Synthesis, Cytotoxicity Assessment and Optical Properties Characterization of Colloidal GdPO4:Mn2+, Eu3+ for High Sensitivity Luminescent Nanothermometers Operating in the Physiological Temperature Range
Abstract
1. Introduction
2. Materials and Methods
2.1. Materials
2.2. Synthesis
2.3. Methods
3. Results and Discussion
3.1. Structural and Morphological Properties of GdPO4:Mn2+, Eu3+ Nanoparticles
3.2. Spectroscopic Properties of GdPO4:Mn2+, Eu3+ Nanoparticles
3.3. Kinetics of Emission of Eu3+ and Mn2+ in GdPO4 Nanoparticles
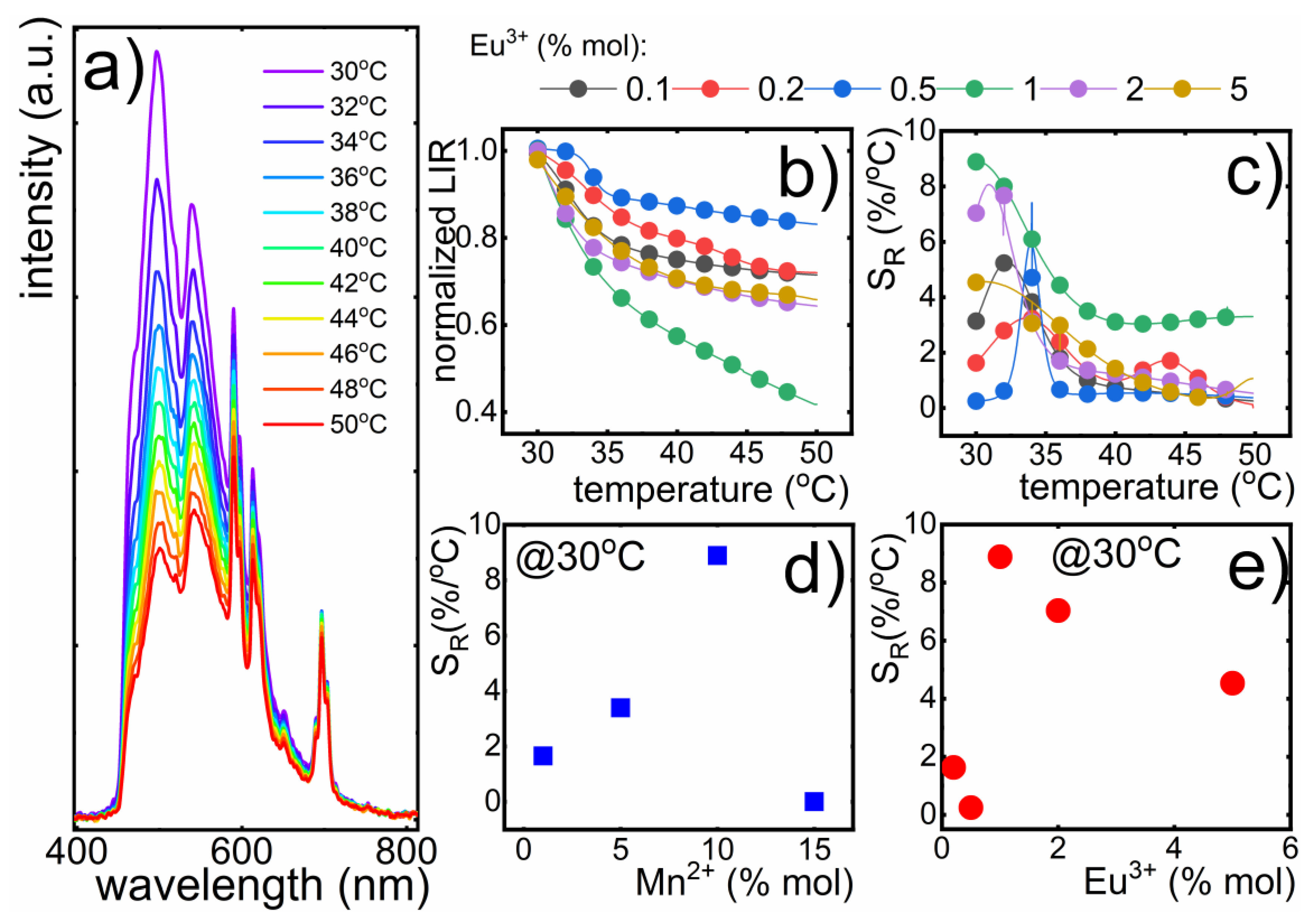
3.4. Luminescent Thermometry
4. Conclusions
Supplementary Materials
Author Contributions
Acknowledgments
Conflicts of Interest
References
- Roco, M.C. The long view of nanotechnology development: The National Nanotechnology Initiative at 10 years. J. Nanopart. Res. 2020, 427–445. [Google Scholar] [CrossRef]
- Sordillo, L.A.; Alfano, R.R. Deep optical imaging of tissue using the second and third near-infrared spectral windows and third near-infrared spectral windows. J. Biomed. Opt. 2014, 19. [Google Scholar] [CrossRef] [PubMed]
- Nune, S.K.; Gunda, P.; Thallapally, P.K.; Lin, Y.; Laird, M.; Berkland, C.J. Nanoparticles for biomedical imaging. Expert Opin. Drug Deliv. 2011, 6, 1175–1194. [Google Scholar] [CrossRef] [PubMed]
- Christian Streffer. Hyperthermia and The Therapy of Malignant Tumors; Recent Results in Cancer Research book series; Springer: Berlin/Heidelberg, Germany, 1987; (RECENTCANCER, Volume 104). [Google Scholar] [CrossRef]
- Carlos, L.D.; Fernando, P.P. Thermometry at the Nanoscale: Techniques and Selected Applications; Royal Society Chemistry: Cambridge, UK, 2016; ISBN 978-1-78262-203-1. [Google Scholar] [CrossRef]
- Wolfbeis, O.S. An overview of nanoparticles commonly used in fluorescent bioimaging. Chem. Soc. Rev. 2015, 4743–4768. [Google Scholar] [CrossRef] [PubMed]
- Labrador-páez, L.; Pedroni, M.; Speghini, A.; García-solé, J.; Haro-gonzález, P.; Jaque, D. Reliability of rare-earth-doped infrared luminescent nanothermometers. Nanoscale 2018, 22319–22328. [Google Scholar] [CrossRef] [PubMed]
- Lima, P.; Silva, N.J.O.; Palacio, F.; Carlos, D. Ratiometric highly sensitive luminescent nanothermometers working in the room temperature range. Applications to heat propagation in nano fluids. Nanoscale 2013, 7572–7580. [Google Scholar] [CrossRef]
