Impacts of Hurricane Disturbance on Water Quality across the Aquatic Continuum of a Blackwater River to Estuary Complex
Abstract
1. Introduction
2. Materials and Methods
2.1. Study Site
2.2. Short Duration High-Resolution Water Quality Monitoring
2.3. Long Duration Monitoring of Carbon, Phosphorus, and Metals
2.4. Statistical Analysis
3. Results
3.1. Short-Term Water Quality Monitoring of Hurricane Response (St. Augustine)
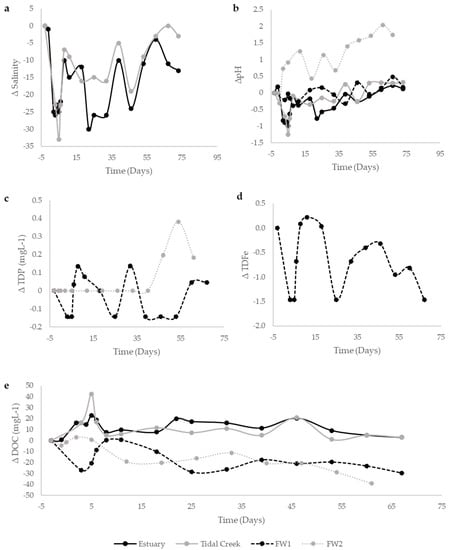
3.2. Long-Term (3 Month) Monitoring of Dissolved C, P, and Metals
4. Discussion
4.1. Biogeochemical Responses to Hurricane Irma
4.2. Implications on Ecosystem Resilience
5. Conclusions
Supplementary Materials
Author Contributions
Funding
Acknowledgments
Conflicts of Interest
References
- Masson-Delmotte, V.; Zhai, P.; Pörtner, H.-O.; Roberts, D.; Skea, J.; Shukla, P.R.; Pirani, A.; Moufouma-Okia, W.; Péan, C.; Pidcock, R.; et al. An IPCC Special Report on the Impacts of Global Warming of 1.5 °C above Pre-Industrial Levels and Related Global Greenhouse Gas Emission Pathways, in the Context of Strengthening the Global Response to the Threat of Climate Change, Sustainable Development, and Efforts to Eradicate Poverty; IPCC: Geneva, Switzerland, 2018. [Google Scholar]
- Bauer, J.E.; Cai, W.J.; Raymond, P.A.; Bianchi, T.S.; Hopkinson, C.S.; Regnier, P.A.G. The changing carbon cycle of the coastal ocean. Nature 2013, 504, 61–70. [Google Scholar] [CrossRef]
- Shiller, A.M.; Shim, M.J.; Guo, L.; Bianchi, T.S.; Smith, R.W.; Duan, S. Hurricane Katrina impact on water quality in the East Pearl River, Mississippi. J. Hydrol. 2012, 414–415, 388–392. [Google Scholar] [CrossRef]
- Smith, L.M.; MacAuley, J.M.; Harwell, L.C.; Chancy, C.A. Water quality in the near coastal waters of the gulf of mexico affected by hurricane katrina: Before and after the storm. Environ. Manag. 2009, 44, 149–162. [Google Scholar] [CrossRef] [PubMed]
- Walker, N.D. Tropical Storm and Hurricane Wind Effects on Water Level, Salinity, and Sediment Transport in the River-Influenced Atchafalaya-Vermilion Bay System, Louisiana, USA. Estuaries 2001, 24, 498. [Google Scholar] [CrossRef]
- Mandal, A.; Stephenson, T.S.; Brown, A.A.; Campbell, J.D.; Taylor, M.A.; Lumsden, T.L. Rainfall-runoff simulations using the CARIWIG Simple Model for Advection of Storms and Hurricanes and HEC-HMS: Implications of Hurricane Ivan over the Jamaica Hope River watershed. Nat. Hazards 2016, 83, 1635–1659. [Google Scholar] [CrossRef]
- Torres, J.M.; Bass, B.; Irza, N.; Fang, Z.; Proft, J.; Dawson, C.; Kiani, M.; Bedient, P. Characterizing the hydraulic interactions of hurricane storm surge and rainfall-runoff for the Houston-Galveston region. Coast. Eng. 2015, 106, 7–19. [Google Scholar] [CrossRef]
- Chambers, J.Q.; Fisher, J.I.; Zeng, H.; Chapman, E.L.; Baker, D.B.; Hurtt, G.C. Hurricane Katrina’s Carbon Footprint on U.S. Gulf Coast Forests. Proc. Natl. Acad. Sci. USA 2000, 290, 77–78. [Google Scholar] [CrossRef]
- Alongi, D.M. Mangrove forests: Resilience, protection from tsunamis, and responses to global climate change. Estuar. Coast. Shelf Sci. 2008, 76, 1–13. [Google Scholar] [CrossRef]
