Magnetotransport Properties of Ferromagnetic Nanoparticles in a Semiconductor Matrix Studied by Precise Size-Selective Cluster Ion Beam Deposition
Abstract
1. Introduction
2. Materials and Methods
3. Results
3.1. Magnetoresistance of Co-Deposited Fe-Ge Nanocomposite Films
3.1.1. Low Field Magnetoresistance
3.1.2. High Field Magnetoresistance
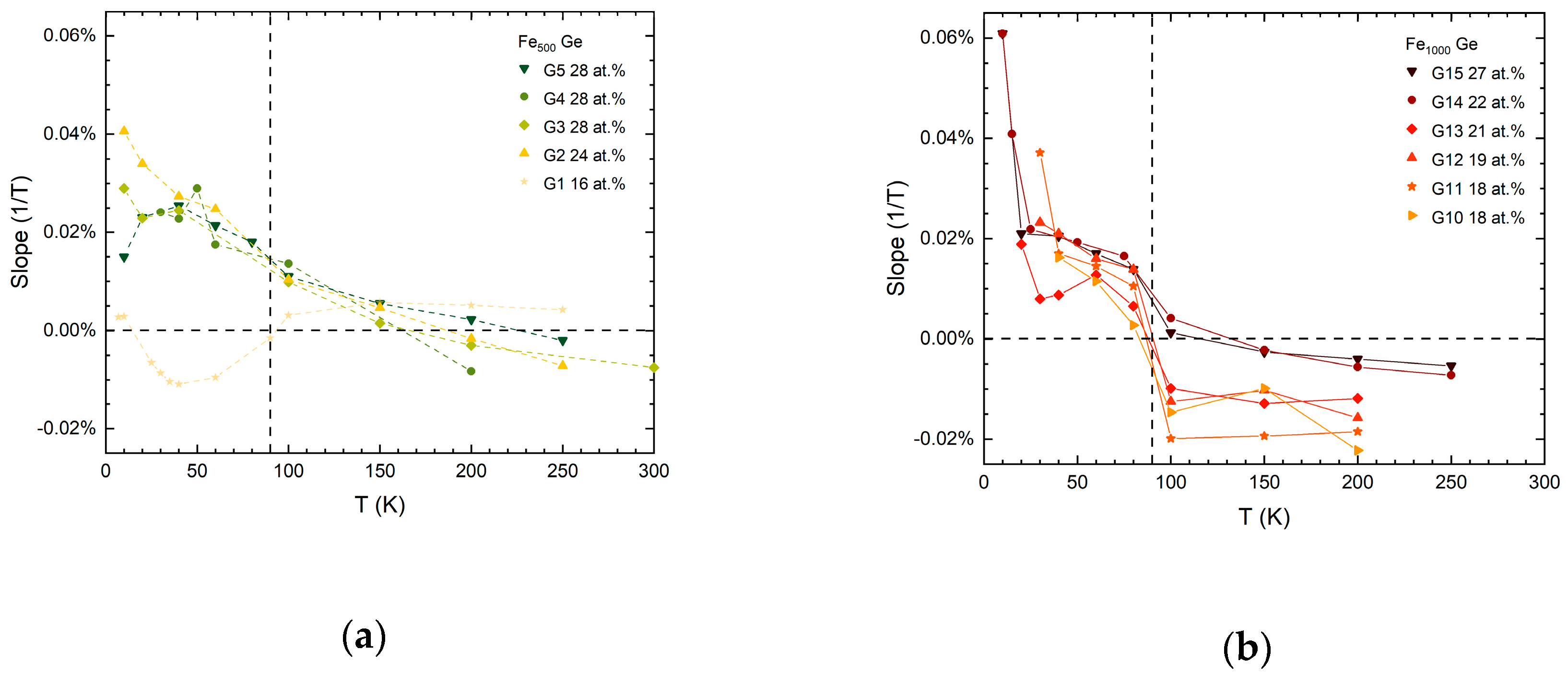
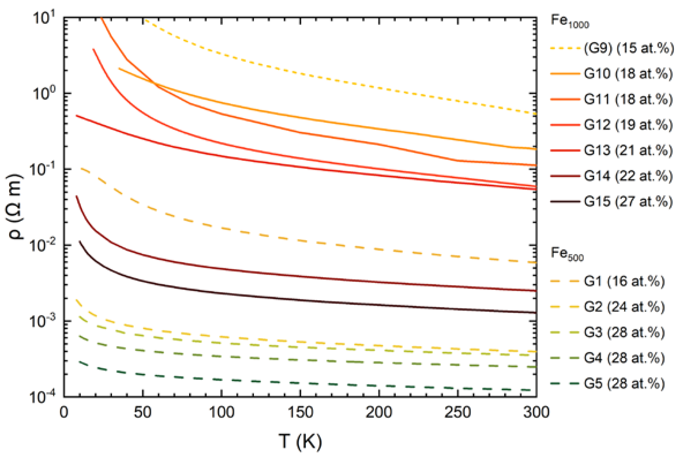
3.2. Resistivity of Co-Deposited Fe-Ge Nanocomposite Films
3.3. Properties Related to the Superparamagnetic Nanoparticles
3.3.1. Analysis of Fe1000 TEM Grid Samples
3.3.2. Magnetization Measurements
3.3.3. Percolation in Fe-Ge Nanocomposite Films
4. Discussion
4.1. Tunneling in Fe-Ge Nanocomposites
4.1.1. Approximation as Single Barrier Junction
4.2. Correlation between Resistivity, Tunneling Magnetoresistance and Mean Particle Separation
4.3. Influence of the A-Ge Matrix on Tunneling and Field-Dependent Magnetoresistance Components
4.3.1. The Dampening Effect of Transport via Matrix States
4.3.2. Field-Dependent Magnetoresistance Effects
5. Conclusions
Author Contributions
Funding
Acknowledgments
Conflicts of Interest
Appendix A. Calculation of the Mean Particle Separation
Appendix B. Magnetoresistance for Different Orientations of the Magnetic Field

References
- Chappert, C.; Fert, A.; Van Dau, F.N. The emergence of spin electronics in data storage. Nat. Mater. 2007, 6, 813–823. [Google Scholar] [CrossRef] [PubMed]
- Fert, A.; Van Dau, F.N. Spintronics, from giant magnetoresistance to magnetic skyrmions and topological insulators. Comptes. Rendus. Phys. 2019, 20, 817–831. [Google Scholar] [CrossRef]
- Baibich, M.N.; Broto, J.M.; Fert, A.; Van Dau, F.N.; Petroff, F.; Etienne, P.; Creuzet, G.; Friederich, A.; Chazelas, J. Giant Magnetoresistance of (001)Fe/(001)Cr Magnetic Superlattices. Phys. Rev. Lett. 1988, 61, 2472–2475. [Google Scholar] [CrossRef] [PubMed]
- Binasch, G.; Grünberg, P.; Saurenbach, F.; Zinn, W. Enhanced magnetoresistance in layered magnetic structures with antiferromagnetic interlayer exchange. Phys. Rev. B 1989, 39, 4828–4830. [Google Scholar] [CrossRef]
- Berkowitz, A.E.; Mitchell, J.R.; Carey, M.J.; Young, A.P.; Zhang, S.; Spada, F.E.; Parker, F.T.; Hutten, A.; Thomas, G. Giant magnetoresistance in heterogeneous Cu-Co alloys. Phys. Rev. Lett. 1992, 68, 3745–3748. [Google Scholar] [CrossRef] [PubMed]
- Xiao, J.Q.; Jiang, J.S.; Chien, C.L. Giant magnetoresistance in the granular Co-Ag system. Phys. Rev. B 1992, 46, 9266–9269. [Google Scholar] [CrossRef]
