LiAl5O8:Fe3+ and LiAl5O8:Fe3+, Nd3+ as a New Luminescent Nanothermometer Operating in 1st Biological Optical Window
Abstract
1. Introduction
2. Materials and Methods
2.1. Synthesis of Fe3+-Doped LiAl5O8
2.2. Synthesis of Fe3+, Nd3+ -Co-Doped LiAl5O8
2.3. Characterization
2.4. Cytotoxicity Assessment
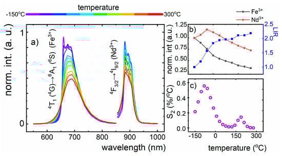
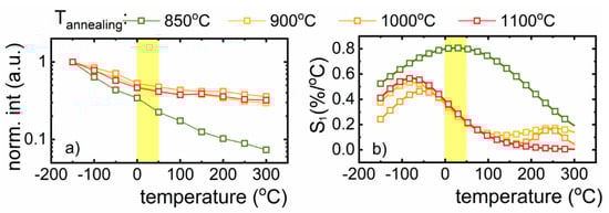
3. Results
4. Conclusions
Supplementary Materials
Author Contributions
Funding
Acknowledgments
Conflicts of Interest
References
- Wang, S.; Westcott, S.; Chen, W. Nanoparticle luminescence thermometry. J. Phys. Chem. B 2002, 106, 11203–11209. [Google Scholar] [CrossRef]
- Jaque, D.; Jacinto, C. Luminescent nanoprobes for thermal bio-sensing: Towards controlled photo-thermal therapies. J. Lumin. 2016, 169, 394–399. [Google Scholar] [CrossRef]
- Jaque, D.; Vetrone, F. Luminescence nanothermometry. Nanoscale 2012, 4, 4301. [Google Scholar] [CrossRef] [PubMed]
- Rocha, U.; Jacinto Da Silva, C.; Ferreira Silva, W.; Guedes, I.; Benayas, A.; Martínez Maestro, L.; Acosta Elias, M.; Bovero, E.; Van Veggel, F.C.J.M.; García Solé, J.A.; et al. Subtissue thermal sensing based on neodymium-doped LaF3 nanoparticles. ACS Nano 2013, 7, 1188–1199. [Google Scholar] [CrossRef] [PubMed]
- Marciniak, L.; Bednarkiewicz, A. Nanocrystalline NIR-to-NIR luminescent thermometer based on Cr3+,Yb3+ emission. Sens. Actuators B Chem. 2017, 243, 388–393. [Google Scholar] [CrossRef]
- Kniec, K.; Marciniak, L. Spectroscopic properties of LaGaO3:V, Nd3+ nanocrystals as a potential luminescent thermometer. Phys. Chem. Chem. Phys. 2018, 20, 21598–21606. [Google Scholar] [CrossRef]
- Marciniak, L.; Bednarkiewicz, A.; Kowalska, D.; Strek, W. A new generation of highly sensitive luminescent thermometers operating in the optical window of biological tissues. J. Mater. Chem. C 2016, 4, 5559–5563. [Google Scholar] [CrossRef]
- Li, F.; Cai, J.; Chi, F.F.; Chen, Y.; Duan, C.; Yin, M. Investigation of luminescence from LuAG: Mn4+for physiological temperature sensing. Opt. Mater. (Amst.) 2017, 66, 447–452. [Google Scholar] [CrossRef]
- Kobylinska, A.; Kniec, K.; Maciejewska, K.; Marciniak, L. The influence of dopant concentration and grain size on the ability for temperature sensing using nanocrystalline MgAl2O4:Co2+, Nd3+ luminescent thermometers. New J. Chem. 2019. [Google Scholar] [CrossRef]
- Matuszewska, C.; Elzbieciak-Piecka, K.; Marciniak, L. Transition Metal Ion-Based Nanocrystalline Luminescent Thermometry in SrTiO3:Ni2+,Er3+ Nanocrystals Operating in the Second Optical Window of Biological Tissues. J. Phys. Chem. C 2019. [Google Scholar] [CrossRef]
- Chen, D.; Liu, S.; Xu, W.; Li, X. Yb3+/Ln3+/Cr3+ (Ln = Er, Ho) doped transparent glass ceramics: Crystallization, Ln3+ sensitized Cr3+ upconverting emission and multi-modal temperature sensing. J. Mater. Chem. C 2017, 5, 11769–11780. [Google Scholar] [CrossRef]
- Chen, D.; Xu, W.; Yuan, S.; Li, X.; Zhong, J. Ln3+ -Sensitized Mn4+ near-infrared upconverting luminescence and dual-modal temperature sensing. J. Mater. Chem. C 2017, 5, 9619–9628. [Google Scholar] [CrossRef]