- Wang, X.; Wolfbeis, O.S.; Meier, R.J.; Wang, X. Luminescent probes and sensors for temperature. Chem. Soc. Rev. 2013, 7834–7869. [Google Scholar] [CrossRef]
- Jaque, D.; Vetrone, F. Luminescence Nanothermometry. Nanoscale 2012, 4301–4326. [Google Scholar] [CrossRef]
- Brites, C.D.S.; Lima, P.P.; Silva, N.J.O.; Mill, A.; Amaral, V.S.; Carlos, D. Thermometry at the nanoscale. Nanoscale 2012, 4799–4829. [Google Scholar] [CrossRef]
- Brites, C.D.S.; Milla, A. Lanthanides in Luminescent Thermometry. In Handbook of Nanomaterials in Analytical Chemistry: Modern Trends in Analysis; Elsevier: Amsterdam, The Netherlands, 2016; Volume 49, ISBN 978-0-12-816699-4. [Google Scholar]
- Benayas, A.; Rosal, B.; Pérez-delgado, A.; Santacruz-gómez, K.; Jaque, D.; Hirata, G.A.; Vetrone, F. Nd: YAG Near-Infrared Luminescent Nanothermometers. Adv. Opt. Matter. 2015, 1–8. [Google Scholar] [CrossRef]
- Vetrone, F.; Naccache, R.; Zamarro, A.; Juarranz, A.; Fuente, D.; Sanz-rodrı, F.; Maestro, L.M.; Martı, E.; Jaque, D.; Capobianco, J.A. Temperature Sensing Using Fluorescent Nanothermometers. ACS Nano 2010, 4, 3254–3258. [Google Scholar] [CrossRef] [PubMed]
- Wang, S.; Westcott, S.; Chen, W. Nanoparticle Luminescence Thermometry. J. Phys. Chem. B 2002, 106, 11203–11209. [Google Scholar] [CrossRef]
- Marciniak, L.; Bednarkiewicz, A.; Drabik, J.; Trejgis, K.; Strek, W. Optimization of highly sensitive YAG: Cr3+,Nd3+ nanocrystal-based luminescent thermometer operating in an optical window of biological tissues. Phys. Chem. Chem. Phys. 2017, 7343–7351. [Google Scholar] [CrossRef] [PubMed]
- Trejgis, K.; Marciniak, L. The influence of manganese concentration on the sensitivity of bandshape and lifetime luminescent thermometers based on Y3Al5O12:Mn3+, Mn4+, Nd3+ nanocrystals. Phys. Chem. Chem. Phys. 2018, 20, 9574–9581. [Google Scholar] [CrossRef] [PubMed]
- Marciniak, L.; Prorok, K.; Bednarkiewicz, A. Size dependent sensitivity of Yb3+, Er3+ up-converting luminescent nano-thermometers. J. Mater. Chem. C 2017, 5, 7890–7897. [Google Scholar] [CrossRef]
- Matuszewska, C.; Marciniak, L. Transition Metal Ion-Based Nanocrystalline Luminescent Thermometry in SrTiO3:Ni2+, Er3+ Nanocrystals Operating in the Second Optical Window of Biological Tissues. J. Phys. Chem. C 2019, 123, 18646–18653. [Google Scholar] [CrossRef]