- Dietl, T. A ten-year perspective on dilute magnetic semiconductors and oxides. Nat. Mater. 2010, 9, 965–974. [Google Scholar] [CrossRef]
- Jamet, M.; Barski, A.; Devillers, T.; Poydenot, V.; Dujardin, R.; Bayle-Guillemaud, P.; Rothman, J.; Bellet-Amalric, E.; Marty, A.; Cibert, J.; et al. High-Curie-temperature ferromagnetism in self-organized Ge1−xMnx nanocolumns. Nat. Mater. 2006, 5, 653–659. [Google Scholar] [CrossRef]
- Yu, S.S.; Anh, T.T.L.; Ihm, Y.; Kim, D.; Kim, H.; Hong, S.-K.; Kim, C.-S.; Ryu, H. Magnetic and Magnetotransport Properties of Annealed Amorphous Ge1−xMnx Semiconductor Thin Films. In Proceedings of the 2007 2nd IEEE International Conference on Nano/Micro Engineered and Molecular Systems, Bangkok, Thailand, 16–19 January 2007; pp. 618–621. [Google Scholar]
- Sugahara, S.; Lee, K.L.; Yada, S.; Tanaka, M. Precipitation of Amorphous Ferromagnetic Semiconductor Phase in Epitaxially Grown Mn-Doped Ge Thin Films. Jpn. J. Appl. Phys. 2005, 44, L1426–L1429. [Google Scholar] [CrossRef]
- Potzger, K.; Zhou, S.; Reuther, H.; Mücklich, A.; Eichhorn, F.; Schell, N.; Skorupa, W.; Helm, M.; Fassbender, J.; Herrmannsdörfer, T.; et al. Fe implanted ferromagnetic ZnO. Appl. Phys. Lett. 2006, 88, 052508. [Google Scholar] [CrossRef]
- Zhou, S.; Potzger, K.; Talut, G.; Reuther, H.; von Borany, J.; Grötzschel, R.; Skorupa, W.; Helm, M.; Fassbender, J.; Volbers, N.; et al. Fe-implanted ZnO: Magnetic precipitates versus dilution. J. Appl. Phys. 2008, 103, 023902. [Google Scholar] [CrossRef]
- Fedorchenko, I.V.; Aronov, A.N.; Marenkin, S.F.; Simonenko, N.P.; Boeva, N.M.; Kochura, A.V.; Lahderanta, E. Phase diagram of the ZnSnAs2–MnAs system. J. Alloys Compd. 2015, 626, 9–15. [Google Scholar] [CrossRef]
- Fedorchenko, I.V.; Kilanski, L.; Zakharchuk, I.; Geydt, P.; Lahderanta, E.; Vasilyev, P.N.; Simonenko, N.P.; Aronov, A.N.; Dobrowolski, W.; Marenkin, S.F. Composites based on self-assembled MnAs ferromagnet nanoclusters embedded in ZnSnAs2 semiconductor. J. Alloys Compd. 2015, 650, 277–284. [Google Scholar] [CrossRef]
- Myagkov, V.G.; Tambasov, I.A.; Bayukov, O.A.; Zhigalov, V.S.; Bykova, L.E.; Mikhlin, Y.L.; Volochaev, M.N.; Bondarenko, G.N. Solid state synthesis and characterization of ferromagnetic nanocomposite Fe–In2O3 thin films. J. Alloys Compd. 2014, 612, 189–194. [Google Scholar] [CrossRef]
- Liu, W.; Zhang, H.; Shi, J.; Wang, Z.; Song, C.; Wang, X.; Lu, S.; Zhou, X.; Gu, L.; Louzguine-Luzgin, D.V.; et al. A room-temperature magnetic semiconductor from a ferromagnetic metallic glass. Nat. Commun. 2016, 7, 13497. [Google Scholar] [CrossRef]
