Develop Control Architectures to Enhance Soft Actuator Motion and Force
Abstract
1. Introduction
2. Materials and Methods
2.1. Actuator
2.2. Material Identification
Modelling by Using FEM
2.3. Sensory Feedback
2.3.1. Bending Sensor
2.3.2. Bending Sensor Calibration
2.3.3. Force Sensor
2.3.4. Pressure Sensor
2.3.5. Pneumatic Circuit
3. Results
3.1. Control Methodology
3.1.1. Internal Pressure Control Using Fast-Response Valves
3.1.2. Cascaded Control Loop
3.1.3. Switching Control
3.1.4. PID Tuning Parameters
- Tuning PID parameter by using Z-N Method;The first method used to find the parameters of the PID controller is the ZN tuning method, which is a closed-loop control method based on determining the maximum system gain period for stability. To minimize errors, the integral coefficient has been provided gradually. To avoid fluctuation, the differential coefficient has been given a value; all initial values are in tables from which one can extract the coefficients’ initial values.
- Tuning parameter by using Genetic Algorism (GA);A genetic algorithm is one of the new methods used to determine the parameters of PID. This process can be done by forcing a set of numbers for the parameters and comparing them to change the error rate if it improves or worsens. Through this process, a colossal group of numbers can be tested until they get the best three numbers for them and the lowest value of the average error that occurs. It helps the controller have a faster and more stable response time.
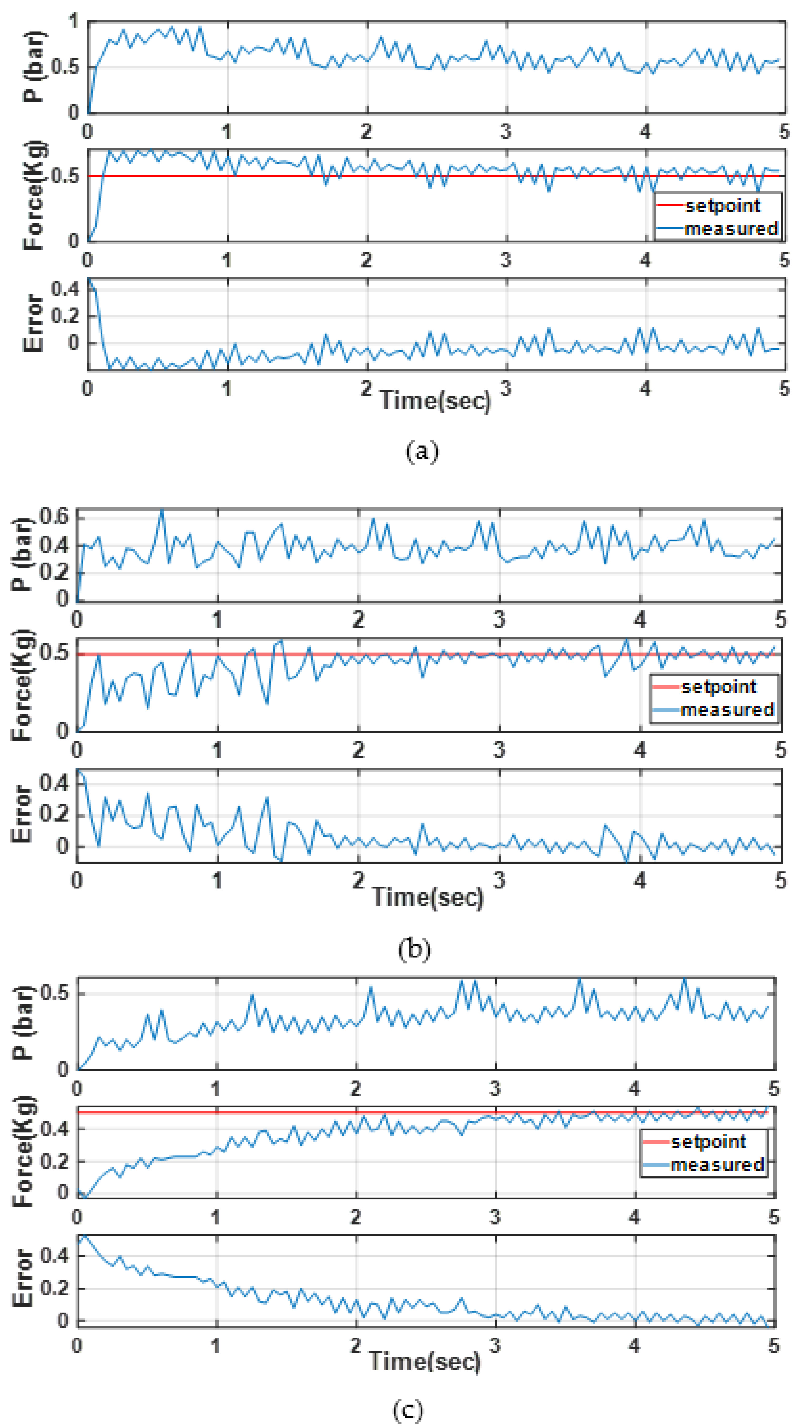
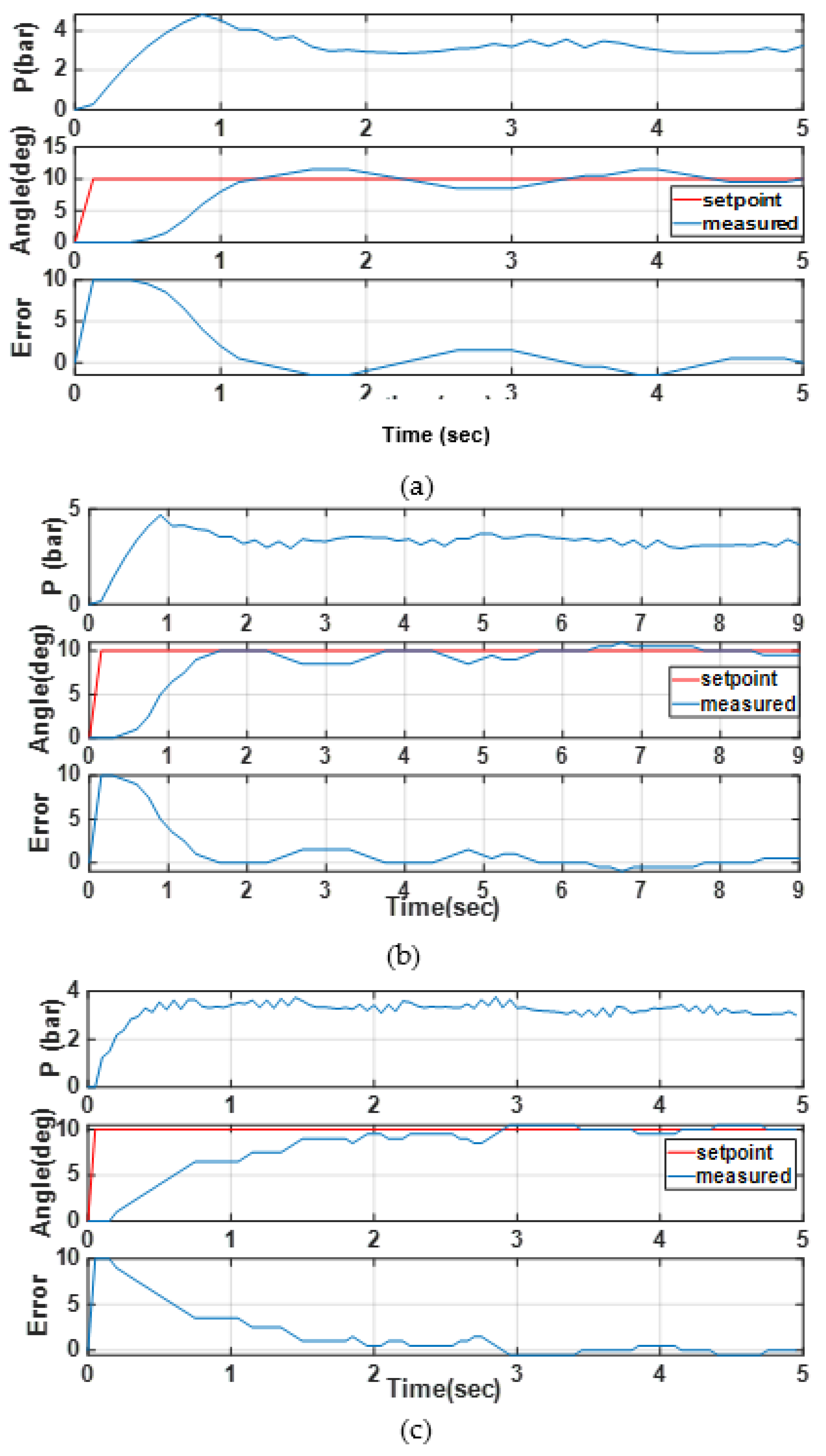
- Tuning parameter by using Particle Swarm Optimization (PSO);In 1995, Kennedy and Eberhart introduced the particle crowd optimization (PSO) method. It is an optimization technique and a kind of evolutionary computation technique [24,25].In this method, the initial values have been assumed of the microcontroller user’s PID coefficients, and for each number, evaluation fitness can be calculated and compared to those with the other values to reach the least mean square error possible until the values have been found. These values are called P-best. When using the GA-based PID controllers, the performance also improves slightly. Different performance indices give different results. These are shown in Table 2. Comparison between the control outputs of the cascaded controller using three different methods for tuning the parameters of PID: 1-ZN Method, 2-Generic algorism, and 3-Particle swarm optimization, as shown in Figure 11.
