White Magnetic Paper with Zero Remanence Based on Electrospun Cellulose Microfibers Doped with Iron Oxide Nanoparticles
Abstract
1. Introduction
2. Materials and Methods
2.1. Chemicals and Reagents
2.2. Synthesis of Water-Based Ferrofluid
2.3. Fabrication of Electrospun CA Fibrous Membranes
2.4. Fabrication of Magnetic, Cellulose-Based White Paper in the Form of a Sandwiched Structure
- Step 1:
- CA electrospun fibrous membrane was fabricated by electrospinning under the optimum electrospinning conditions. The duration of the electrospinning process was 1 h. Then, the as-prepared CA membrane was cut in small rectangular layers (0.1 mm × 0.1 mm, inner layers of the sandwiched structure) followed by a post-magnetization procedure.
- Step 2:
- The post-magnetization procedure involved the impregnation of the CA fibrous mat with a specific amount of an aqueous solution of MIONP-OAOA NPs via drop casting. More precisely, four magnetic aqueous solutions were prepared (A: As-synthesized mother solution; B: 2× dilution of the mother solution; C: 5× dilution of the mother solution; D: 10× dilution of the mother solution). Each diluted aqueous magnetic amount (i.e., 2×; 5×; 10×) was rapidly stirred by vortex for ensuring homogeneity.
- Step 3:
- CA electrospun fibrous membrane was fabricated by electrospinning (process duration: 2 h). The as-prepared CA membrane was cut in orthogonal layers (length × width: 1.2 mm × 0.25 mm, outer layer of the sandwiched structure, mass of outer layer = 100 mg). Eight samples were prepared in total.
- Step 4:
- The generation of the sandwiched structure was realized by wrapping the magnetic inner layer (produced as described in step 2) within the CA outer layer produced in step 3. The final sandwiched structure was initially fixed with glassy rods that were placed at the 2 edges of the specimen, followed by the placement of the latter in between two glass slides as schematically depicted in Figure 2. The number of the outer layers may vary, thus controlling the overall thickness of the final composite.
- Step 5:
- The final step involved the regeneration of CA into cellulose by the immersion of the generated sandwiched structure in NaOH/ethanol solution (0.1 M, 60 mL solution) for 48 h (under airtight closure) as presented in Figure 3.
2.5. Characterization
2.5.1. Transmission Electron Microscopy (TEM)
2.5.2. X-Ray Diffraction (XRD)
2.5.3. Scanning Electron Microscopy (SEM)
2.5.4. Fourier-Transform Infrared (FTIR) Spectroscopy
2.5.5. Magnetometry
3. Results and Discussion
3.1. Magnetic Nanoparticle Characterization
3.2. Fabrication of Electrospun CA Fibrous Mats
3.3. Post-Magnetization Process
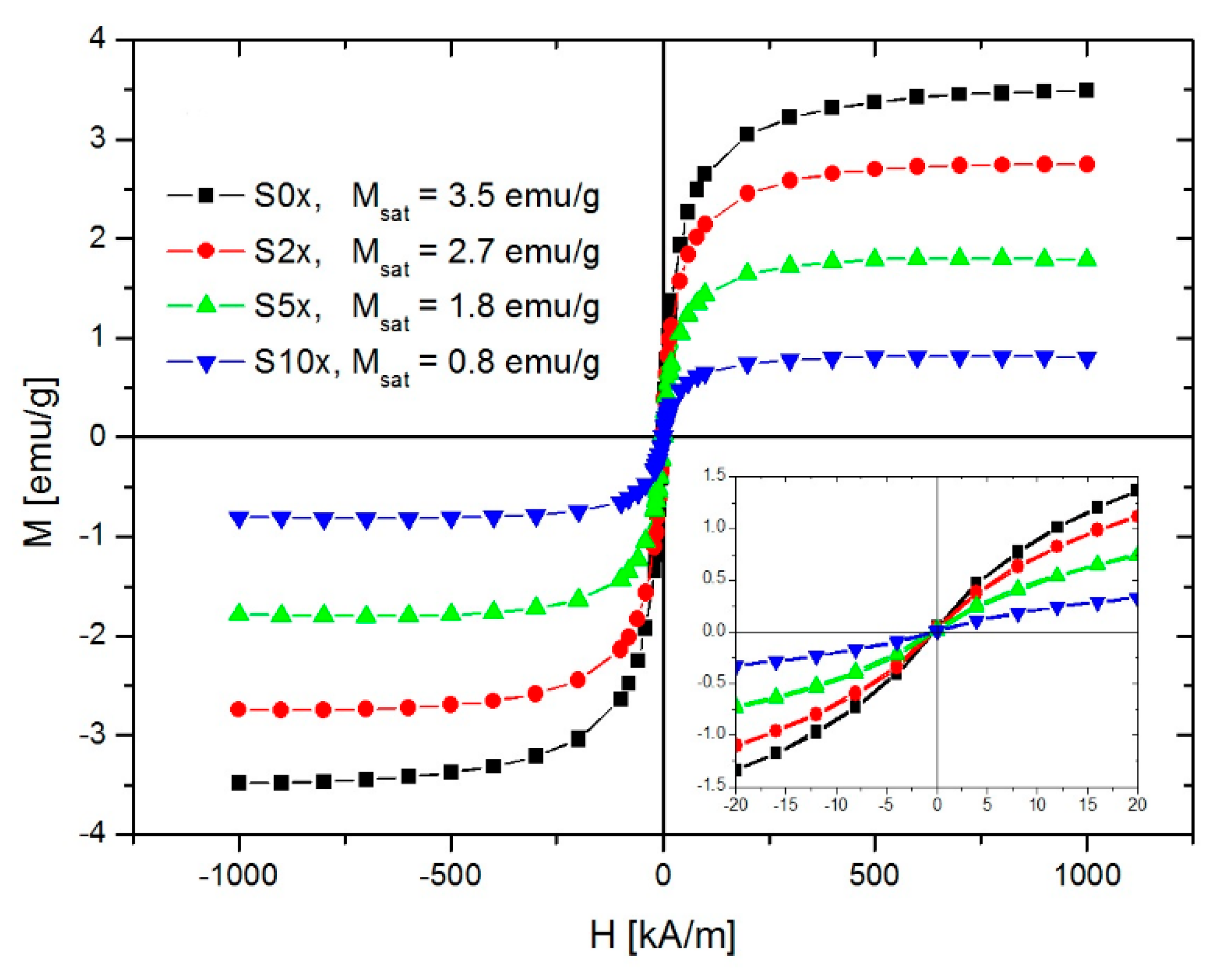
3.4. Fabrication of Sandwiched CA/MIONP-OAOA _CA/CA Composites and Cellulose-Based Regenerated Analogues (Cellulose-Based White Magnetic Paper)
4. Conclusions
Author Contributions
Funding
Conflicts of Interest
