Investigation of Heat Transfer and Pressure Drop in Microchannel Heat Sink Using Al2O3 and ZrO2 Nanofluids
Abstract
1. Introduction
2. Materials and Methods
2.1. Geometric Configuration and Computational Domain
2.1.1. Single Channel
2.1.2. Multi-Channel
2.2. Mathematical Formulation
- 3D incompressible fluid with the steady-state formulation.
- Constant wall temperature is assumed, considering uniform temperature distribution throughout the channel base.
- Constant solid properties are used, with side walls having the adiabatic condition.
- Radiation and viscous dissipation are neglected.
2.3. Numerical Procedures and Parameter Definition
2.3.1. Friction Factor
2.3.2. Heat Transfer
2.3.3. Nanofluids
3. Results and Discussion
3.1. Grid Independence
3.2. Data Validation and Reduction
3.3. Bend Selection
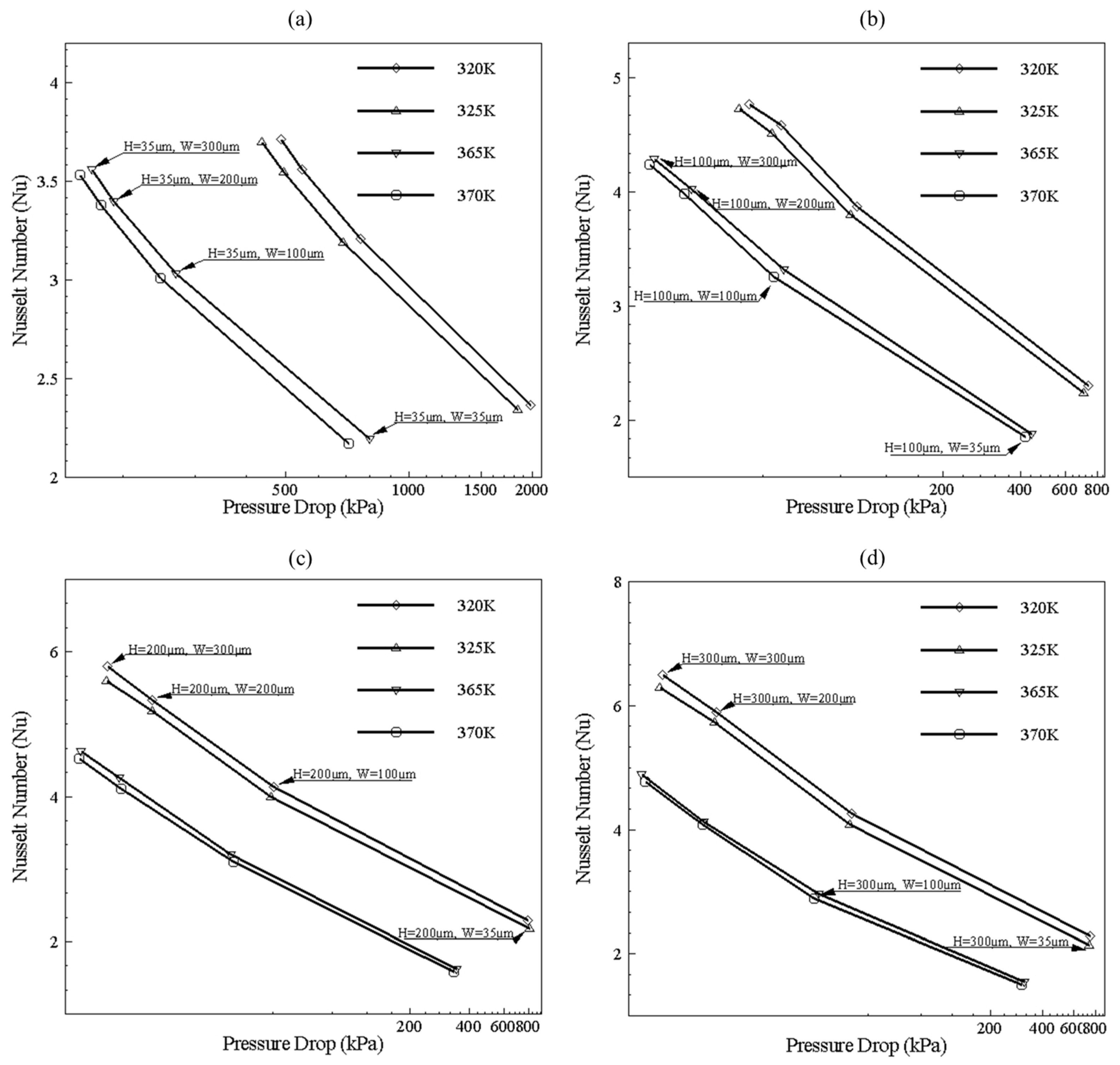
3.4. Single Channel Configuration
Flow Behavior at the Bend
3.5. Multi-Channel Configuration
3.5.1. Multi-Channel without Nanoparticles
3.5.2. Multi-Channel with Nanoparticles
4. Conclusions
- For bended channels, the straight channel relations are reasonably valid at low Reynolds number with a 4% error in comparison to analytical results; however, at high Reynolds number, an increased error of up to a maximum to 17% can be seen due to an increase in pressure drop, non-uniformity of flow, and development of dean vortices.