- Radabaugh, K.R.; Moyer, R.P.; Chappel, A.R.; Dontis, E.E.; Russo, C.E.; Joyse, K.M.; Bownik, M.W.; Goeckner, A.H.; Khan, N.S. Mangrove Damage, Delayed Mortality, and Early Recovery Following Hurricane Irma at Two Landfall Sites in Southwest Florida, USA. Estuaries Coasts 2019, 1–15. [Google Scholar] [CrossRef]
- Bouwman, A.F.; Bierkens, M.F.P.; Griffioen, J.; Hefting, M.M.; Middelburg, J.J.; Middelkoop, H.; Slomp, C.P. Nutrient dynamics, transfer and retention along the aquatic continuum from land to ocean: Towards integration of ecological and biogeochemical models. Biogeosciences 2013, 10, 1–23. [Google Scholar] [CrossRef]
- Vannote, R.L.; Minshall, G.W.; Cummins, K.W.; Sedell, J.R.; Cushing, C.E. The River Continuum Concept. Can. J. Fish. Aquat. Sci. 1980, 37, 130–137. [Google Scholar] [CrossRef]
- Ward, N.D.; Bianchi, T.S.; Medeiros, P.M.; Seidel, M.; Richey, J.E.; Keil, R.G.; Sawakuchi, H.O. Where Carbon Goes When Water Flows: Carbon Cycling across the Aquatic Continuum. Front. Mar. Sci. 2017, 4, 1–27. [Google Scholar] [CrossRef]
- Paerl, H.W.; Crosswell, J.R.; Van Dam, B.; Hall, N.S.; Rossignol, K.L.; Osburn, C.L.; Hounshell, A.G.; Sloup, R.S.; Harding, L.W., Jr. Two decades of tropical cyclone impacts on North Carolina’s estuarine carbon, nutrient and phytoplankton dynamics: Implications for biogeochemical cycling and water quality in a stormier world. Biogeochemistry 2018, 141, 307–332. [Google Scholar] [CrossRef]
- Ward, N.D.; Sawakuchi, H.O.; Neu, V.; Less, D.F.S.; Valerio, A.M.; Cunha, A.C.; Kampel, M.; Bianchi, T.S.; Krusche, A.V.; Richey, J.E.; et al. Velocity-amplified microbial respiration rates in the lower Amazon River. Limnol. Oceanogr. Lett. 2018, 3, 265–274. [Google Scholar] [CrossRef]
- Dix, N.G.; Phlips, E.J.; Gleeson, R.A. Water Quality Changes in the Guana Tolomato Matanzas National Estuarine Research Reserve, Florida, Associated with Four Tropical Storms. J. Coast. Res. 2008, 55, 26–37. [Google Scholar] [CrossRef]
- Miller, R.L.; Brown, M.M.; Mulligan, R.P. Transport and transformation of dissolved organic matter in the Neuse River estuarine system, NC, USA, following Hurricane Irene (2011). Mar. Freshw. Res. 2016, 67, 1313–1325. [Google Scholar] [CrossRef]
- Foster, C.; Amado, E.M.; Souza, M.M.; Freire, C.A. Do osmoregulators have lower capacity of muscle water regulation than osmoconformers? A Study on Decapod Crustaceans. J. Exp. Zool. Part A Ecol. Genet. Physiol. 2009, 313, 80–94. [Google Scholar] [CrossRef]
- Jin, K.R.; Chang, N.B.; Ji, Z.G.; James, R.T. Hurricanes affect the sediment and environment in lake okeechobee. Crit. Rev. Environ. Sci. Technol. 2011, 41, 382–394. [Google Scholar] [CrossRef]
- Xuan, Z.; Chang, N. Bin Modeling the climate-induced changes of lake ecosystem structure under the cascade impacts of hurricanes and droughts. Ecol. Model. 2014, 288, 79–93. [Google Scholar] [CrossRef]
- Anderson, D.M.; Glibert, P.M.; Burkholder, J.M. Harmful algal blooms and eutrophication: Nutrient sources, composition, and consequences. Estuaries 2002, 25, 704–726. [Google Scholar] [CrossRef]