References
- Marchessault, R.H.; Rioux, P.; Raymond, L. Magnetic cellulose fibers and paper: Preparation, processing and properties. Polymer 1992, 33, 4024–4028. [Google Scholar] [CrossRef]
- Small, A.C.; Johnston, J.H. Novel hybrid materials of magnetic nanoparticles and cellulose fibers. J. Col. Int. Sci. 2009, 331, 122–126. [Google Scholar] [CrossRef]
- Shen, J.; Song, Z.; Quian, X.; Ni, Y. A review on use of fillers in cellulosic paper for functional applications. Ind. Eng. Chem. Res. 2011, 50, 661–666. [Google Scholar] [CrossRef]
- Chia, C.H.; Zakaria, S.; Ahamd, S.; Abdullah, M.; Jani, S.M. Preparation of magnetic paper from kenaf: Lumen loading and in situ synthesis method. Am. J. Appl. Sci. 2006, 3, 1750–1754. [Google Scholar] [CrossRef]
- Baraud, H.S.; Tercjak, A.; Gutierrez, J.; Viali, W.R.; Nunes, E.S.; Ribeiro, S.J.; Jafellici, M.; Nalin, M.; Marques, R.F.C. Biocellulose-based flexible magnetic paper. J. Appl. Phys. 2015, 117, 17B734. [Google Scholar] [CrossRef]
- Pacurariu, C.; Taculescu, E.-A.; Ianos, R.; Marinica, O.; Mihali, C.-V.; Socoliuc, V. Synthesis and characterization of γ-Fe2O3/SiO2 composites as possible candidates for magnetic paper manufacturing. Ceram. Int. 2015, 41, 1079–1085. [Google Scholar] [CrossRef]
- Buteica, D.; Borbath, I.; Valentin, I.V.; Turcu, R.; Marinica, O.; Socoliuc, V. Optimization of multicore-shell Fe3O4-SiO2 magnetic composites synthesis and retention in cellulose pulp. AIP Conf. Proc. 2017, 1916, 1–5. [Google Scholar]
- Sriplai, N.; Sirima, P.; Palaporn, D.; Mongkolthanaruk, W.; Eichhorn, S.J.; Pinitsoontorn, S. White magnetic paper based on bacterial cellulose nanocomposite. J. Mat. Chem. C 2018, 6, 11427–11435. [Google Scholar] [CrossRef]
- Gao, D.; Ma, J.; Li, Z.; Liu, J. Preparation and characterization of a new white magnetic paper. Mater. Lett. 2014, 137, 487–490. [Google Scholar] [CrossRef]
- Wee-Eong, T.; Seeram, R. A review on electrospinning design and nanofibre assemblies. Nanotechnology 2006, 17, R89–R106. [Google Scholar]
- Savva, I.; Krasia-Christoforou, T. Chapter 2: Encroachement of Traditional Electrospinning in Electrospinning: From Basic Research to Commercialization; Erich, K., Kajal, G., Sabu, T., Eds.; Royal Society of Chemistry: London, UK, 2018; pp. 24–54. [Google Scholar]
- Persano, L.; Camposeo, A.; Tekmen, C.; Pisignano, D. Industrial Upscaling of Electrospinning and Applications of Polymer Nanofibers: A Review. Macromol. Mater. Eng. 2013, 298, 504–520. [Google Scholar] [CrossRef]
- Petropoulou, A.; Kralj, S.; Karagiorgis, X.; Savva, I.; Loizides, E.; Panagi, M.; Krasia-Christoforou, T.; Riziotis, C. Multifunctional Gas and pH Fluorescent Sensors Based on Cellulose Acetate Electrospun Fibers Decorated with Rhodamine B-Functionalised Core-Shell Ferrous Nanoparticles. Sci. Rep. 2020, 10, 367. [Google Scholar] [CrossRef] [PubMed]