3.2. Critical Analysis and Discussion
4. Conclusions
Author Contributions
Funding
Institutional Review Board Statement
Informed Consent Statement
Conflicts of Interest
References
- Mahdi Haghshenas-Jaryani, R.M.P.; Nicoleta Bugnariu, P.T.; Muthu, B.J. A pilot study on the design and validation of a hybrid exoskeleton robotic device for hand rehabilitation. J. Hand Ther. 2020, 32, 198–208. [Google Scholar] [CrossRef] [PubMed]
- Alnajjar, F.; Umari, H.; Ahmed, W.K.; Gochoo, M.; Vogan, A.A.; Aljumaily, A.; Mohamad, P.; Shimoda, S. Compact Hand-Assistive Device for enhancement of function in hand impairments. Robot. Auton. Syst. 2021, 142, 103784. [Google Scholar] [CrossRef]
- Saleh, M.A.; Soliman, M.; Mousa, M.A.; Elsamanty, M.; Radwan, A.G. Design and implementation of variable inclined air pillow soft pneumatic actuator suitable for bio impedance applications. Sens. Actuators A Phys. 2020, 314, 112272. [Google Scholar] [CrossRef]
- Gerez, L.; Liarokapis, M. An Underactuated Tendon-Driven Wearable Exo-Glove With a Four-Output Differential Mechanism. In Proceedings of the 2019 41st Annual International Conference of the IEEE Engineering in Medicine and Biology Society (EMBC), Berlin, Germany, 23–27 July 2019. [Google Scholar]
- Keong, B.A.W.; Hua, R.Y.C. A Novel Fold-Based Design approach toward Printable Soft Robotics using Flexible 3D Printing Materials. (Singapore). Adv. Mater. Technol. 2018, 3, 1700172. [Google Scholar] [CrossRef]
- Chizhik, D. A Linear Actuator/Spring Steel-Driven Glove for Assisting Individuals with Activities of Daily Living; The University of Maine: Orono, ME, USA, 2020. [Google Scholar]
- Dávila-Vilchis, J.M.; Ávila-Vilchis, J.C.; Vilchis-González, A.H. Design Criteria of Soft Exogloves for Hand Rehabilitation Assistance Tasks. Appl. Bionics Biomech. 2020, 2020, 2724783. [Google Scholar] [CrossRef]
- Gerez, L.; Dwivedi, A.; Liarokapis, M. A Hybrid, Soft Exoskeleton Glove Equipped with a Telescopic Extra Thumb and Abduction Capabilities. In Proceedings of the 2020 IEEE International Conference on Robotics and Automation (ICRA), Paris, France, 31 May–31 August 2020. [Google Scholar]