- Chen, N.; Fang, K.; Zhang, H.; Zhang, Y.; Liu, W.; Yao, K.; Zhang, Z. Amorphous magnetic semiconductors with Curie temperatures above room temperature. J. Semicond. 2019, 40, 081510. [Google Scholar] [CrossRef]
- Chen, L.; Yang, X.; Yang, F.; Zhao, J.; Misuraca, J.; Xiong, P.; von Molnár, S. Enhancing the Curie Temperature of Ferromagnetic Semiconductor (Ga,Mn)As to 200 K via Nanostructure Engineering. Nano Lett. 2011, 11, 2584–2589. [Google Scholar] [CrossRef]
- Hai, P.N.; Ohya, S.; Tanaka, M. Long spin-relaxation time in a single metal nanoparticle. Nat. Nanotech. 2010, 5, 593–596. [Google Scholar] [CrossRef]
- Temple, R.C.; McLaren, M.; Brydson, R.M.D.; Hickey, B.J.; Marrows, C.H. Long spin lifetime and large barrier polarisation in single electron transport through a CoFe nanoparticle. Sci. Rep. 2016, 6, 28296. [Google Scholar] [CrossRef] [PubMed]
- Yakushiji, K.; Ernult, F.; Imamura, H.; Yamane, K.; Mitani, S.; Takanashi, K.; Takahashi, S.; Maekawa, S.; Fujimori, H. Enhanced spin accumulation and novel magnetotransport in nanoparticles. Nat. Mater. 2004, 4, 57–61. [Google Scholar] [CrossRef]
- Julliere, M. Tunneling between ferromagnetic films. Phys. Lett. A 1975, 54, 225–226. [Google Scholar] [CrossRef]
- Fujimori, H.; Mitani, S.; Ohnuma, S. Tunnel-type GMR in metal-nonmetal granular alloy thin films. Mat. Sci. Eng. B 1995, 31, 219–223. [Google Scholar] [CrossRef]
- Hirohata, A.; Takanashi, K. Future perspectives for spintronic devices. J. Phys. D Appl. Phys. 2014, 47. [Google Scholar] [CrossRef]
- Gingrich, E.C.; Niedzielski, B.M.; Glick, J.A.; Wang, Y.; Miller, D.L.; Loloee, R.; Pratt, W.P., Jr.; Birge, N.O. Controllable 0–π Josephson junctions containing a ferromagnetic spin valve. Nat. Phys. 2016, 12, 564–567. [Google Scholar] [CrossRef]
- Weides, M.; Kemmler, M.; Kohlstedt, H.; Waser, R.; Koelle, D.; Kleiner, R.; Goldobin, E. 0−π Josephson Tunnel Junctions with Ferromagnetic Barrier. Phys. Rev. Lett. 2006, 97, 247001. [Google Scholar] [CrossRef]
- Schneider, M.L.; Donnelly, C.A.; Russek, S.E.; Baek, B.; Pufall, M.R.; Hopkins, P.F.; Dresselhaus, P.D.; Benz, S.P.; Rippard, W.H. Ultralow power artificial synapses using nanotextured magnetic Josephson junctions. Sci. Adv. 2018, 4, e1701329. [Google Scholar] [CrossRef]
- Ioffe, L.B.; Geshkenbein, V.B.; Feigel’man, M.V.; Fauchère, A.L.; Blatter, G. Environmentally decoupled sds -wave Josephson junctions for quantum computing. Nature 1999, 398, 679–681. [Google Scholar] [CrossRef]