- Channels with less or equal height to that of width results in better convective heat transfer due to availability of more contact area with heated surface and increased space for asymmetric fluid to enter and leave bend. Moreover, secondary vortices phenomena are encountered due to the introduction of bend for channels of different hydraulic diameters, and it is found that the introduction of bend in channel significantly enhances the formation of dean vortices at Reynolds number greater than 500.
- The increment in base temperature decreases the pressure drop due to a reduction in overall fluid viscosity and also decrease Nusselt number in comparison to low base temperature for the geometry of same parameter.
- By utilizing performance parameters from the design point approach in Thermal Performance Factor (TPF) analysis, the performance of a single channel with 200 microns width is considered optimum and studied for height range from 35 to 300 microns for selection of multi-channel cross section.
- For selected single channel, enhancement in thermal effectiveness is observed for both alumina and zirconia nanoparticles. At very low Reynolds number of around 100, nanofluids concentration showed no significant improvements. However, at very high Reynolds number, the TPF starts decreasing, representing dominance of pressure drop over convective heat transfer. Therefore, both alumina and zirconia with 1% and 3% concentration showed highest effectiveness at Re = 300. Maximum TPF value of 1.18 is achieved by zirconia with 1% concentration at Re = 600. It is seen that, by increasing nanoparticles concentration, pressure drop starts dominating at high Reynolds number.
- For multi-channel with water as fluid, channel width is fixed at 200 μm and height is varied from 100 μm to 200 μm. Channel with 200 μm width and height showed a 33% to 50% increase in heat transfer for Reynolds number within a range of 100 to 900.
- The introduction of nanofluids in 200 μm width and height multi-channel model showed enhancement in Nusselt number with an increase in Reynolds number from 100 to 600. The highest increment of 20% is observed in the case of zirconia, with 3% concentration at Re = 600. For 1% and 3% concentration of nanoparticles, zirconia outperformed alumina. Analysis of TPF showed that, after Re = 300, the slope of curve starts flattening in the case of 1% alumina and starts decreasing in the case of 1% and 3% zirconia and alumina 3% concentration, depicting increase in pressure loss with high concentration and Reynolds number due to increased viscosity.