- Holland, D.P.; Park, E.J.; Polygerinos, P.; Bennett, G.J.; Walsh, C.J. The Soft Robotics Toolkit: Shared Resources for Research and Design. Soft Robot. 2014, 1, 224–230. [Google Scholar] [CrossRef]
- Coevoet, E.; Morales-Bieze, T.; Largilliere, F.; Zhang, Z.; Thieffry, M.; Sanz-Lopez, M.; Carrez, B.; Marchal, D.; Goury, O.; Dequidt, J.; et al. Software toolkit for modelling, simulation, and control of soft robots. Adv. Robot. 2017, 31, 1208–1224. [Google Scholar] [CrossRef]
- Miriyev, A.; Stack, K.; Lipson, H. Soft material for soft actuators. Nat. Commun. 2017, 8, 596. [Google Scholar] [CrossRef]
- Truby, R.L.; Katzschmann, R.K.; Lewis, J.A.; Rus, D. Soft Robotic Fingers with Embedded Ionogel Sensors and Discrete Actuation Modes for Somatosensitive manipulation. In Proceedings of the 2019 2nd IEEE International Conference on Soft Robotics (RoboSoft), Seoul, Korea, 14–18 April 2019. [Google Scholar]
- Song, K.; Kim, S.H.; Jin, S.; Kim, S.; Lee, S.; Kim, J.S.; Park, J.-M.; Cha, Y. Pneumatic actuator and fexible piezoelectric sensor for soft virtual reality glove system. Sci. Rep. 2019, 9, 8988. [Google Scholar]
- Heung, K.H.; Tong, R.K.; Lau, A.T.; Li, Z. Robotic Glove with Soft-Elastic Composite Actuators for Assisting Activities of Daily Living. Soft Robot. 2019, 6, 289–304. [Google Scholar] [CrossRef]
- Largilliere, F.; Verona, V.; Coevoet, E.; Sanz-Lopez, M.; Dequidt, J.; Duriez, C. Real-time Control of Soft-Robots using Asynchronous Finite element Modeling. In Proceedings of the 2015 IEEE International Conference on Robotics and Automation (ICRA), Seattle, WA, USA, 26–30 May 2015. [Google Scholar]
- Wu, K.; Zheng, G. Simulation, Control co-design methodology for soft robotics. In Proceedings of the 2020 39th Chinese Control Conference (CCC), Shenyang, China, 27–29 July 2020. [Google Scholar]
- Lekakou, C.; Mustaza, S.M.; Crisp, T.; Elsayed, Y.; Saaj, C.M. A Material-Based Model for the Simulation and Control of Soft Robot Actuator. In Annual Conference Towards Autonomous Robotic Systems; Springer: Cham, Switzerland, 2017; pp. 557–569. [Google Scholar]