- Yamashita, T.; Tanikawa, K.; Takahashi, S.; Maekawa, S. Superconducting π Qubit with a Ferromagnetic Josephson Junction. Phys. Rev. Lett. 2005, 95, 097001. [Google Scholar] [CrossRef]
- Lutsev, L.V.; Stognij, A.I.; Novitskii, N.N. Giant magnetoresistance in semiconductor/granular film heterostructures with cobalt nanoparticles. Phys. Rev. B 2009, 80, 184423. [Google Scholar] [CrossRef]
- Lutsev, L.V.; Shelukhin, L.A.; Stognij, A.I.; Novitskii, N.N. Relaxation processes of the light-induced giant injection magnetoresistance in semiconductor/granular-film heterostructures with cobalt nanoparticles. Phys. Rev. B 2019, 99, 134433. [Google Scholar] [CrossRef]
- Takiguchi, K.; Anh, L.D.; Chiba, T.; Koyama, T.; Chiba, D.; Tanaka, M. Giant gate-controlled proximity magnetoresistance in semiconductor-based ferromagnetic–non-magnetic bilayers. Nat. Phys. 2019, 15, 1134–1139. [Google Scholar] [CrossRef]
- Benel, C.; Reisinger, T.; Kruk, R.; Hahn, H. Cluster-Assembled Nanocomposites: Functional Properties by Design. Adv. Mater. 2018, 1806634. [Google Scholar] [CrossRef]
- Jamet, M.; Wernsdorfer, W.; Thirion, C.; Mailly, D.; Dupuis, V.; Mélinon, P.; Pérez, A. Magnetic Anisotropy of a Single Cobalt Nanocluster. Phys. Rev. Lett. 2001, 86, 4676–4679. [Google Scholar] [CrossRef] [PubMed]
- Oyarzún, S.; Domingues Tavares de Sa, A.; Tuaillon-Combes, J.; Tamion, A.; Hillion, A.; Boisron, O.; Mosset, A.; Pellarin, M.; Dupuis, V.; Hillenkamp, M. Giant magnetoresistance in cluster-assembled nanostructures: On the influence of inter-particle interactions. J. Nanopart. Res. 2013, 15, 1968. [Google Scholar] [CrossRef]
- Marenkin, S.F.; Izotov, A.D.; Fedorchenko, I.V.; Novotortsev, V.M. Manufacture of magnetic granular structures in semiconductor-ferromagnet systems. Russ. J. Inorg. Chem. 2015, 60, 295–300. [Google Scholar] [CrossRef]
- Batlle, X.; Labarta, A. Finite-size effects in fine particles: Magnetic and transport properties. J. Phys. D Appl. Phys. 2002, 35, R15–R42. [Google Scholar] [CrossRef]
- Holdenried, M.; Hackenbroich, B.; Micklitz, H. Systematic studies of tunneling magnetoresistance in granular films made from well-defined Co clusters. J. Magn. Magn. Mater. 2001, 231, 13–19. [Google Scholar] [CrossRef]
- Fischer, A.S. Crystalline and Amorphous Cluster-Assembled Nano-Materials, Synthesized with a Novel Cluster Deposition System. Ph.D. Thesis, TU Darmstadt, Darmstadt, Germany, October 2015. [Google Scholar]
- Fischer, A.; Kruk, R.; Wang, D.; Hahn, H. Magnetic properties of iron cluster/chromium matrix nanocomposites. Beilstein. J. Nanotechnol. 2015, 6, 1158–1163. [Google Scholar] [CrossRef]
