Formulative Study and Characterization of Novel Biomaterials Based on Chitosan/Hydrolyzed Collagen Films
Abstract
1. Introduction
2. Materials and Methods
2.1. Materials
2.2. Methods
2.2.1. Preparation of Cs/HC Films
2.2.2. Characterization of Cs/HC Films
Solid-State Characterization
Morphological Characterization
Mechanical Properties
Hydration Properties
2.2.3. Full Factorial Experimental Design
2.2.4. Microscopic Analysis
2.2.5. In Vitro Biocompatibility Measurements
2.2.6. Statistical Analysis
3. Results and Discussion
3.1. Characterization of Cs/HC Films
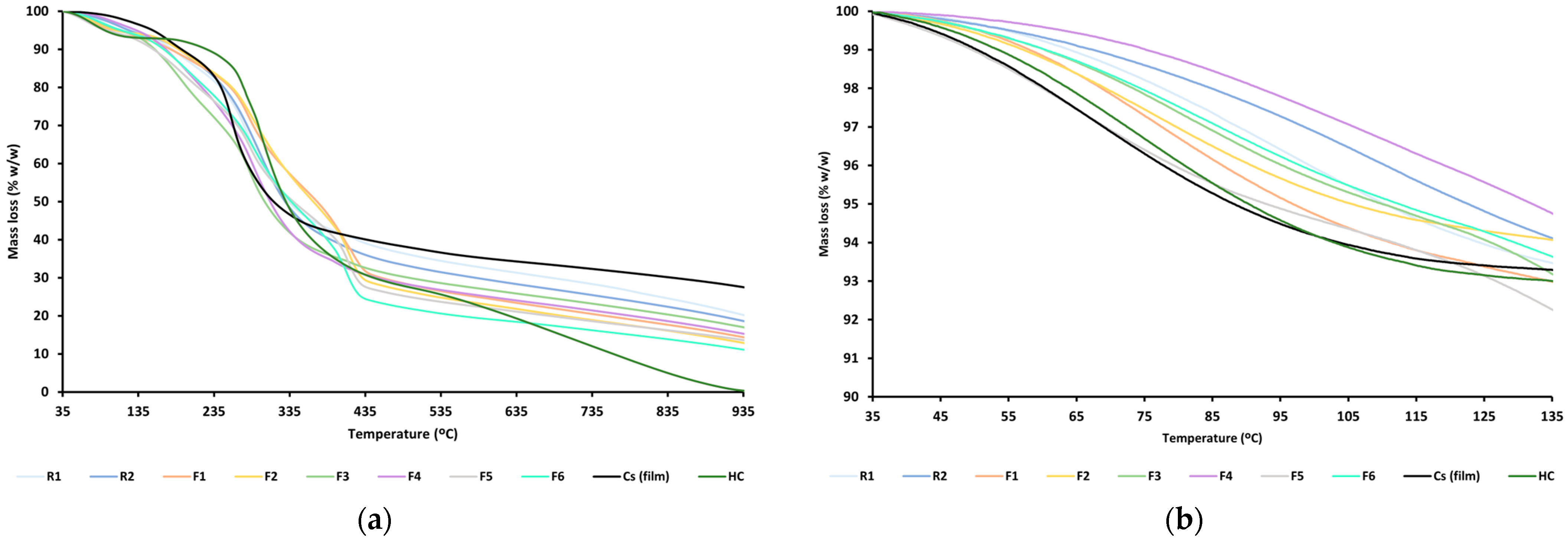
3.1.1. Solid-State Characterizations
3.1.2. Morphological Characterization
3.1.3. Mechanical Properties
3.1.4. Hydration Properties
3.2. Full Factorial Experimental Design
3.3. Microscopic Analysis
3.4. In Vitro Biocompatibility Measurements
4. Conclusions
Author Contributions
Funding
Data Availability Statement
Conflicts of Interest
References
- Raziyeva, K.; Kim, Y.; Zharkinbekov, Z.; Kassymbek, K.; Jimi, S.; Saparov, A. Inmunology of Acute and Chronic Wound Healing. Biomolecules 2021, 11, 700. [Google Scholar] [CrossRef]
- Morton, L.M.; Phillips, T.J. Wound healing and treating wounds. Differential diagnosis and evaluation of chronic wounds. J. Am. Acad. Dermatol. 2016, 74, 589–605. [Google Scholar] [CrossRef]
- Hesketh, M.; Sahin, K.B.; West, Z.E.; Murray, R.Z. Macrophage Phenotypes Regulate Scar Formation and Chronic Wound Healing. Int. J. Mol. Sci. 2017, 18, 1545. [Google Scholar] [CrossRef]
- Sim, S.S.; Kumari, S.; Kaur, S.; Khosrotehrani, K. Macrophages in Skin Wounds: Functions and Therapeutic Potential. Biomolecules 2022, 12, 1659. [Google Scholar] [CrossRef]
- Martin, P.; Nunan, R. Cellular and molecular mechanisms of repair in acute and chronic wound healing. Br. J. Dermatol. 2015, 173, 370–378. [Google Scholar] [CrossRef]
- Las Heras, K.; Igartua, M.; Santos-Vizcaíno, E.; Hernández, R.M. Chronic wounds: Current status, available strategies and emerging therapeutic solutions. J. Control. Release 2020, 328, 532–550. [Google Scholar] [CrossRef]
- Okonkwo, U.A.; DiPietro, L.A. Diabetes and Wound Angiogenesis. Int. J. Mol. Sci. 2017, 18, 1419. [Google Scholar] [CrossRef]
- Wilkinson, H.N.; Hardman, M.J. Wound healing: Cellular mechanisms and pathological outcomes. Open Biol. 2020, 10, 200223. [Google Scholar] [CrossRef]
- Olsson, M.; Järbrink, K.; Divakar, U.; Bapjai, R.; Upton, Z.; Schmidtchen, A.; Car, J. The humanistic and economic burden of chronic wounds: A systematic review. Wound Repair Regen. 2019, 27, 114–125. [Google Scholar] [CrossRef]