Author Contributions
Funding
Conflicts of Interest
Abbreviations
| l1 | Microchannel length (mm) |
| l2 | Plenum Length (mm) |
| l3 | Bend length (mm) |
| l4 | Inlet/Outlet length (mm) |
| w1 | Inlet/Outlet width (mm) |
| w | Width of microchannel (mm) |
| ws | Space between microchannels (mm) |
| L | Multi-Microchannel model length (mm) |
| Lc | Microchannel model length (mm) |
| W | Microchannel model width (mm) |
| Aspect ratio of microchannel | |
| Angle of plenum (mm) | |
| Reynolds Number | |
| Nusselt Number | |
| Benchmark Nusselt Number | |
| Friction Factor | |
| Benchmark Friction Factor | |
| Hydraulic Diameter (mm) | |
| Base area of microchannel (mm2) | |
| Total heat rate (J/s) | |
| Mass flow rate (kg/s) | |
| Volume flow rate (m3/s) | |
| Height of microchannel (mm) | |
| Inlet velocity (m/s) | |
| Pump power (W) | |
| Specific heat (J/kg.k) | |
| Fluid density (kg/m3) | |
| Fluid Viscosity (Pa.s) | |
| Thermal Conductivity (W/m.k) | |
| Temperature (K) | |
| Wall Temperature (K) | |
| Temperature Difference (K) | |
| Pressure Difference (Pa) | |
| TPF | Thermal Performance Factor |
| Subscript | |
| Fluid (Water) | |
| Nanofluid | |
| Nanoparticle | |
| Inlet | |
| o | Outlet |
| Mean | |
| Source | |
| Solid | |
References
- Tuckerman, D.B.; Pease, R.F.W. High-performance heat sinking for VLSI. IEEE Electron Dev. Lett. 1981, 2, 126–129. [Google Scholar] [CrossRef]
- Peterson, G.; Ortega, A. Thermal Control of Electronic Equipment and Devices, in Advances in Heat Transfer; James, T.F.I.J., Hartnett, P., Eds.; Elsevier: Amsterdam, The Netherlands, 1990; pp. 181–314. [Google Scholar]
- Tuckerman, D.B. Heat-Transfer Microstructures for Integrated Circuits; Lawrence Livermore National Lab: Livermore, CA, USA, 1984. [Google Scholar]
- Kang, M.K.; Shin, J.H.; Lee, H.H. Analysis of laminar convective heat transfer in micro heat exchanger for stacked multi-chip module. Microsyst. Technol. 2005, 11, 1176–1186. [Google Scholar] [CrossRef]
- Sahar, A.M.; Özdemir, M.R.; Fayyadh, E.M.; Wissink, J.; Mahmoud, M.M.; Karayiannis, T.G. Single phase flow pressure drop and heat transfer in rectangular metallic microchannels. Appl. Therm. Eng. 2016, 93, 1324–1336. [Google Scholar] [CrossRef]
- Lee, P.-S.; Garimella, S.V.; Liu, D. Investigation of heat transfer in rectangular microchannels. Int. J. Heat Mass Transf. 2005, 48, 1688–1704. [Google Scholar] [CrossRef]
- Liu, J.-T.; Peng, X.-F.; Yan, W.-M. Numerical study of fluid flow and heat transfer in microchannel cooling passages. Int. J. Heat Mass Transf. 2007, 50, 1855–1864. [Google Scholar] [CrossRef]
- Rosa, P.; Karayiannis, T.; Collins, M. Single-phase heat transfer in microchannels: The importance of scaling effects. Appl. Therm. Eng. 2009, 29, 3447–3468. [Google Scholar] [CrossRef]
- Hrnjak, P.; Tu, X. Single phase pressure drop in microchannels. Int. J. Heat Fluid Flow 2007, 28, 2–14. [Google Scholar] [CrossRef]
- Harms, T.M.; Kazmierczak, M.J.; Gerner, F.M. Developing convective heat transfer in deep rectangular microchannels. Int. J. Heat Fluid Flow 1999, 20, 149–157. [Google Scholar] [CrossRef]
- Gonzalo, A.P.; Marugán, A.P.; Márquez, F.P.G. A review of the application performances of concentrated solar power systems. Appl. Energy 2019, 255, 113893. [Google Scholar] [CrossRef]
- Bier, W.; Keller, W.; Linder, G.; Seidel, D.; Schubert, K.; Martin, H. Gas to gas heat transfer in micro heat exchangers. Chem. Eng. Proc. Process Intensif. 1993, 32, 33–43. [Google Scholar] [CrossRef]