- Fischer, A.; Kruk, R.; Hahn, H. A versatile apparatus for the fine-tuned synthesis of cluster-based materials. Rev. Sci. Instrum. 2015, 86, 023304. [Google Scholar] [CrossRef]
- Haberland, H.; Mall, M.; Moseler, M.; Qiang, Y.; Reiners, T.; Thurner, Y. Filling of micron-sized contact holes with copper by energetic cluster impact. J. Vac. Sci. Technol. A 1994, 12, 2925–2930. [Google Scholar] [CrossRef]
- Khare, C.; Gerlach, J.W.; Weise, M.; Bauer, J.; Höche, T.; Rauschenbach, B. Growth temperature altered morphology of Ge nanocolumns. Phys. Status Solidi 2011, 208, 851–856. [Google Scholar] [CrossRef]
- Walley, P.A.; Jonscher, A.K. Electrical conduction in amorphous germanium. Thin Solid Films 1968, 1, 367–377. [Google Scholar] [CrossRef]
- Mehra, R.M.; Shyam, R.; Mathur, P.C. Magnetoresistance in amorphous semiconductors. Thin Solid Films 1983, 100, 81–110. [Google Scholar] [CrossRef]
- Padhi, P.C.; Tripathi, G.S.; Misra, P.K. Theory of Magneto Resistance of Amorphous Semiconductors. Int. J. Mod. Phys. B 2009, 23, 4579–4587. [Google Scholar] [CrossRef]
- Mell, H.; Stuke, J. Negative magnetoresistance of amorphous semiconductors. J. Non-Cryst. Solids 1970, 4, 304–310. [Google Scholar] [CrossRef]
- Coey, J.M.D. Magnetism and Magnetic Materials; Cambridge University Press: Cambridge, UK, 2010; ISBN 978-0-521-81614-4. [Google Scholar]
- Westerstrand, B.; Nordblad, P.; Nordborg, L. The Magnetocrystalline Anisotropy Constants of Iron and Iron-silicon Alloys. Phys. Scr. 1975, 11, 383–386. [Google Scholar] [CrossRef]
- Grimaldi, C. Theory of percolation and tunneling regimes in nanogranular metal films. Phys. Rev. B 2014, 89, 214201. [Google Scholar] [CrossRef]
- Abeles, B.; Sheng, P.; Coutts, M.D.; Arie, Y. Structural and electrical properties of granular metal films. Adv. Phys. 1975, 24, 407–461. [Google Scholar] [CrossRef]
- Kubelík, I.; Tříska, A. The temperature dependence of the electrical conductivity in amorphous germanium. Czech J. Phys. 1972, 22, 506–511. [Google Scholar] [CrossRef]
- Sheng, P. Feature article: Electronic transport in granular metal films †. Philos. Mag. B 1992, 65, 357–384. [Google Scholar] [CrossRef]
- Scher, H.; Zallen, R. Critical Density in Percolation Processes. J. Chem. Phys. 1970, 53, 3759–3761. [Google Scholar] [CrossRef]
- Balberg, I. Tunnelling and percolation in lattices and the continuum. J. Phys. D Appl. Phys. 2009, 42, 064003. [Google Scholar] [CrossRef]
- Sheng, P. Fluctuation-induced tunneling conduction in disordered materials. Phys. Rev. B 1980, 21, 2180–2195. [Google Scholar] [CrossRef]