- Kniec, K.; Marciniak, L. The influence of grain size and vanadium concentration on the spectroscopic properties of YAG:V3+, V5+ and YAG:V, Ln3+ (Ln3+ = Eu3+, Dy3+, Nd3+) nanocrystalline luminescent thermometers. Sens. Actuators B Chem. 2018, 264, 382–390. [Google Scholar] [CrossRef]
- Elzbieciak, K.; Marciniak, L. The Impact of Cr3+ Doping on Temperature Sensitivity Modulation in Cr3+ Doped and Cr3+, Nd3+ and Y3Ga5O12 Nanothermometers. Front. Chem. 2018, 6, 1–8. [Google Scholar] [CrossRef]
- Dongdong, L.I.; Qiyue, S.; Yan, D.; Jianqing, J. Nanoparticles using rare-earth acetate precursors. J. Rare Earths 2014, 32, 1032–1036. [Google Scholar] [CrossRef]
- Shang, L.; Stockmar, F.; Azadfar, N.; Nienhaus, G.U. Intracellular Thermometry by Using Fluorescent Gold Nanoclusters. Angewandte 2013, 11154–11157. [Google Scholar] [CrossRef]
- Gai, S.; Li, C.; Yang, P.; Lin, J. Recent Progress in Rare Earth Micro/Nanocrystals: Soft Chemical Synthesis, Luminescent Properties and Biomedical Applications. Chem. Rev. 2014, 114, 2343–2389. [Google Scholar] [CrossRef] [PubMed]
- Runowski, M.; Shyichuk, A.; Tymiński, A.; Grzyb, T.; Lavín, V.; Lis, S. Multifunctional Optical Sensors for Nanomanometry and Nanothermometry: High-Pressure and High-Temperature Upconversion Luminescence of Lanthanide-Doped Phosphates LaPO4/YPO4:Yb3+−Tm3+. ACS Appl. Mater. Interfaces 2018, 10, 17269–17279. [Google Scholar] [CrossRef] [PubMed]
- Clifford, D.M.; Copping, R. Synthesis and characterization of intrinsically radiolabeled lanthanide phosphate nanoparticles toward biomedical and environmental applications. J. Nanopart. Res. 2018, 20, 238. [Google Scholar] [CrossRef]
- Lin, S.; Dong, X.; Jia, R.; Yuan, Y. Controllable synthesis and luminescence property of LnPO4 (Ln = La, Gd, Y) nanocrystals. Langmuir 2004, 20, 11763–11771. [Google Scholar] [CrossRef]
- Riwotzki, K.; Meyssamy, H.; Kornowski, A.; Haase, M. Liquid-Phase Synthesis of Doped Nanoparticles: Colloids of Luminescing LaPO4:Eu and CePO4:Tb Particles with a Narrow Particle Size Distribution. J. Phys. Chem. B 2000, 104, 2824–2828. [Google Scholar] [CrossRef]
- Marciniak, L. Step by step designing of sensitive luminescent nanothermometers based on Cr3+, Nd3+ co-doped La3−xLuxAl5−yGayO12 nanocrystals. New J. Chem. 2019, 43, 12614–12622. [Google Scholar] [CrossRef]