- Stief, T.; Langer, O.U.; Schubert, K. Numerical investigations of optimal heat conductivity in micro heat exchangers. Chem. Eng. Technol. Ind. Chem. Plant Equip. Process Eng. Biotechnol. 1999, 22, 297–303. [Google Scholar] [CrossRef]
- Liu, D.; Garimella, S.V. Investigation of liquid flow in microchannels. J. Thermophys. Heat Transf. 2004, 18, 65–72. [Google Scholar] [CrossRef]
- Xu, J.; Song, Y.; Zhang, W.; Zhang, H.; Gan, Y. Numerical simulations of interrupted and conventional microchannel heat sinks. Int. J. Heat Mass Transf. 2008, 51, 5906–5917. [Google Scholar] [CrossRef]
- Hetsroni, G.; Mosyak, A.; Pogrebnyak, E.; Yarin, L.P. Heat transfer in micro-channels: Comparison of experiments with theory and numerical results. Int. J. Heat Mass Transf. 2005, 48, 5580–5601. [Google Scholar] [CrossRef]
- Phillips, W.A. Experimental and Numerical Investigation of Fluid Flow and Heat Transfer in Microchannels. Master’s Thesis, Louisiana State University, Baton Rouge, LA, USA, 2008. [Google Scholar]
- Mohammed, H.; Gunnasegaran, P.; Shuaib, N. Numerical simulation of heat transfer enhancement in wavy microchannel heat sink. Int. Commun. Heat Mass Transf. 2011, 38, 63–68. [Google Scholar] [CrossRef]
- Lasbet, Y.; Auvity, B.; Castelain, C.; Peerhossaini, H. A chaotic heat-exchanger for PEMFC cooling applications. J. Power Sour. 2006, 156, 114–118. [Google Scholar] [CrossRef]
- Rosaguti, N.R.; Fletcher, D.F.; Haynes, B.S. Low-Reynolds number heat transfer enhancement in sinusoidal channels. Chem. Eng. Sci. 2007, 62, 694–702. [Google Scholar] [CrossRef]
- Soudagar, M.E.M.; Soudagar, M.E.M.; Kalam, M.A.; Sajid, M.U.; Afzal, A.; Banapurmath, N.R.; Akram, N.; Mane, S.D. Thermal analyses of minichannels and use of mathematical and numerical models. Num. Heat Transf. Part A Appl. 2020, 77, 497–537. [Google Scholar] [CrossRef]
- Sui, Y.; Lee, P.; Teo, C. An experimental study of flow friction and heat transfer in wavy microchannels with rectangular cross section. Int. J. Therm. Sci. 2011, 50, 2473–2482. [Google Scholar] [CrossRef]
- Wang, L. Buoyancy-force-driven transitions in flow structures and their effects on heat transfer in a rotating curved channel. Int. J. Heat Mass Transf. 1997, 40, 223–235. [Google Scholar] [CrossRef]
- Lee, H.; Jeong, Y.; Shin, J.; Baek, J.; Kang, M.; Chun, K. Package embedded heat exchanger for stacked multi-chip module. Sens. Actuator A Phys. 2004, 114, 204–211. [Google Scholar] [CrossRef]
- Sehgal, S.; Murugesan, K.; Mohapatra, S. Effect of channel and plenum aspect ratios on the performance of microchannel heat sink under different flow arrangements. J. Mech. Sci. Technol. 2012, 26, 2985–2994. [Google Scholar] [CrossRef]
- Balaji, S.; Lakshminarayanan, S. Improved design of microchannel plate geometry for uniform flow distribution. Can. J. Chem. Eng. 2006, 84, 715–721. [Google Scholar] [CrossRef]
- Gulzar, M. Tribological Study of Nanoparticles Enriched Bio-based Lubricants for Piston Ring–Cylinder Interaction; Springer: Berlin/Heidelberg, Germany, 2018. [Google Scholar]
- Ahmed, W.; Chowdhury, Z.Z.; Kazi, S.N.; Johan, M.R.; Akram, N.; Oon, C.S. Effect of ZnO-water based nanofluids from sonochemical synthesis method on heat transfer in a circular flow passage. Int. Commun. Heat Mass Transf. 2020, 114, 104591. [Google Scholar] [CrossRef]