- Lindholm, C.; Searle, R. Wound management for the 21st century: Combining effectiveness and efficacy. Int. Wound J. 2016, 13, 5–15. [Google Scholar] [CrossRef]
- Long, L.; Liu, W.; Hu, C.; Yang, L.; Wang, Y. Construction of multifunctional wound dressings with their application in chronic wound treatment. Biomater. Sci. 2022, 10, 4058. [Google Scholar] [CrossRef]
- Pîrvănescu, H.; Bălăşoiu, M.; Ciurea, M.E.; Bălăşoiu, A.T.; Mănescu, R. Wound infections with multidrug resistant bacteria. Chirurgia 2014, 109, 73–79. [Google Scholar]
- Peng, W.; Li, D.; Dai, K.; Wang, Y.; Song, P.; Li, H.; Tang, P.; Zhang, Z.; Li, Z.; Zhou, Y.; et al. Recent progress of collagen, chitosan, alginate and other hydrogels in skin repair and wound dressing applications. Int. J. Biol. Macromol. 2022, 208, 400–408. [Google Scholar] [CrossRef]
- Blanco-Fernández, B.; Castaño, O.; Mateos-Timoneda, M.A.; Engel, E.; Pérez-Amodio, S. Nanotechnology Approaches in Chronic Wound Healing. Adv. Wound Care (New Rochelle) 2021, 10, 234–256. [Google Scholar] [CrossRef] [PubMed]
- Oliveira, C.; Sousa, D.; Teixeira, J.A.; Ferreira-Santos, P.; Botelho, C.M. Polymeric biomaterials for wound healing. Front. Bioeng. Biotechnol. 2023, 11, 1136077. [Google Scholar] [CrossRef]
- Karki, S.; Kim, H.; Na, S.J.; Shin, D.; Jo, K.; Lee, J. Thin films as an emerging platform for drug delivery. Asian J. Pharm. 2016, 11, 559–574. [Google Scholar] [CrossRef]
- Flórez, M.; Cazón, P.; Vázquez, M. Selected Biopolymers’ Processing and Their Applications: A Review. Polymers 2023, 15, 641. [Google Scholar] [CrossRef]
- Borbolla-Jiménez, F.V.; Peña-Corona, S.I.; Farah, S.J.; Jiménez-Valdés, M.T.; Pineda-Pérez, E.; Romero-Montero, A.; Del Prado-Audelo, M.L.; Bernal-Chávez, S.A.; Magaña, J.J.; Leyva-Gómez, G. Films for Wound Healing Fabricated Using a Solvent Casting Technique. Pharmaceutics 2023, 15, 1914. [Google Scholar] [CrossRef] [PubMed]
- Koochaki, A.; Shahgholi, M.; Mohammad Sajadi, S.; Babadi, E.; Inc, M. Investigation of the mechanical stability of polyethylene glycol hydrogel reinforced with cellulose nanofibrils for wound healing: Molecular dynamics simulation. Eng. Anal. Bound. Elem. 2023, 151, 1–7. [Google Scholar] [CrossRef]
- Aranaz, I.; Alcántara, A.R.; Civera, M.C.; Arias, C.; Elorza, B.; Heras-Caballero, A.; Acosta, N. Chitosan: An Overview of Its Properties and Applications. Polymers 2021, 13, 3256. [Google Scholar] [CrossRef] [PubMed]
- Cheung, R.C.F.; Ng, T.B.; Wong, J.H.; Chan, W.Y. Chitosan: An Update on Potential Biomedical and Pharmaceutical Applications. Mar. Drugs 2015, 13, 5156–5186. [Google Scholar] [CrossRef]