- Holland, D.P.; Berndt, S.; Herman, M.; Walsh, C.J. Growing the Soft Robotics Community through Knowledge-Sharing Initiatives. Soft Robot. 2018, 5, 119–121. [Google Scholar] [CrossRef]
- Vogt, D.M.; Park, Y.L.; Wood, R.J. Design and Characterization of a Soft Multi-Axis Force Sensor Using Embedded Microfluidic Channels. IEEE Sens. J. 2013, 13, 4056–4064. [Google Scholar] [CrossRef]
- Geng Gao, L.G.; Adaptive, L.M.; Driven, T. Affordable Prostheses for Partial Hand Amputations: On Body-Powered and Motor Driven Implementations. In Proceedings of the 41st Annual International Conference of the IEEE Engineering in Medicine and Biology Society (EMBC), Berlin, Germany, 23–27 July 2019. [Google Scholar]
- Navarro, S.E.; Nagels, S.; Alagi, H.; Faller, L.M.; Goury, O.; Morales-Bieze, T.; Zangl, H.; Hein, B.; Ramakers, R.; Deferme, W.; et al. A Model-based Sensor Fusion Approach for Force and Shape Estimation in Soft Robotics. IEEE Robot. Autom. Lett. 2020, 5, 5621–5628. [Google Scholar] [CrossRef]
- Breitman, P.; Matia, Y.; Gat, A.D. Fluid Mechanics of Pneumatic Soft Robots. Soft Robot. 2021, 8, 519–530. [Google Scholar] [CrossRef] [PubMed]
- Elgeneidy, K.; Lohse, N.; Jackson, M. Bending angle prediction and control of soft pneumatic actuators with embedded flex sensors—A data-driven approach. Mechatronics 2018, 50, 234–247. [Google Scholar] [CrossRef]
- Deimel, R.; Brock, O. Novel type of compliant and under actuated robotic hand for dexterous grasping. Int. J. Robot. Res. 2016, 35, 161–185. [Google Scholar] [CrossRef]
- Galloway, K.C.; Becker, K.P.; Phillips, B.; Kirby, J.; Licht, S.; Tchernov, D.; Wood, R.J.; Gruber, D.F. Soft robotic grippers for biological sampling on deep reefs. Soft Robot. 2016, 3, 23–33. [Google Scholar] [CrossRef]
- Bruder, D.; Gillespie, B.; Remy, C.D.; Vasudevan, R. Modeling and Control of Soft Robots Using the Koopman Operator and Model Predictive Control. arXiv 2019, arXiv:1902.02827. [Google Scholar]
- Abbasi, P.; Nekoui, M.A.; Zareinejad, M.; Abbasi, P.; Azhang, Z. Position and Force Control of a Soft Pneumatic Actuator. Soft Robot. 2020, 7, 550–563. [Google Scholar] [CrossRef]
- Deimel, R.; Brock, O. A compliant hand based on a novel pneumatic actuator. In Proceedings of the 2013 IEEE International Conference on Robotics and Automation, Karlsruhe, Germany, 6–10 May 2013. [Google Scholar]