- Mott, N.F. Conduction in non-crystalline materials. Localized states in a pseudogap and near extremities of conduction and valence bands. Philos. Mag. 1969, 19, 835–852. [Google Scholar] [CrossRef]
- Gibson, G.A.; Meservey, R. Properties of amorphous germanium tunnel barriers. J. Appl. Phys. 1985, 58, 1584–1596. [Google Scholar] [CrossRef]
- Hauser, J.J.; Staudinger, A. Electrical and Structural Properties of Amorphous Germanium. Phys. Rev. B 1973, 8, 607–615. [Google Scholar] [CrossRef]
- Morgan, M.; Walley, P.A. Localized conduction processes in amorphous germanium. Philos. Mag. 1971, 23, 661–671. [Google Scholar] [CrossRef]
- Richter, H.; Breitling, G. Struktur des amorphen Germaniums und Siliciums. Z. für Nat. A 1958, 13. [Google Scholar] [CrossRef]
- Rockett, A. The Materials Science of Semiconductors; Springer: New York, NY, USA, 2008; ISBN 978-0-387-25653-5. [Google Scholar]
- Mitani, S.; Fujimori, H.; Ohnuma, S. Spin-dependent tunneling phenomena in insulating granular systems. J. Magn. Magn. Mater. 1997, 165, 141–148. [Google Scholar] [CrossRef]
- Sheng, P.; Abeles, B.; Arie, Y. Hopping Conductivity in Granular Metals. Phys. Rev. Lett. 1973, 31, 44–47. [Google Scholar] [CrossRef]
- Sze, S.M.; Ng, K.K. Physics of Semiconductor Devices, 3rd ed.; Wiley-Interscience: Hoboken, NJ, USA, 2007; ISBN 978-0-471-14323-9. [Google Scholar]
- Ashcroft, N.W.; Mermin, N.D. Festkörperphysik—4. verb. Aufl.; Oldenbourg: München, Germany, 2013; ISBN 978-3-486-71301-5. [Google Scholar]
- Simmons, J.G. Generalized Formula for the Electric Tunnel Effect between Similar Electrodes Separated by a Thin Insulating Film. J. Appl. Phys. 1963, 34, 1793–1803. [Google Scholar] [CrossRef]
- Simmons, J.G. Low-Voltage Current-Voltage Relationship of Tunnel Junctions. J. Appl. Phys. 1963, 34, 238–239. [Google Scholar] [CrossRef]
- Stratton, R. Volt-current characteristics for tunneling through insulating films. J. Phys. Chem. Solids 1962, 23, 1177–1190. [Google Scholar] [CrossRef]
- Simmons, J.G. Generalized Thermal J-V Characteristic for the Electric Tunnel Effect. J. Appl. Phys. 1964, 35, 2655–2658. [Google Scholar] [CrossRef]
- Schelp, L.F.; Fert, A.; Fettar, F.; Holody, P.; Lee, S.F.; Maurice, J.L.; Petroff, F.; Vaurès, A. Spin-dependent tunneling with Coulomb blockade. Phys. Rev. B 1997, 56, R5747–R5750. [Google Scholar] [CrossRef]
- Meservey, R.; Tedrow, P.M. Spin-polarized electron tunneling. Phys. Rep. 1994, 238, 173–243. [Google Scholar] [CrossRef]