- Matica, M.A.; Aachmann, F.L.; Tøndervik, A.; Sletta, H.; Ostafe, V. Chitosan as a Wound Dressing Starting Material: Antimicrobial Properties and Mode of Action. Int. J. Mol. Sci. 2019, 20, 5889. [Google Scholar] [CrossRef]
- Zhang, S.; Li, J.; Li, J.; Du, N.; Li, D.; Li, F.; Man, J. Application status and technical analysis of chitosan based medical dressing: A review. RSC Adv. 2020, 10, 34308. [Google Scholar] [CrossRef]
- Suyatma, N.E.; Tighzert, L.; Copinet, A.; Coma, V. Effects of hydrophilic plasticizers on mechanical, thermal, and surface properties of chitosan films. J. Agric. Food Chem. 2005, 53, 3950–3957. [Google Scholar] [CrossRef] [PubMed]
- Sibilla, S.; Godfrey, M.; Brewer, S.; Budh-Raja, A.; Genovese, L. An Overview o f the Beneficial Effects of Hydrolysed Collagen as a Nutraceutical on Skin Properties: Scientific Background and Clinical Studies. Open Neutraceuticals J. 2015, 8, 29–42. [Google Scholar] [CrossRef]
- López-León, A.; Morales-Peñazola, A.; Martínez-Juárez, V.M.; Vargas-Torres, A.; Zeugolis, D.I.; Aguirre-Álvarez, G. Hydrolyzed Collagen Sources and Applications. Molecules 2019, 24, 4031. [Google Scholar] [CrossRef] [PubMed]
- Mathew-Steiner, S.S.; Roy, S.; Sen, C.K. Collagen in Wound Healing. Bioengineering 2021, 8, 63. [Google Scholar] [CrossRef]
- Ramadass, S.K.; Perumal, S.; Gopinath, A.; Nisal, A.; Subramanian, S.; Madhan, B. Sol Gel Assisted Fabrication of Collagen Hydrolysate Composite Scaffold: A Novel Therapeutic Alternative to the Traditional Collagen Scaffold. ACS Appl. Mater. Interfaces 2014, 6, 15015–15025. [Google Scholar] [CrossRef]
- Ouyang, Q.Q.; Hu, Z.; Lin, Z.P.; Quan, W.Y.; Deng, Y.F.; Li, S.D.; Li, P.W.; Chen, Y. Chitosan hydrogel in combination with marine peptides from tilapia for burns healing. Int. J. Biol. Macromol. 2018, 112, 11911198. [Google Scholar] [CrossRef]
- Ramadass, S.K.; Nazir, L.S.; Thangam, R.; Perumal, R.K.; Manjubala, I.; Madhan, B.; Seetharaman, S. Type I collagen peptides and nitric oxide releasing electrospun silk fibroin scaffold: A multifunctional approach for the treatment of ischemic chronic wounds. Colloid Surf. B 2019, 175, 636–643. [Google Scholar] [CrossRef]
- Tenci, M.; Rossi, S.; Aguzzi, C.; Carazo, E.; Sandri, G.; Bonferoni, M.C.; Grisoli, P.; Viseras, C.; Caramella, C.M.; Ferrari, F. Carvacrol/clay hybrids loaded into in situ gelling films. Int. J. Pharm. 2017, 531, 676–688. [Google Scholar] [CrossRef]