- Kniec, K.; Marciniak, L. The influence of grain size and vanadium concentration on the spectroscopic properties of YAG:V3+,V5+ and YAG: V, Ln3+ (Ln3+ = Eu3+, Dy3+, Nd3+) nanocrystalline luminescent thermometers. Sens. Actuators B Chem. 2018. [Google Scholar] [CrossRef]
- Drabik, J.; Cichy, B.; Marciniak, L. New Type of Nanocrystalline Luminescent Thermometers Based on Ti3+/Ti4+and Ti4+/Ln3+(Ln3+ = Nd3+, Eu3+, Dy3+) Luminescence Intensity Ratio. J. Phys. Chem. C 2018, 122, 14928–14936. [Google Scholar] [CrossRef]
- Marciniak, L.; Bednarkiewicz, A.; Drabik, J.; Trejgis, K.; Strek, W. Optimization of highly sensitive YAG:Cr3+, Nd3+ nanocrystal-based luminescent thermometer operating in an optical window of biological tissues. Phys. Chem. Chem. Phys. 2017, 19, 7343–7351. [Google Scholar] [CrossRef]
- Trejgis, K.; Marciniak, L. The influence of manganese concentration on the sensitivity of bandshape and lifetime luminescent thermometers based on Y3Al5O12:Mn3+, Mn4+, Nd3+ nanocrystals. Phys. Chem. Chem. Phys. 2018, 20, 9574–9581. [Google Scholar] [CrossRef]
- Elzbieciak, K.; Bednarkiewicz, A.; Marciniak, L. Temperature sensitivity modulation through crystal field engineering in Ga3+ co-doped Gd3Al5-xGaxO12:Cr3+, Nd3+ nanothermometers. Sens. Actuators B Chem. 2018. [Google Scholar] [CrossRef]
- Marciniak, L.; Trejgis, K. Luminescence lifetime thermometry with Mn3+–Mn4+co-doped nanocrystals. J. Mater. Chem. C 2018, 6, 7092–7100. [Google Scholar] [CrossRef]
- Elzbieciak, K.; Marciniak, L. The Impact of Cr3+ Doping on Temperature Sensitivity Modulation in Cr3+ Doped and Cr3+, Nd3+ Co-doped Y3Al5O12, Y3Al2Ga3O12, and Y3Ga5O12 Nanothermometers. Front. Chem. 2018, 6. [Google Scholar] [CrossRef]
- Drabik, J.; Marciniak, L. The influence of Eu3+ concentration on the spectroscopic properties of YAG:Ti, Eu3+ nanocrystalline luminescent thermometer. J. Lumin. 2019, 208, 213–217. [Google Scholar] [CrossRef]
- Huízar-Félix, A.M.; Hernández, T.; de la Parra, S.; Ibarra, J.; Kharisov, B. Sol-gel based Pechini method synthesis and characterization of Sm1−xCaxFeO3 perovskite 0.1 ≤ x ≤ 0.5. Powder Technol. 2012, 229, 290–293. [Google Scholar]
- Miyata, R.; van Eeden, S.F. The innate and adaptive immune response induced by alveolar macrophages exposed to ambient particulate matter. Toxicol. Appl. Pharmacol. 2011, 257, 209–226. [Google Scholar] [CrossRef]
- Fischer, H.C.; Hauck, T.S.; Gómez-Aristizábal, A.; Chan, W.C.W. Exploring Primary Liver Macrophages for Studying Quantum Dot Interactions with Biological Systems. Adv. Mater. 2010, 22, 2520–2524. [Google Scholar] [CrossRef]
- Geurtsen, W.; Lehmann, F.; Spahl, W.; Leyhausen, G. Cytotoxicity of 35 dental resin composite monomers/additives in permanent 3T3 and three human primary fibroblast cultures. J. Biomed. Mater. Res. 1998, 41, 474–480. [Google Scholar] [CrossRef]
- Bhatia, S.K.; Yetter, A.B. Correlation of visual in vitro cytotoxicity ratings of biomaterials with quantitative in vitro cell viability measurements. Cell Biol. Toxicol. 2008, 24, 315–319. [Google Scholar] [CrossRef]
- Pott, G.T.; McNicol, B.D. Zero-Phonon Transition and Fine Structure in the Phosphorescence of Fe3+ Ions in Ordered and Disordered LiAl5O8. J. Chem. Phys. 1972, 56, 5246–5254. [Google Scholar] [CrossRef]