- Soulen, R.J., Jr. Measuring the Spin Polarization of a Metal with a Superconducting Point Contact. Science 1998, 282, 85–88. [Google Scholar] [CrossRef]
- Venugopal, R.; Sundaravel, B.; Cheung, W.Y.; Wilson, I.H.; Wang, F.W.; Zhang, X.X. Magnetic properties of nanoclusters formed by implantation of Fe into Ge using a metal-vapor vacuum arc ion source. Phys. Rev. B 2001, 65, 014418. [Google Scholar] [CrossRef]
- Venugopal, R.; Sundaravel, B.; Wilson, I.H.; Wang, F.W.; Zhang, X.X. Structural and magnetic properties of Fe–Ge layer produced by Fe ion-implantation into germanium. J. Appl. Phys. 2002, 91, 1410–1416. [Google Scholar] [CrossRef]
- Kubelík, I.; Tříska, A. Two types of magnetoresistance in amorphous germanium. Czech J. Phys. 1973, 23, 123–129. [Google Scholar] [CrossRef]
- Kubelík, I.; Tříska, A. Magnetoresistance in amorphous germanium. Czech J. Phys. 1973, 23, 115–122. [Google Scholar] [CrossRef]
- Gerber, A.; Kishon, I.; Korenblit, I.Y.; Riss, O.; Segal, A.; Karpovski, M.; Raquet, B. Linear Positive Magnetoresistance and Quantum Interference in Ferromagnetic Metals. Phys. Rev. Lett. 2007, 99, 027201. [Google Scholar] [CrossRef] [PubMed]
- Phillips, J.C. Fermi Surface of Ferromagnetic Nickel. Phys. Rev. 1964, 133, A1020–A1028. [Google Scholar] [CrossRef]
- Yu, T.; Chen, P. Abnormal Resistance and Magnetoresistance Temperature Dependence in Fe-Semiconductor Granular Films. IEEE Trans. Magn. 2011, 47, 3467–3469. [Google Scholar] [CrossRef]
- Wiser, N. Phenomenological theory of the giant magnetoresistance of superparamagnetic particles. J. Magn. Magn. Mater. 1996, 159, 119–124. [Google Scholar] [CrossRef]
- Hickey, B.J.; Howson, M.A.; Musa, S.O.; Wiser, N. Giant magnetoresistance for superparamagnetic particles: Melt-spun granular CuCo. Phys. Rev. B 1995, 51, 667–669. [Google Scholar] [CrossRef]
- Péter, L.; Rolik, Z.; Kiss, L.F.; Tóth, J.; Weihnacht, V.; Schneider, C.M.; Bakonyi, I. Temperature dependence of giant magnetoresistance and magnetic properties in electrodeposited Co-Cu/Cu multilayers: The role of superparamagnetic regions. Phys. Rev. B 2006, 73, 174410. [Google Scholar] [CrossRef]
- Bakonyi, I.; Péter, L.; Rolik, Z.; Kiss-Szabó, K.; Kupay, Z.; Tóth, J.; Kiss, L.F.; Pádár, J. Decomposition of the magnetoresistance of multilayers into ferromagnetic and superparamagnetic contributions. Phys. Rev. B 2004, 70, 054427. [Google Scholar] [CrossRef]

















| Parameter Cluster | (nm) | (sccm) | (mbar) | (W) | (K) | (V) | (T) | (pA) |
|---|---|---|---|---|---|---|---|---|
| Fe500 | 2.2 | 100/300 | 2.3 | 45 | 100 | +400 | 0.97 | 115 |