- Grisoli, P.; De Vita, L.; Milanese, C.; Taglietti, A.; Diaz Fernandez, Y.; Bouzin, M.; D’Alfonso, L.; Sironi, L.; Rossi, S.; Vigani, B.; et al. PVA films with mixed silver nanoparticles and gold nanostars for intrinsic and photothermal antibacterial action. Nanomaterials 2021, 11, 1387. [Google Scholar] [CrossRef]
- Leceta, I.; Guerrero, P.; Ibarburu, I.; Dueñas, M.T.; de la Caba, K. Characterization and antimicrobial analysis of chitosan based films. J. Food Eng. 2013, 116, 889–899. [Google Scholar] [CrossRef]
- Osman, Z.; Arof, A.K. FTIR studies of chitosan acetate based polymer electrolytes. Electrochim. Acta 2003, 48, 993–999. [Google Scholar] [CrossRef]
- Mincheva, R.; Manolova, N.; Sabov, R.; Kjurkchiev, G.; Rashkov, I. Hydrogels form chitosan crosslinked with poly(ethylene-glycol) diacid as bone regeneration materials. E Polymers 2004, 4, 058. [Google Scholar] [CrossRef]
- Kumar, S.; Koh, J.; Kim, H.; Gupta, M.K.; Dutta, P.K. A new chitosan thymine conjugate: Synthesis, characterization and biological activity. Int. J. Biol. Macromol. 2012, 50, 493–502. [Google Scholar] [CrossRef] [PubMed]
- Sande, M.G.; Roque, L.; Braga, A.; Marques, M.; Ferreira, D.; Saragliadis, A.; Rodrigues, J.L.; Linke, D.; Ramada, D.; Silva, C.; et al. Design of new hydrolyzed collagen modified magnetic nanoparticles to capture pathogens. J. Biomed. Mater. Res. Part B Appl. Biomater. 2023, 111, 354–365. [Google Scholar] [CrossRef] [PubMed]
- Senra, M.R.; Marques, M.F.V. Thermal and mechanical behavior of ultra-high molecular weight polyethylene/collagen blends. J. Mech. Behav. Biomed. Mater. 2020, 103, 103577. [Google Scholar]
- Chotphruethipong, L.; Sukketsiri, W.; Battino, M.; Benjakul, S. Conjugate between hydrolyzed collagen from defatted seabass skin and epigallocatechin gallate (EGCG): Characteristics, antioxidant activity and in vitro cellular bioactivity. RSC Adv. 2021, 11, 2175–2184. [Google Scholar] [CrossRef] [PubMed]
- Marroquin, J.B.; Rhee, K.Y.; Park, S.J. Chitosan nanocomposite films: Enhanced electrical conductivity, thermal stability, and mechanical properties. Carbohydr. Polym. 2013, 92, 1783–1791. [Google Scholar] [CrossRef] [PubMed]
- Moussout, H.; Ahlafi, H.; Aazza, M.; Bourakhouadar, M. Kinetics and mechanism of the thermal degradation of biopolymers chitin and chitosan using thermogravimetric analysis. Polym. Degrad. Stab. 2016, 130, 1–9. [Google Scholar] [CrossRef]
- Corazzari, I.; Nisticò, R.; Turci, F.; Faga, M.; Franzoso, F.; Tabasso, S.; Magnacca, G. Advanced physico chemical characterization of chitosan by means of TGA coupled on line with FTIR and GCMS: Thermal degradation and water adsorption capacity. Polym. Degrad. Stab. 2015, 112, 1–9. [Google Scholar] [CrossRef]