- Rahman, M.; Billah, M.M.; Rahman, A.T.M.M.; Kalam, M.A.; Ahsan, A. Numerical investigation of heat transfer enhancement of nanofluids in an inclined lid-driven triangular enclosure. Int. Commun. Heat Mass Transf. 2011, 38, 1360–1367. [Google Scholar] [CrossRef]
- Ebrahimnia Bajestan, E.; Niazmand, H.; Renksizbulut, M. Flow and heat transfer of nanofluids with temperature dependent properties. In Proceedings of the International Conference on Nanochannels, Microchannels, and Minichannels, Montreal, QC, Canada, 1–5 August 2010. [Google Scholar]
- Ebrahimi, A.; Rikhtegar, F.; Sabaghan, A.; Roohi, E. Heat transfer and entropy generation in a microchannel with longitudinal vortex generators using nanofluids. Energy 2016, 101, 190–201. [Google Scholar] [CrossRef]
- Akram, N.; Sadri, R.; Kazi, S.N.; Zubir, M.N.M.; Ridha, M.; Ahmed, W.; Soudagar, M.E.M.; Arzpeyma, M. A comprehensive review on nanofluid operated solar flat plate collectors. J. Therm. Anal. Calorim. 2019, 139, 1–35. [Google Scholar] [CrossRef]
- Karvelas, E.; Karakasidis, T.; Sarris, I. Computational analysis of paramagnetic spherical Fe3O4 nanoparticles under permanent magnetic fields. Comput. Mater. Sci. 2018, 154, 464–471. [Google Scholar] [CrossRef]
- Mathieu, J.-B.; Martel, S. Aggregation of magnetic microparticles in the context of targeted therapies actuated by a magnetic resonance imaging system. J. Appl. Phys. 2009, 106, 044904. [Google Scholar] [CrossRef]
- Vartholomeos, P.; Mavroidis, C. In silico studies of magnetic microparticle aggregations in fluid environments for MRI-guided drug delivery. IEEE Trans. Biomed. Eng. 2012, 59, 3028–3038. [Google Scholar] [CrossRef]
- Karvelas, E.; Lampropoulos, N.; Sarris, I.E. A numerical model for aggregations formation and magnetic driving of spherical particles based on OpenFOAM®. Comput. Methods Prog. Biomed. 2017, 142, 21–30. [Google Scholar] [CrossRef] [PubMed]
- Akbarinia, A.; Laur, R. Investigating the diameter of solid particles effects on a laminar nanofluid flow in a curved tube using a two phase approach. Int. J. Heat Fluid Flow 2009, 30, 706–714. [Google Scholar] [CrossRef]
- Fard, M.H.; Esfahany, M.N.; Talaie, M. Numerical study of convective heat transfer of nanofluids in a circular tube two-phase model versus single-phase model. Int. Commun. Heat Mass Transf. 2010, 37, 91–97. [Google Scholar] [CrossRef]
- Williams, W.; Buongiorno, J.; Hu, L.-W. Experimental investigation of turbulent convective heat transfer and pressure loss of alumina/water and zirconia/water nanoparticle colloids (nanofluids) in horizontal tubes. J. Heat Transf. 2008, 130, 042412. [Google Scholar] [CrossRef]
- Rea, U.; McKrell, T.; Hu, L.; Buongiorno, J. Laminar convective heat transfer and viscous pressure loss of alumina–water and zirconia–water nanofluids. Int. J. Heat Mass Transf. 2009, 52, 2042–2048. [Google Scholar] [CrossRef]
- He, Y.; Men, Y.; Liu, X.; Lu, H.; Chen, H.; Ding, Y. Study on forced convective heat transfer of non-Newtonian nanofluids. J. Therm. Sci. 2009, 18, 20–26. [Google Scholar] [CrossRef]
- Akram, N.; Sadri, R.; Kazi, S.N.; Ahmed, S.M.; Zubir, M.N.M.; Ridha, M.; Soudagar, M.; Ahmed, W.; Arzpeyma, W.; Tong, G.B. An experimental investigation on the performance of a flat-plate solar collector using eco-friendly treated graphene nanoplatelets–water nanofluids. J. Therm. Anal. Calorim. 2019, 138, 609–621. [Google Scholar] [CrossRef]