| Fe1000 | 2.8 | 125/110 | 1.9 | 70 | 100 | +400 | 1.36 | 100 |
| Sample ID Fe500 Ge | () | () | at () | () | at () |
|---|---|---|---|---|---|
| G1 | 16 | 232 | 1.6 × 10−2 | 1.9 | −0.16 |
| G2 | 24 | 120 | 6.2× 10−4 | 1.3 | −0.11 |
| G3 | 28 | 130 | 5.1× 10−4 | 1.1 | −0.09 |
| G4 | 28 | 121 | 3.4× 10−4 | 1.1 | −0.04 |
| G5 | 28 | 17 | 1.7× 10−4 | 1.1 | −0.03 |
| (G6) | 35 | 102 | 9.5× 10−5 | 0.8 | 0 |
| (G7) | 41 | 52 | 5.2× 10−5 | 0.6 | 0 |
| (G8) | 42 | 68 | 6.5× 10−5 | 0.6 | 0 |
| Fe1000 Ge | |||||
| (G9) | 15 | 197 | 3.3 × 100 | 2.5 | 0 |
| G10 | 18 | 523 | 7.4 × 10−1 | 2.1 | −0.29 |
| G11 | 18 | 340 | 5.3 × 10-1 | 2.1 | −0.31 |
| G12 | 19 | 148 | 2.2 × 10−1 | 2.0 | −0.25 |
| G13 | 21 | 255 | 1.5 × 10−1 | 1.9 | −0.21 |
| G14 | 22 | 167 | 4.9 × 10−3 | 1.7 | −0.15 |
| G15 | 27 | 234 | 2.3 × 10−3 | 1.4 | −0.16 |
| (G16) | 76 | 70 | 4.6 × 10−5 | 0 1 | 0 |
| (G17) | 83 | 36 | 1.9 × 10−5 | 0 1 | 0 |
Publisher’s Note: MDPI stays neutral with regard to jurisdictional claims in published maps and institutional affiliations. |
© 2020 by the authors. Licensee MDPI, Basel, Switzerland. This article is an open access article distributed under the terms and conditions of the Creative Commons Attribution (CC BY) license (http://creativecommons.org/licenses/by/4.0/).
Share and Cite
Gack, N.; Iankevich, G.; Benel, C.; Kruk, R.; Wang, D.; Hahn, H.; Reisinger, T. Magnetotransport Properties of Ferromagnetic Nanoparticles in a Semiconductor Matrix Studied by Precise Size-Selective Cluster Ion Beam Deposition. Nanomaterials 2020, 10, 2192. https://doi.org/10.3390/nano10112192
Gack N, Iankevich G, Benel C, Kruk R, Wang D, Hahn H, Reisinger T. Magnetotransport Properties of Ferromagnetic Nanoparticles in a Semiconductor Matrix Studied by Precise Size-Selective Cluster Ion Beam Deposition. Nanomaterials. 2020; 10(11):2192. https://doi.org/10.3390/nano10112192
Chicago/Turabian StyleGack, Nicolas, Gleb Iankevich, Cahit Benel, Robert Kruk, Di Wang, Horst Hahn, and Thomas Reisinger. 2020. "Magnetotransport Properties of Ferromagnetic Nanoparticles in a Semiconductor Matrix Studied by Precise Size-Selective Cluster Ion Beam Deposition" Nanomaterials 10, no. 11: 2192. https://doi.org/10.3390/nano10112192
APA StyleGack, N., Iankevich, G., Benel, C., Kruk, R., Wang, D., Hahn, H., & Reisinger, T. (2020). Magnetotransport Properties of Ferromagnetic Nanoparticles in a Semiconductor Matrix Studied by Precise Size-Selective Cluster Ion Beam Deposition. Nanomaterials, 10(11), 2192. https://doi.org/10.3390/nano10112192