- Sadeghi, M.; Hosseinzadeh, H. Synthesis and properties of collagen g poly(sodium acrylate co 2hydroxyethylacrylate) superabsorbent hydrogels. Braz. J. Chem. Eng. 2013, 30, 279–389. [Google Scholar] [CrossRef]
- Cavallaro, G.; Lazzara, G.; Milioto, S. Dispersions of nanoclays of different shapes into aqueous and solid biopolymeric matrices. Extended physicochemical study. Langmuir 2011, 27, 1158–1167. [Google Scholar] [CrossRef]
- Ibrahim, Y.H.-E.Y.; Regdon, G.; Kristó, K.; Kelemen, A.; Adam, M.E.; Hamedelniel, E.I.; Sovány, T. Design and characterization of chitosan/citrate films as carrier for oral macromolecule delivery. Eur. J. Pharm. Sci. 2020, 146, 105270. [Google Scholar] [CrossRef]
- Sun, Y.; Liu, Z.; Zhang, L.; Wang, X.; Li, L. Effects of plasticizer type and concentration on rheological, physico-chemical and structural properties of chitosan/zein film. Int. J. Biol. Macromol. 2019, 143, 334–340. [Google Scholar] [CrossRef]
- Silver, F.H. Wound Dressings and Skin Replacement. In Biomaterials, Medical Devices and Tissue Engineering: An Integrated Approach; Silver, F.H., Ed.; Springer: Dordrecht, The Netherlands, 1994; pp. 46–91. [Google Scholar]
- Patricia Miranda, S.; Garnica, O.; Lara-Sagahon, V.; Cárdenas, G. Water vapor permeability and mechanical properties of chitosan composite films. J. Chil. Chem. Soc. 2004, 49, 173–178. [Google Scholar] [CrossRef]
- Caicedo, C.; Díaz-Cruz, C.A.; Jiménez-Regalado, E.J.; Aguirre-Loredo, R.Y. Effect of Plasticizer Content on Mechanical and Water Vapor Permeability of Maize/PVOH/Chitosan Composite Films. Materials 2022, 15, 1274. [Google Scholar] [CrossRef]
- Atkin, L. Chronic wounds: The challenges of appropiate management. Br. J. Community Nurs. 2019, 24, S26–S32. [Google Scholar] [CrossRef] [PubMed]
- DiMartino, A.; Drunnikov, A.; Surgutskaia, N.S.; Ozaltin, K.; Postnikov, P.S.; Marina, T.E.; Sedlarik, V. Chitosan-collagen based film for controlled delivery of a combination of short life anesthetics. Int. J. Biol. Macromol. 2019, 140, 1183–1193. [Google Scholar] [CrossRef] [PubMed]
- Andonegi, M.; Las Heras, K.; Santos-Vizcaíno, E.; Igartua, M.; Hernández, R.M.; de la Caba, K.; Guerrero, P. Structure-properties relationship of chitosan/collagen films with potential for biomedical applications. Carbohydr. Polym. 2020, 237, 116159. [Google Scholar] [CrossRef]
- Perez-Puyana, V.; Jiménez-Rosado, M.; Romero, A.; Guerrero, A. Crosslinking of hybrid scaffolds produced from collagen and chitosan. Int. J. Biol. Macromol. 2019, 139, 262–269. [Google Scholar] [CrossRef]
