrxLixTiO3 solid solution: Structure, microstructure, and Li+ conductivity. Chem. Mat. 2003, 15, 363–367. [Google Scholar] [CrossRef]
- Belous, A.G.; Novitskaya, G.N.; Polyanetskaya, S.V.; Gornikov, Y.I. Study of complex oxides with the composition La2/3−xLi3xTiO3. Inorg. Mater. 1987, 23, 412. [Google Scholar]
- Sutorik, A.C.; Green, M.D.; Cooper, C.; Wolfenstine, J.; Gilde, G. The comparative influences of structural ordering, grain size, Li-content, and bulk density on the Li+ conductivity of Li0.29La0.57TiO3. J. Mater. Sci. 2012, 47, 6992–7002. [Google Scholar] [CrossRef]
- Geng, H.; Lan, J.; Mei, A.; Lin, Y.; Nan, C.W. Effect of sintering temperature on microstructure and transport properties of Li3xLa2/3−xTiO3 with different lithium contents. Electrochim. Acta 2011, 56, 3406–3414. [Google Scholar] [CrossRef]
- Jak, M.J.G. Dynamic Compaction of Li-Ion Battery Components and Batteries. Ph.D. Thesis, Delf University of Technology, Mekelweg, The Netherlands, 1999. [Google Scholar]
- Plichta, E.J.; Behl, W.K. Flexible Solid Electrolyte for Use in Solid State Cells, and Solid State Cell Including Said Flexible Solid Electrolyte. U.S. Patent 5,238,759, 1 April 1992. [Google Scholar]
- Kalnaus, S.; Tenhaeff, W.E.; Sakamoto, J.; Sabau, A.S.; Daniel, C.; Dudney, N.J. Analysis of composite electrolytes with sintered reinforcement structure for energy storage applications. J. Power Sources 2013, 241, 178–185. [Google Scholar] [CrossRef]
- Inaguma, Y.; Liquan, C.; Itoh, M.; Nakamura, T.; Uchida, T.; Ikuta, H.; Wakihara, M. High ionic conductivity in lithium lanthanum titanate. Solid State Commun. 1993, 86, 689–693. [Google Scholar] [CrossRef]
- Marcinek, M.; Syzdek, J.; Marczewski, M.; Piszcz, M.; Niedzicki, L.; Kalita, M.; Plewa-Marczewska, A.; Bitner, A.; Wieczorek, P.; Trzeciak, T.; et al. Electrolytes for Li-ion transport—Review. Solid State Ionics 2015, 276, 107–126. [Google Scholar] [CrossRef]
- Wang, Y.; Zhong, W. Development of Electrolytes towards Achieving Safe and High-Performance Energy-Storage Devices: A Review. ChemElectroChem 2014, 2, 22–36. [Google Scholar] [CrossRef]
- Kesavan, K.; Mathew, C.M.; Rajendran, S. Lithium ion conduction and ion-polymer interaction in poly(vinyl pyrrolidone) based electrolytes blended with different plasticizers. Chin. Chem. Lett. 2014, 25, 1428–1434. [Google Scholar] [CrossRef]
- Sharma, A.L.; Thakur, A.K. Improvement in Voltage, Thermal, Mechanical Stability and Ion Transport Properties in Polymer-Clay Nanocomposites. J. Appl. Polym. Sci. 2010, 118, 2743–2753. [Google Scholar] [CrossRef]
- Bertasi, F.; Negro, E.; Vezzù, K.; Nawn, G.; Pagot, G.; di Noto, V. Single-Ion-Conducting Nanocomposite Polymer Electrolytes for Lithium Batteries Based on Lithiated-Fluorinated-Iron Oxide and Poly(ethylene glycol)400. Electrochim. Acta 2015, 175, 113–123. [Google Scholar] [CrossRef]
- Wen, T.C.; Kuo, H.; Gopalan, A. The influence of lithium ions on molecular interaction and conductivity of composite electrolyte consisting of TPU and PAN. Solid State Ionics 2002, 147, 171–180. [Google Scholar] [CrossRef]
- Inaguma, Y.; Chen, L.; Itoh, M.; Nakamura, T. Candidate compounds with perovskite structure for high lithium ionic conductivity. Solid State Ionics 1994, 70–71, 196–202. [Google Scholar] [CrossRef]
- Jonscher, A.K. Dielectric Relaxation in Solids; Chelsea Dielectric Press Ltd.: London, UK, 1983. [Google Scholar]