- He, Y.; Men, Y.; Zhao, Y.; Lu, H.; Ding, Y. Numerical investigation into the convective heat transfer of TiO2 nanofluids flowing through a straight tube under the laminar flow conditions. Appl. Therm. Eng. 2009, 29, 1965–1972. [Google Scholar] [CrossRef]
- Ahmed, W.; Kazi, S.N.; Chowdhury, Z.Z.; Johan, M.R.B.; Akram, N.; Mujtaba, M.A.; Gul, M.; Oon, C.S. Experimental investigation of convective heat transfer growth on ZnO@ TiO2/DW binary composites/hybrid nanofluids in a circular heat exchanger. J. Therm. Anal. Calorim. 2020, 75, 1–20. [Google Scholar]
- Prasher, R.S.; Dirner, J.; Chang, J.-Y.; Myers, A.; Chau, D.; He, D.; Prstic, S. Nusselt number and friction factor of staggered arrays of low aspect ratio micropin-fins under cross flow for water as fluid. J. Heat Transf. 2007, 129, 141–153. [Google Scholar] [CrossRef]
- Prasher, R.S.; Dirner, J.; Chang, J.-Y.; Myers, A.; Chau, D.; He, D.; Prstic, S. Nusselt number and friction factor of staggered arrays of low aspect ratio micropin-fins under cross flow for water as fluid. In Proceedings of the ASME International Mechanical Engineering Congress and Exposition, Chicago, IL, USA, 5–10 November 2006. [Google Scholar]
- Mohammadian, S.K.; Reza Seyf, H.; Zhang, Y. Performance augmentation and optimization of aluminum oxide-water nanofluid flow in a two-fluid microchannel heat exchanger. J. Heat Transf. 2014, 136, 021701. [Google Scholar] [CrossRef]
- Seyf, H.R.; Keshavarz Mohammadian, S. Thermal and hydraulic performance of counterflow microchannel heat exchangers with and without nanofluids. J. Heat Transf. 2011, 133, 081801. [Google Scholar] [CrossRef]
- Chai, L.; Xia, G.; Wang, L.; Zhou, M.; Cui, Z. Heat transfer enhancement in microchannel heat sinks with periodic expansion–constriction cross-sections. Int. J. Heat Mass Transf. 2013, 62, 741–751. [Google Scholar] [CrossRef]
- Okhotin, A.; Pushkarskii, A.; Gorbachev, V. Thermophysical Properties of Semiconductors; Atom Publ. House: Moscow, Russia, 1972. [Google Scholar]
- Peiyi, W.; Little, W. Measurement of friction factors for the flow of gases in very fine channels used for microminiature Joule-Thomson refrigerators. Cryogenics 1983, 23, 273–277. [Google Scholar] [CrossRef]
- Nath, P.; Chopra, K. Thermal conductivity of copper films. Thin Solid Films 1974, 20, 53–62. [Google Scholar] [CrossRef]
- Hansel, C. Mapping of Pressure Losses Through Microchannels With Sweeping-Bends of Various Angle and Radii; University of Central Florida Orlando: Orlando, FL, USA, 2008. [Google Scholar]
- Upadhye, H.R.; Kandlikar, S.G. Optimization of microchannel geometry for direct chip cooling using single phase heat transfer. In Proceedings of the International Conference on Nanochannels, Microchannels, and Minichannels, Rochester, NY, USA, 17–19 June 2004. [Google Scholar]
- Kandlikar, S.; Garimella, S.; Li, D.; Colin, S.; King, M.R. Heat Transfer and Fluid Flow in Minichannels and Microchannels, 1st ed.; Elsevier: Oxford, UK, 2015; pp. 87–92. [Google Scholar]
- Shah, R.K.; London, A.L. Laminar Flow Forced Convection in Ducts: A Source Book for Compact Heat Exchanger Analytical Data, 1st ed.; Differential Equations and Boundary Conditions; Academic Press: Cambridge, MA, USA, 2014; pp. 74–94. [Google Scholar]
- Chen, C.; Teng, J.-T.; Cheng, C.-H.; Jin, S.; Huang, S.; Liu, C.; Lee, M.-T.; Pan, H.; Greif, R. A study on fluid flow and heat transfer in rectangular microchannels with various longitudinal vortex generators. Int. J. Heat Mass Transf. 2014, 69, 203–214. [Google Scholar] [CrossRef]