- Vieira, M.G.A.; da Silva, M.A.; dos Santos, L.O.; Beppa, M.M. Natural based plasticizers and biopolymer films: A review. Eur. Polym. J. 2011, 47, 254–263. [Google Scholar] [CrossRef]








| Film | Cs (% w/v) | HC (% w/v) | PEG-1500 (g) | GLY (g) |
|---|---|---|---|---|
| R1 | 1 | 1 | - | - |
| R2 | 1 | 2 | - | - |
| F1 | 1 | 1 | 0.4 | - |
| F2 | 1 | 2 | 0.6 | - |
| F3 | 1 | 1 | - | 0.4 |
| F4 | 1 | 2 | - | 0.6 |
| F5 | 1 | 1 | 0.4 | 0.4 |
| F6 | 1 | 2 | 0.6 | 0.6 |
| Films | Factors (Coded Levels) | |||||
|---|---|---|---|---|---|---|
| A: HC (% w/v) | B: GLY (g) | C: PEG1500 (g) | ||||
| R1 | 1 | (−1) | - | (−1) | - | (−1) |
| R2 | 2 | (1) | - | (−1) | - | (−1) |
| F1 | 1 | (−1) | - | (−1) | 0.4 | (1) |
| F2 | 2 | (1) | - | (−1) | 0.6 | (1) |
| F3 | 1 | (−1) | 0.4 | (1) | - | (−1) |
| F4 | 2 | (1) | 0.6 | (1) | - | (−1) |
| F5 | 1 | (−1) | 0.4 | (1) | 0.4 | (1) |
| F6 | 2 | (1) | 0.6 | (1) | 0.6 | (1) |
| Film | Residual Masses (% w/w) | Water Content (% w/w) | Total Degradation (% w/w) | |
|---|---|---|---|---|
| 135 °C | 935 °C | |||
| R1 | 93.47 | 19.77 | 6.53 | 73.68 |
| R2 | 94.11 | 18.32 | 5.89 | 75.79 |
| F1 | 92.98 | 14.09 | 7.02 | 78.89 |
| F2 | 94.06 | 12.63 | 5.94 | 81.43 |
| F3 | 93.16 | 16.76 | 6.84 | 76.4 |
| F4 | 94.74 | 15.06 | 5.26 | 76.68 |
| F5 | 92.23 | 13.37 | 7.77 | 78.86 |
| F6 | 93.61 | 10.87 | 6.39 | 82.74 |
| Cs | 96.52 | 27.31 | 3.48 | 69.21 |
| HC | 93 | 0.23 | 7 | 92.77 |
| Films | Thickness (μm) | Weight (mg) |
|---|---|---|
| R1 | 81.17 ± 9.85 | 197.83 ± 3.51 |
| R2 | 126.83 ± 16.96 | 278.16 ± 2.12 |
| F1 | 98.17 ± 11.49 | 241.32 ± 5.41 |
| F2 | 152 ± 13.05 | 351.48 ± 5.63 |
| F3 | 86.67 ± 12.34 | 217.08 ± 2.14 |
| F4 | 123 ± 10.53 | 333.6 ± 4.84 |
| F5 | 99.17 ± 8.20 | 274.13 ± 7.64 |
| F6 | 146 ± 11.41 | 396.4 ± 6.31 |
| Films | TS (MPa) | EAB (%) |
|---|---|---|
| R1 | 26.86 ± 2.83 | 102.04 ± 0.17 |
| R2 | 26.42 ± 5.01 | 102.45 ± 1.27 |
| F1 | 31.65 ± 1.45 | 107.27 ± 2.89 |
| F2 | 16.30 ± 2.19 | 103.04 ± 0.96 |
| F3 | 28.45 ± 3.95 | 164.91 ± 6.41 |
| F4 | 16.82 ± 0.86 | 169.53 ± 23.02 |
| F5 | 14.61 ± 3.75 | 149.93 ± 17.62 |
| F6 | 19.91 ± 3.79 | 139.24 ± 6.41 |
| Films | Swelling Capacity (%) | Contact Angle (°) |
|---|---|---|
| (Mean Values ± s.d.; n = 3) | (Mean Values ± s.d.; n = 6) | |
| R1 | 83.67 ± 0.26 | 80.4 ± 0.9 |
| R2 | 83.9 ± 0.56 | 80.5 ± 2.2 |
| F1 | 82.09 ± 1.35 | 74.4 ± 2.1 |
| F2 | 85.06 ± 1.35 | 66.4 ± 5.1 |
| F3 | 80.62 ± 0.53 | 66.2 ± 8.1 |
| F4 | 84.01 ± 0.71 | 73.4 ± 4.6 |
| F5 | 84.41 ± 0.51 | 65.2 ± 2.5 |
| F6 | 85.92 ± 0.62 | 70.8 ± 2.2 |
| EAB (%) | Swelling Capacity (%) | |||