- She, Y.; Li, C.; Cleary, J.; Su, H.J. Design and fabrication of a soft robotic hand with embedded actuators and sensors. J. Mech. Robot. 2015, 7, 021007. [Google Scholar] [CrossRef]
- Memarian, M.; Gorbet, R.; Kulić, D. Control of soft pneumatic finger-like actuators for affective motion generation. In Proceedings of the 2015 IEEE/RSJ International Conference on Intelligent Robots and Systems (IROS), Hamburg, Germany, 28 September–2 October 2015. [Google Scholar]
- Mohamed, M.H.; Wagdy, S.H.; Atalla, M.A.; Rehan Youssef, A.; Maged, S.A. A proposed soft pneumatic actuator control based on angle estimation from data-driven model. J. Eng. Med. 2020, 234, 612–625. [Google Scholar] [CrossRef] [PubMed]















| Tuning Method | KP Inner Loop | KI Inner Loop | KP Outer Loop | KI Outer Loop |
|---|---|---|---|---|
| Z-N PID | 0.9 | 1.5 | 2 | 60 |
| GA-PID | 0.6 | 1.2 | 1.723 | 32 |
| PSO-PID | 0.65 | 1.38 | 1.6 | 29 |
| Tuning Method | Overshoot (%) | Settling Time (s) | RMS Error(%) |
|---|---|---|---|
| Z-N PID | 29 | 5.2 | 0.7083 |
| GA-PID | 3.8 | 2.6 | 0.6840 |
| PSO-PID | 0.1 | 3.1 | 0.8352 |
Publisher’s Note: MDPI stays neutral with regard to jurisdictional claims in published maps and institutional affiliations. |
© 2022 by the authors. Licensee MDPI, Basel, Switzerland. This article is an open access article distributed under the terms and conditions of the Creative Commons Attribution (CC BY) license (https://creativecommons.org/licenses/by/4.0/).
Share and Cite
Hassan, M.; Awad, M.I.; Maged, S.A. Develop Control Architectures to Enhance Soft Actuator Motion and Force. Computation 2022, 10, 178. https://doi.org/10.3390/computation10100178
Hassan M, Awad MI, Maged SA. Develop Control Architectures to Enhance Soft Actuator Motion and Force. Computation. 2022; 10(10):178. https://doi.org/10.3390/computation10100178
Chicago/Turabian StyleHassan, Mustafa, Mohammed Ibrahim Awad, and Shady A. Maged. 2022. "Develop Control Architectures to Enhance Soft Actuator Motion and Force" Computation 10, no. 10: 178. https://doi.org/10.3390/computation10100178
APA StyleHassan, M., Awad, M. I., & Maged, S. A. (2022). Develop Control Architectures to Enhance Soft Actuator Motion and Force. Computation, 10(10), 178. https://doi.org/10.3390/computation10100178