- Kniec, K.; Ledwa, K. Enhancing the Relative Sensitivity of V5+, V4+ and V3+ Based Luminescent Thermometer by the Optimization of the Stoichiometry of Y3Al5−xGaxO12 Nanocrystals. Nanomaterials 2019, 9, 1375. [Google Scholar] [CrossRef]
- Drabik, J.; Cichy, B.; Marciniak, L. New Type of Nanocrystalline Luminescent Thermometers Based on Ti3+/Ti4+ and Ti4+/Ln3+ (Ln3+ = Nd3+, Eu3+, Dy3+) Luminescence Intensity Ratio. J. Phys. Chem. C 2018, 122, 14928–14936. [Google Scholar] [CrossRef]
- Kobylinska, A.; Kniec, K.; Maciejewska, K.; Marciniak, L. The influence of dopant concentration and grain size on the ability for temperature sensing using nanocrystalline MgAl2O4: Co2+,Nd3+ luminescent thermometers. New J. Chem. 2019, 43, 6080–6086. [Google Scholar] [CrossRef]
- Zhang, X.; Zhu, Z.; Guo, Z.; Sun, Z.; Chen, Y. A ratiometric optical thermometer with high sensitivity and superior signal discriminability based on Na3Sc2P3O12: Eu2+, Mn2+ thermochromic phosphor. Chem. Eng. J. 2019, 356, 413–422. [Google Scholar] [CrossRef]
- Chi, F.; Jiang, B.; Zhao, Z.; Chen, Y.; Wei, X.; Duan, C. Sensors and Actuators B: Chemical Multimodal temperature sensing using Zn2GeO4: Mn2+ phosphor as highly sensitive luminescent thermometer. Sens. Actuators B Chem. 2019, 296, 126640. [Google Scholar] [CrossRef]
- Lojpur, V.; Nikolić, M.G.; Jovanović, D.; Medić, M.; Antić, Ž.; Dramićanin, M.D. Luminescence thermometry with Zn2SiO4: Mn2+ powder. Appl. Phys. Lett. 2013, 141912, 2–5. [Google Scholar] [CrossRef]
- Gao, Y.; Cheng, Y.; Huang, F.; Lin, H.; Xu, J. Sn2+/Mn2+ codoped strontium phosphate (Sr2P2O7) phosphor for high temperature optical thermometry. J. Alloys Compd. Front Chem. 2019, 7, 425. [Google Scholar] [CrossRef]
- Zhang, X.; Xu, J.; Guo, Z.; Gong, M. Luminescence and Energy Transfer of Dual-Emitting Solid Solution Sensing. Ind. Eng. Chem. Res. 2017, 3–11. [Google Scholar] [CrossRef]
- Xia, H.; Lei, L.; Hong, W.; Xu, S. A novel Ce3+/Mn2+/Eu3+ tri-doped GdF3 nanocrystals for optical temperature sensor and anti-counterfeiting. J. Alloys Compd. 2018, 757, 239–245. [Google Scholar] [CrossRef]
- Huang, F.; Chen, D. Nanocomposites for highly sensitive optical thermometry through the synergistic. J. Mater. Chem. C. 2017, 5176–5182. [Google Scholar] [CrossRef]