- Pan, M.; Shao, X.; Liang, L. Analysis of velocity uniformity in a single microchannel plate with rectangular manifolds at different entrance velocities. Chem. Eng. Technol. 2013, 36, 1067–1074. [Google Scholar] [CrossRef]
- Hasan, M.I.; Rageb, A.A.; Yaghoubi, M.; Homayoni, H. Influence of channel geometry on the performance of a counter flow microchannel heat exchanger. Int. J. Therm. Sci. 2009, 48, 1607–1618. [Google Scholar] [CrossRef]




























| Symbol | Dimension (μm) |
|---|---|
| l1 | 18,000 |
| l2 | 4120 |
| l3 | 2000 |
| l4 | 1000 |
| w1 | 440 |
| w | 200 |
| ws | 200 |
| L | 28,300 |
| W | 7000 |
| Properties | Deionized Water [50,51] | Copper [52] |
|---|---|---|
| (Pa.s) | -- | |
| (W/m.k) | 387.6 | |
| (J/kg.k) | 381 | |
| (kg/m3) | 998.2 | 8978 |
| Property | Alumina | Zirconia |
|---|---|---|
| (J/kgk) | 880 | 418 |
| (kg/m3) | 3920 | 5600 |
| Number of Elements | Pressure Drop (kPa) | Analytical [54] | % Error |
|---|---|---|---|
| 11,664 | 122.3 | 146.5 | 16.5 |
| 22,350 | 132.6 | 146.5 | 9.5 |
| 59,486 | 143.4 | 146.5 | 2.1 |
| 181,000 | 149.3 | 146.5 | 1.8 |
| 384,813 | 151.5 | 146.5 | 3.3 |
| 1,958,264 | 154.2 | 146.5 | 5.2 |
| 2,844,375 | 154.6 | 146.5 | 5.5 |
| 4,373,200 | 154.7 | 146.5 | 5.5 |
| Group | Width Range μm | Height Range μm | Temperature K | Number of Cases |
|---|---|---|---|---|
| G1 | 35–300 | 35–300 | 320 | 120 |
| G2 | 35–300 | 35–300 | 325 | 120 |
| G3 | 35–300 | 35–300 | 365 | 120 |
| G4 | 35–300 | 35–300 | 370 | 120 |
| Channel | No Nanofluid | 1% Alumina | 3% Alumina | 1% Zirconia | 3% Zirconia |
|---|---|---|---|---|---|
| Straight | |||||
| Bend |
| Group | Width (μm) | Height (μm) | Temperature (K) |
|---|---|---|---|
| 1 | 200 | 100–200 | 320 |
| 2 | 200 | 100–200 | 325 |
| 3 | 200 | 100–200 | 365 |
| 4 | 200 | 100–200 | 370 |
| Nanoparticles | 0% | 1% | 3% |
|---|---|---|---|
| Alumina | |||
| Zirconia |
© 2020 by the authors. Licensee MDPI, Basel, Switzerland. This article is an open access article distributed under the terms and conditions of the Creative Commons Attribution (CC BY) license (http://creativecommons.org/licenses/by/4.0/).
Share and Cite
Khan, M.Z.U.; Uddin, E.; Akbar, B.; Akram, N.; Naqvi, A.A.; Sajid, M.; Ali, Z.; Younis, M.Y.; García Márquez, F.P. Investigation of Heat Transfer and Pressure Drop in Microchannel Heat Sink Using Al2O3 and ZrO2 Nanofluids. Nanomaterials 2020, 10, 1796. https://doi.org/10.3390/nano10091796
Khan MZU, Uddin E, Akbar B, Akram N, Naqvi AA, Sajid M, Ali Z, Younis MY, García Márquez FP. Investigation of Heat Transfer and Pressure Drop in Microchannel Heat Sink Using Al2O3 and ZrO2 Nanofluids. Nanomaterials. 2020; 10(9):1796. https://doi.org/10.3390/nano10091796
Chicago/Turabian StyleKhan, Muhammad Zia Ullah, Emad Uddin, Bilal Akbar, Naveed Akram, Ali Ammar Naqvi, Muhammad Sajid, Zaib Ali, Md. Yamin Younis, and Fausto Pedro García Márquez. 2020. "Investigation of Heat Transfer and Pressure Drop in Microchannel Heat Sink Using Al2O3 and ZrO2 Nanofluids" Nanomaterials 10, no. 9: 1796. https://doi.org/10.3390/nano10091796
APA StyleKhan, M. Z. U., Uddin, E., Akbar, B., Akram, N., Naqvi, A. A., Sajid, M., Ali, Z., Younis, M. Y., & García Márquez, F. P. (2020). Investigation of Heat Transfer and Pressure Drop in Microchannel Heat Sink Using Al2O3 and ZrO2 Nanofluids. Nanomaterials, 10(9), 1796. https://doi.org/10.3390/nano10091796