- Chronakis, I.S. Novel nanocomposites and nanoceramics based on polymer nanofibers using electrospinning process – A review. J. Mater. Process. Technol. 2005, 167, 283–293. [Google Scholar] [CrossRef]
- Savva, I.; Odysseos, A.; Evaggelou, L.; Marinica, O.; Vasile, E.; Vekas, L.; Sarigiannis, Y.; Krasia-Christoforou, T. Fabrication, characterization and evaluation in drug release properties of magnetoactive poly(ethylene oxide)-poly(L-lactide) electrospun membranes. Biomacromolecules 2013, 14, 4436–4446. [Google Scholar] [CrossRef]
- Savva, I.; Marinica, O.; Papatryfonos, C.A.; Vekas, L.; Krasia-Christoforou, T. Evaluation of electrospun polymer–Fe3O4 nanocomposite mats in malachite green adsorption. RSC Adv. 2015, 5, 16484–16496. [Google Scholar] [CrossRef]
- Savva, I.; Kalogirou, A.; Chatzinicolaou, A.; Papaphilippou, P.; Pantelidou, A.; Vasile, E.; Vasile, E.; Koutentis, P.A.; Krasia-Christoforou, T. PVP-crosslinked electrospun membranes with embedded Pd and Cu2O nanoparticles as effective heterogeneous catalytic supports. RSC Adv. 2014, 4, 44911–44921. [Google Scholar] [CrossRef]
- Panteli, S.; Savva, I.; Efstathiou, M.; Vekas, L.; Marinica, O.; Krasia-Christoforou, T.; Pashalidis, I.I. β-Ketoester-Functionalized Magnetoactive Electrospun Polymer Fibers as Eu(III) Adsorbents. SN Appl. Sci. 2019, 1, 30. [Google Scholar] [CrossRef]
- Zhao, L.; Duan, G.; Zhang, G.; Yang, H.; He, S.; Jiang, S. Electrospun Functional Materials toward Food Packaging Applications: A Review. Nanomaterials 2020, 10, 150. [Google Scholar] [CrossRef]
- Cherpinski, A.; Szewczyk, P.K.; Gruszczyński, A.; Stachewicz, U.; Lagaron, J.M. Oxygen-Scavenging Multilayered Biopapers Containing Palladium Nanoparticles Obtained by the Electrospinning Coating Technique. Nanomaterials 2019, 9, 262. [Google Scholar] [CrossRef]
- Zhou, W.; He, J.; Cui, S.; Gao, W. Studies of Electrospun Cellulose Acetate Nanofibrous Membranes. Open Mater. Sci. J. 2011, 5, 51–55. [Google Scholar] [CrossRef][Green Version]
- Beyene, D.; Chae, M.; Dai, J.; Danumah, C.; Tosto, F.; Demesa, A.G.; Bressler, D.C. Characterization of Cellulase-Treated Fibers and Resulting Cellulose Nanocrystals Generated through Acid Hydrolysis. Materials 2018, 11, 1272. [Google Scholar] [CrossRef] [PubMed]
- Barud, H.S.; Júnior, A.M.d.; Santos, D.B.; de Assunção, R.M.N.; Meireles, C.S.; Cerqueira, D.A.; Filho, G.R.; Ribeiro, C.A.; Messaddeq, Y.; Ribeiro, S.J.L. Thermal behavior of cellulose acetate produced from homogeneousacetylation of bacterial cellulose. Thermochim. Acta 2008, 471, 61–69. [Google Scholar] [CrossRef]
- Bica, D.; Vékás, L.; Avdeev, M.V.; Marinică, O.; Socoliuc, V.; Bălăsoiu, M.; Garamus, V.M. Sterically stabilized water based magnetic fluids: Synthesis, structure and properties. J. Magn. Magn. Mater. 2007, 311, 17–21. [Google Scholar] [CrossRef]
- ImageJ Image Processing and Analysis in Java. Available online: https://imagej.nih.gov/ij/ (accessed on 11 March 2020).