- Xu, Z.; Cao, Y.; Li, C.; Ma, P.; Zhai, X.; Huang, S.; Kang, X.; Shang, M.; Yang, D.; Dai, Y.; et al. Urchin-like GdPO4 and GdPO4: Eu3+ hollow spheres– hydrothermal synthesis, luminescence and drug-delivery properties. J. Mater. Chem. 2011, 21, 3686–3694. [Google Scholar] [CrossRef]
- Mansoor, H.; Harrigan, W.L.; Lehuta, K.A.; Kittilstved, K.R. Reversible Control of the Mn Oxidation State in SrTiO3 Bulk Powders. Solid State Commun. 1983, 45, 903–906. [Google Scholar] [CrossRef]
- Shannon, B.Y.R.D.; Baur, M.H.N.H.; Gibbs, O.H.; Eu, M.; Cu, V. Revised Effective Ionic Radii and Systematic Studies of Interatomie Distances in Halides and Chaleogenides. Acta Cryst. 1976, A32, 751–767. [Google Scholar] [CrossRef]
- Nono, A.G. The cation distribution in synthetic (Fe, Mn)3(PO4)2 graftonite-type sotid solutions. Am. Mineral. 1982, 67, 826–832. [Google Scholar]
- Song, E.; Zhao, W.; Dou, X.; Zhu, Y.; Yi, S.; Min, H. Nonradiative energy transfer from Mn2+ to Eu3+ in K2CaP2O7: Mn2+,Eu3+ phosphor. J. Lumin. 2012, 132, 1462–1467. [Google Scholar] [CrossRef]
- Wu, Y.; Wu, T. Exploring Mn2+-location-dependent red emission from (Mn/Zn)–Ga–Sn–S supertetrahedral nanoclusters with relatively precise dopant positions. J. Mater. Chem. C 2016, 4, 10435–10444. [Google Scholar] [CrossRef]
- Ningthoujam, R.S.; Atomic, B.; Singh, N.S.; Vatsa, R.; Singh, N.R. Luminescence, Lifetime, and Quantum Yield Studies of Redispersible Eu3+-Doped GdPO4 Crystalline Nanoneedles: Core-Shell and Concentration. J. Appl. Phys. 2010, 107, 034301. [Google Scholar] [CrossRef]
- Papan, J.; Viana, B. MgTiO3:Mn4+ a multi-reading temperature nanoprobe. RSC Adv. 2018, 18341–18346. [Google Scholar] [CrossRef]
- Chen, D.; Liu, S.; Zhou, Y.; Wan, Z.; Huang, P.; Ji, Z. Dual-activator luminescence of RE/TM: Y3Al5O12 (RE = Eu3+, Tb3+, Dy3+; TM = Mn4+, Cr3+) phosphors for self-referencing optical thermometry. J. Mater. Chem. C 2016, 4, 9044–9051. [Google Scholar] [CrossRef]
- Zhuang, B.; Liu, Y.; Yuan, S.; Huang, H.; Chen, J.; Chen, D. Dots for cryogenic temperature sensing. Nanoscale 2019, 11, 15010–15016. [Google Scholar] [CrossRef]
- Ren, W.; Tian, G.; Zhou, L.; Yin, W.; Yan, L.; Jin, S.; Zu, Y.; Li, S. Timing matters: The underappreciated role of temperature ramp rate for shape control and reproducibility of quantum dot synthesis. Nanoscale 2012, 3754–3760. [Google Scholar] [CrossRef]
- Holder, A.L.; Goth-goldstein, R.; Lucas, D.; Koshland, C.P. Particle-Induced Artifacts in the MTT and LDH Viability Assays. Chem. Res. Toxicol. 2012, 25, 1885–1892. [Google Scholar] [CrossRef]