- Vaida, M.; Avram, C.N. Exchange Charge Model for Fe3+:LiAl5O8. Acta Phys. Pol. Ser. A 2009, 116, 541–543. [Google Scholar] [CrossRef]
- Kobayashi, R.; Tamura, H.; Kamada, Y.; Kakihana, M.; Matsushima, Y. A New Host Compound of Aluminum Lithium Fluoride Oxide for Deep Red Phosphors based on Mn4+, Fe3+ and Cr3+. ECS Trans. 2019, 88, 225–236. [Google Scholar] [CrossRef]
- Melamed, N.T.; Viccaro, P.J.; There, K. The fluorescence of Fe3+ in ordered and disordered phases of LiAl5O8. J. Lumin. 1970, 2, 348–367. [Google Scholar] [CrossRef]
- Jeffe, P.M. The Cathodoluminescence Spectra and Coordination of Mn2+, Fe3+, and Cr3+ in βLiAI5O8. J. Electrochem. Soc. 1969, 115, 1203–1205. [Google Scholar] [CrossRef]
- Palumbo, D.T.; Division, M. Electronic States of Fe3+ In LiAlO2 and LiAl5O8 phosphors. J. Lumin. 1971, 4, 89–97. [Google Scholar] [CrossRef]
- Abritta, T.; de Souza Barros, F.; Melamed, N.T. Luminescence of Fe3+ in single crystals of LiAl5O8. J. Lumin. 1985, 33, 141–146. [Google Scholar] [CrossRef]
- Teeguarden, J.G.; Hinderliter, P.M.; Orr, G.; Thrall, B.D.; Pounds, J.G. Particokinetics in vitro: Dosimetry considerations for in vitro nanoparticle toxicity assessments. Toxicol. Sci. 2007. [Google Scholar] [CrossRef]
- Pązik, R.; Zięcina, A.; Zachanowicz, E.; Małecka, M.; Poźniak, B.; Miller, J.; Śniadecki, Z.; Pierunek, N.; Idzikowski, B.; Mrówczyńka, L.; et al. Synthesis, Structural Features, Cytotoxicity, and Magnetic Properties of Colloidal Ferrite Spinel Co1−xNixFe2O4 (0.1 ≤ x ≤ 0.9) Nanoparticles. Eur. J. Inorg. Chem. 2015, 2015, 4750–4760. [Google Scholar]
- Pott, G.T.; McNicol, B.D. The phosphorescence of Fe3+ ions in oxide host lattices. Zero-phonon transitions in Fe3+/LiAl5O8. Chem. Phys. Lett. 1971, 12, 62–64. [Google Scholar] [CrossRef]
- Marciniak, L.; Prorok, K.; Bednarkiewicz, A. Size dependent sensitivity of Yb3+,Er3+ up-converting luminescent nano-thermometers. J. Mater. Chem. C 2017, 5, 7890–7897. [Google Scholar] [CrossRef]






© 2020 by the authors. Licensee MDPI, Basel, Switzerland. This article is an open access article distributed under the terms and conditions of the Creative Commons Attribution (CC BY) license (http://creativecommons.org/licenses/by/4.0/).
Share and Cite
Kniec, K.; Tikhomirov, M.; Pozniak, B.; Ledwa, K.; Marciniak, L. LiAl5O8:Fe3+ and LiAl5O8:Fe3+, Nd3+ as a New Luminescent Nanothermometer Operating in 1st Biological Optical Window. Nanomaterials 2020, 10, 189. https://doi.org/10.3390/nano10020189
Kniec K, Tikhomirov M, Pozniak B, Ledwa K, Marciniak L. LiAl5O8:Fe3+ and LiAl5O8:Fe3+, Nd3+ as a New Luminescent Nanothermometer Operating in 1st Biological Optical Window. Nanomaterials. 2020; 10(2):189. https://doi.org/10.3390/nano10020189
Chicago/Turabian StyleKniec, Karolina, Marta Tikhomirov, Blazej Pozniak, Karolina Ledwa, and Lukasz Marciniak. 2020. "LiAl5O8:Fe3+ and LiAl5O8:Fe3+, Nd3+ as a New Luminescent Nanothermometer Operating in 1st Biological Optical Window" Nanomaterials 10, no. 2: 189. https://doi.org/10.3390/nano10020189
APA StyleKniec, K., Tikhomirov, M., Pozniak, B., Ledwa, K., & Marciniak, L. (2020). LiAl5O8:Fe3+ and LiAl5O8:Fe3+, Nd3+ as a New Luminescent Nanothermometer Operating in 1st Biological Optical Window. Nanomaterials, 10(2), 189. https://doi.org/10.3390/nano10020189