- Fenton, D.E.; Parker, J.M.; Wright, P.V. Complexes of alkali metal ions with poly(ethylene oxide). Polymer 1973, 14, 589. [Google Scholar] [CrossRef]
- Commarieu, B.; Paolella, A.; Daigle, J.; Zaghib, K. Toward high lithium conduction in solid polymer and polymer–ceramic batteries. Curr. Opin. Electrochem. 2018, 9, 56–63. [Google Scholar] [CrossRef]
- Campanella, D.; Belanger, D.; Paolella, A. Beyond garnets, phosphates and phosphosulfides solid electrolytes: New ceramic perspectives for all solid lithium metal batteries. J. Power Sources 2021, 482, 228949. [Google Scholar] [CrossRef]










| Polymer | Advantages | Disadvantages |
|---|---|---|
| PEO | High ionic conductivity | High degree of crystallinity |
| PEO copolymers | Lower degree of crystallinity than PEO | Lower ionic conductivity than PEO |
| PEG | Higher ionic conductivity than PEO | Smaller polymer chains (lower Mw) |
| PAN | Good Li+ transport properties | Interface passivates the lithium anode |
| Sintered | Non-Sintered | ||
|---|---|---|---|
| Bulk resistivity (Ω cm) | R1 | 1.0 × 103 | 1.0 × 103 |
| Grain boundary resistivity (Ω cm) | R2 | 2.5 × 105 | 2.4 × 107 |
| Bulk conductivity (S cm−1) | 1/R1 | 1.0 × 10−3 | 1.0 × 10−3 |
| Grain boundary conductivity (S cm−1) | 1/R2 | 4.0 × 10−6 | 4.2 × 10−8 |
| Total conductivity (S cm−1) | 1/(R1 + R2) | 4.0 × 10−6 | 4.2 × 10−8 |
| Error | χ2 | 0.008 | 0.009 |
| Total Conductivity (S cm−1) | Bulk Resistivity R1 (Ω cm) | Grain Boundary Resistivity R2 (Ω cm) | |
|---|---|---|---|
| PEO | 7.35 × 10−6 | 9.52 × 102 | 1.42 × 105 |
| PEG | 8.73 × 10−6 | 9.09 × 102 | 1.12 × 105 |
| PAN | 4.00 × 10−6 | 1.00 × 103 | 2.52 × 105 |
| PEO/EP | 5.97 × 10−6 | 9.43 × 102 | 1.71 × 105 |
| PEO/EM/AGE | 6.20 × 10−6 | 1.01 × 103 | 1.63 × 105 |
Publisher’s Note: MDPI stays neutral with regard to jurisdictional claims in published maps and institutional affiliations. |
© 2020 by the authors. Licensee MDPI, Basel, Switzerland. This article is an open access article distributed under the terms and conditions of the Creative Commons Attribution (CC BY) license (http://creativecommons.org/licenses/by/4.0/).
Share and Cite
Boyano, I.; Mainar, A.R.; Blázquez, J.A.; Kvasha, A.; Bengoechea, M.; de Meatza, I.; García-Martín, S.; Varez, A.; Sanz, J.; García-Alvarado, F. Reduction of Grain Boundary Resistance of La0.5Li0.5TiO3 by the Addition of Organic Polymers. Nanomaterials 2021, 11, 61. https://doi.org/10.3390/nano11010061
Boyano I, Mainar AR, Blázquez JA, Kvasha A, Bengoechea M, de Meatza I, García-Martín S, Varez A, Sanz J, García-Alvarado F. Reduction of Grain Boundary Resistance of La0.5Li0.5TiO3 by the Addition of Organic Polymers. Nanomaterials. 2021; 11(1):61. https://doi.org/10.3390/nano11010061
Chicago/Turabian StyleBoyano, Iker, Aroa R. Mainar, J. Alberto Blázquez, Andriy Kvasha, Miguel Bengoechea, Iratxe de Meatza, Susana García-Martín, Alejandro Varez, Jesus Sanz, and Flaviano García-Alvarado. 2021. "Reduction of Grain Boundary Resistance of La0.5Li0.5TiO3 by the Addition of Organic Polymers" Nanomaterials 11, no. 1: 61. https://doi.org/10.3390/nano11010061
APA StyleBoyano, I., Mainar, A. R., Blázquez, J. A., Kvasha, A., Bengoechea, M., de Meatza, I., García-Martín, S., Varez, A., Sanz, J., & García-Alvarado, F. (2021). Reduction of Grain Boundary Resistance of La0.5Li0.5TiO3 by the Addition of Organic Polymers. Nanomaterials, 11(1), 61. https://doi.org/10.3390/nano11010061