| Compound | Mn Valence State | Temperature Range (°C) | SR Max (%/°C) | Reference |
|---|---|---|---|---|
| Y3Al5O12:Mn3+, Mn4+, Nd3+ | III/IV | −90–523 | 2.69 | [17] |
| ZnGeO4:Mn2+ | II | 250–420 | 12.2 | [35] |
| MgTiO3:Mn4+ a | IV | −200–50 | 1.2 | [45] |
| Mn2+:Zn2SiO4–Eu3+:Gd2O3 | II | 30–50 | 3.05 | [40] |
| Zn2SiO4:Mn2+ | II | 0–300 | 12.2 | [46] |
| Eu3+/Mn4+:YAG | IV | 20–120 | 4.81 | [47] |
| Tb3+/Mn4+:YAG | IV | 20–120 | 3.73 | [47] |
| CsPb(Cl/Br)3:Mn2+ | II | −193–20 | 10.04 | [48] |
| GdPO4:10%Mn2+, 1%Eu3+ | II | 30–50 | 8.88 | This work |
© 2020 by the authors. Licensee MDPI, Basel, Switzerland. This article is an open access article distributed under the terms and conditions of the Creative Commons Attribution (CC BY) license (http://creativecommons.org/licenses/by/4.0/).
Share and Cite
Maciejewska, K.; Poźniak, B.; Tikhomirov, M.; Kobylińska, A.; Marciniak, Ł. Synthesis, Cytotoxicity Assessment and Optical Properties Characterization of Colloidal GdPO4:Mn2+, Eu3+ for High Sensitivity Luminescent Nanothermometers Operating in the Physiological Temperature Range. Nanomaterials 2020, 10, 421. https://doi.org/10.3390/nano10030421
Maciejewska K, Poźniak B, Tikhomirov M, Kobylińska A, Marciniak Ł. Synthesis, Cytotoxicity Assessment and Optical Properties Characterization of Colloidal GdPO4:Mn2+, Eu3+ for High Sensitivity Luminescent Nanothermometers Operating in the Physiological Temperature Range. Nanomaterials. 2020; 10(3):421. https://doi.org/10.3390/nano10030421
Chicago/Turabian StyleMaciejewska, Kamila, Blazej Poźniak, Marta Tikhomirov, Adrianna Kobylińska, and Łukasz Marciniak. 2020. "Synthesis, Cytotoxicity Assessment and Optical Properties Characterization of Colloidal GdPO4:Mn2+, Eu3+ for High Sensitivity Luminescent Nanothermometers Operating in the Physiological Temperature Range" Nanomaterials 10, no. 3: 421. https://doi.org/10.3390/nano10030421
APA StyleMaciejewska, K., Poźniak, B., Tikhomirov, M., Kobylińska, A., & Marciniak, Ł. (2020). Synthesis, Cytotoxicity Assessment and Optical Properties Characterization of Colloidal GdPO4:Mn2+, Eu3+ for High Sensitivity Luminescent Nanothermometers Operating in the Physiological Temperature Range. Nanomaterials, 10(3), 421. https://doi.org/10.3390/nano10030421