|---|---|---|---|---|
| Estimated Effect | p-Value | Estimated Effect | p-Value | |
| A: HC | −2.47 | 0.5925 | 2.02 | 0.0002 |
| B: GLY | 52.2 | 0.0000 | 0.06 | 0.8892 |
| C: PEG1500 | −9.87 | 0.0454 | 1.32 | 0.0059 |
| AB | −0.57 | 0.9021 | 0.43 | 0.3129 |
| AC | −4.98 | 0.2872 | 0.21 | 0.6147 |
| BC | −12.77 | 0.0128 | 1.53 | 0.0021 |
Disclaimer/Publisher’s Note: The statements, opinions and data contained in all publications are solely those of the individual author(s) and contributor(s) and not of MDPI and/or the editor(s). MDPI and/or the editor(s) disclaim responsibility for any injury to people or property resulting from any ideas, methods, instructions or products referred to in the content. |
© 2024 by the authors. Licensee MDPI, Basel, Switzerland. This article is an open access article distributed under the terms and conditions of the Creative Commons Attribution (CC BY) license (https://creativecommons.org/licenses/by/4.0/).
Share and Cite
Martínez Rodríguez, T.; Valentino, C.; Rodríguez Pozo, F.R.; Hernández Benavides, P.; Arrebola Vargas, F.; Paredes, J.M.; Sainz-Díaz, C.I.; Iglesias, G.R.; Rossi, S.; Sandri, G.; et al. Formulative Study and Characterization of Novel Biomaterials Based on Chitosan/Hydrolyzed Collagen Films. J. Funct. Biomater. 2024, 15, 69. https://doi.org/10.3390/jfb15030069
Martínez Rodríguez T, Valentino C, Rodríguez Pozo FR, Hernández Benavides P, Arrebola Vargas F, Paredes JM, Sainz-Díaz CI, Iglesias GR, Rossi S, Sandri G, et al. Formulative Study and Characterization of Novel Biomaterials Based on Chitosan/Hydrolyzed Collagen Films. Journal of Functional Biomaterials. 2024; 15(3):69. https://doi.org/10.3390/jfb15030069
Chicago/Turabian StyleMartínez Rodríguez, Tomás, Caterina Valentino, Francisco Ramón Rodríguez Pozo, Pablo Hernández Benavides, Francisco Arrebola Vargas, José Manuel Paredes, Claro Ignacio Sainz-Díaz, Guillermo R. Iglesias, Silvia Rossi, Giuseppina Sandri, and et al. 2024. "Formulative Study and Characterization of Novel Biomaterials Based on Chitosan/Hydrolyzed Collagen Films" Journal of Functional Biomaterials 15, no. 3: 69. https://doi.org/10.3390/jfb15030069
APA StyleMartínez Rodríguez, T., Valentino, C., Rodríguez Pozo, F. R., Hernández Benavides, P., Arrebola Vargas, F., Paredes, J. M., Sainz-Díaz, C. I., Iglesias, G. R., Rossi, S., Sandri, G., Medina Pérez, M. d. M., & Aguzzi, C. (2024). Formulative Study and Characterization of Novel Biomaterials Based on Chitosan/Hydrolyzed Collagen Films. Journal of Functional Biomaterials, 15(3), 69. https://doi.org/10.3390/jfb15030069