- Ivanov, A.O.; Kantorovich, S.S.; Reznikov, E.N.; Holm, C.; Pshenichnikov, A.F.; Lebedev, A.V.; Chremos, A.; Camp, P.J. Magnetic properties of polydisperse ferrofluids: A critical comparison between experiment, theory, and computer simulation. Phys. Rev. E: Stat. Nonlinear. Matter Phys. 2007, 75, 061405. [Google Scholar] [CrossRef] [PubMed]
- Socoliuc, V.; Vekas, L.; Turcu, R. Magnetically induced phase condensation in an aqueous dispersion of magnetic nanogels. Soft Matter 2013, 9, 3098–3105. [Google Scholar] [CrossRef]
- Cogoni, G.; Grosso, M.; Baratti, R.; Romagnoli, J.A. Time Evolution of the PSD in Crystallization Operations: An Analytical Solution based on Ornstein-Uhlenbeck Process. AIChE J. 2012, 58, 3731–3739. [Google Scholar] [CrossRef]
- Kuzmenko, V.; Naboka, O.; Gatenholm, P.; Enoksson, P. Ammonium chloride promoted synthesis of carbon nanofibers from electrospun cellulose acetate. Carbon 2014, 67, 694–703. [Google Scholar] [CrossRef]












| Quantities\Dilution | 0× (Mother Solution) | 2× | 5× | 10× |
|---|---|---|---|---|
| dry CA mass (mg) | 3.8 | 3.4 | 3 | 2.7 |
| NP solution (μl) | 57 | 51 | 45 | 41 |
| final dry magnetic CA mass (mg) | 8.6 | 7 | 4.3 | 3 |
| Magnetic loading (mg) | 4.8 | 3.6 | 1.3 | 0.3 |
| Magnetic loading (%) | 55.8 | 51.4 | 30.2 | 10 |
© 2020 by the authors. Licensee MDPI, Basel, Switzerland. This article is an open access article distributed under the terms and conditions of the Creative Commons Attribution (CC BY) license (http://creativecommons.org/licenses/by/4.0/).
Share and Cite
Papaparaskeva, G.; Dinev, M.M.; Krasia-Christoforou, T.; Turcu, R.; Porav, S.A.; Balanean, F.; Socoliuc, V. White Magnetic Paper with Zero Remanence Based on Electrospun Cellulose Microfibers Doped with Iron Oxide Nanoparticles. Nanomaterials 2020, 10, 517. https://doi.org/10.3390/nano10030517
Papaparaskeva G, Dinev MM, Krasia-Christoforou T, Turcu R, Porav SA, Balanean F, Socoliuc V. White Magnetic Paper with Zero Remanence Based on Electrospun Cellulose Microfibers Doped with Iron Oxide Nanoparticles. Nanomaterials. 2020; 10(3):517. https://doi.org/10.3390/nano10030517
Chicago/Turabian StylePapaparaskeva, G., M. M. Dinev, T. Krasia-Christoforou, R. Turcu, S. A. Porav, F. Balanean, and V. Socoliuc. 2020. "White Magnetic Paper with Zero Remanence Based on Electrospun Cellulose Microfibers Doped with Iron Oxide Nanoparticles" Nanomaterials 10, no. 3: 517. https://doi.org/10.3390/nano10030517
APA StylePapaparaskeva, G., Dinev, M. M., Krasia-Christoforou, T., Turcu, R., Porav, S. A., Balanean, F., & Socoliuc, V. (2020). White Magnetic Paper with Zero Remanence Based on Electrospun Cellulose Microfibers Doped with Iron Oxide Nanoparticles. Nanomaterials, 10(3), 517. https://doi.org/10.3390/nano10030517