- Boyer, J.N.; Kelble, C.R.; Ortner, P.B.; Rudnick, D.T. Phytoplankton bloom status: Chlorophyll a biomass as an indicator of water quality condition in the southern estuaries of Florida, USA. Ecol. Indic. 2009, 9, s56–s67. [Google Scholar] [CrossRef]
- Bricker, S.B.; Longstaff, B.; Dennison, W.; Jones, A.; Boicourt, K.; Wicks, C.; Woerner, J. Effects of nutrient enrichment in the nation’s estuaries: A decade of change. Harmful Algae 2008, 8, 21–32. [Google Scholar] [CrossRef]
- Mullaugh, K.M.; Willey, J.D.; Kieber, R.J.; Mead, R.N.; Avery, G.B. Dynamics of the chemical composition of rainwater throughout Hurricane Irene. Atmos. Chem. Phys. 2013, 13, 2321–2330. [Google Scholar] [CrossRef]
- Mitra, S.; Wozniak, A.S.; Miller, R.; Hatcher, P.G.; Buonassissi, C.; Brown, M. Multiproxy probing of rainwater dissolved organic matter (DOM) composition in coastal storms as a function of trajectory. Mar. Chem. 2013, 154, 67–76. [Google Scholar] [CrossRef]
- Cangialosi, J.P.; Latto, A.S.; Berg, R. National Hurricane Center Tropical Cyclone Report; National Hurricane Center: Miami, FL, USA, 2018. [Google Scholar]
- Sharpe, P.J.; Baldwin, A.H. Patterns of wetland plant species richness across estuarine gradients of Chesapeake Bay. Wetlands 2009, 29, 225–235. [Google Scholar] [CrossRef]
- Gołębiewski, M.; Całkiewicz, J.; Creer, S.; Piwosz, K. Tideless estuaries in brackish seas as possible freshwater-marine transition zones for bacteria: The case study of the Vistula river estuary. Environ. Microbiol. Rep. 2017, 9, 129–143. [Google Scholar] [CrossRef]
- Marcum, P.; Monroe, M.; Dix, N. Pellicer Creek Water Level Study; 2016; unpublished work. [Google Scholar]
- Xylem. EXO User Manual Advance Water Quality Monitoring Platform User Manual, Revision H; Xylem: Rye Brook, NY, USA, 2019. [Google Scholar]
- NERR National Estuarine Research Reserve System-Centralized Data Management Office. Available online: https://cdmo.baruch.sc.edu (accessed on 2 March 2018).
- Xylem. EXO Water Quality Field Sensors: Features, Specifications, and Comparability to YSI 6-Series Sensors; Xylem: Rye Brook, NY, USA, 2012. [Google Scholar]
- USGS National Water Information System: Web Interface. Available online: https://waterdata.usgs.gov/nwis/inventory/?site_no=02247222 (accessed on 4 February 2020).
- Paerl, H.W.; Valdes, L.M.; Joyner, A.R.; Peierls, B.L.; Piehler, M.F.; Riggs, S.R.; Christian, R.R.; Eby, L.A.; Crowder, L.B.; Ramus, J.S.; et al. Ecological Response to Hurricane Events in the Pamlico Sound System, North Carolina, and Implications for Assessment and Management in a Regime of Increased Frequency Linked references are available on JSTOR for this article: Ecological Response to Hur. Estuaries Coasts 2006, 29, 1033–1045. [Google Scholar] [CrossRef]
- Pietrafesa, L.J.; Janowitz, G.S.; Chao, T.-T.; Weisberg, R.H.; Askari, F.; Noble, E. The Physical Oceanography of Pamlico Sound; North Carolina State University: Raleigh, NC, USA, 1986. [Google Scholar]
- Raymond, P.A.; Saiers, J.E.; Sobczak, W.V. Hydrological and biogeochemical controls on watershed DOM transport: Pulse-shunt concept. Ecology 2016, 97, 5–16. [Google Scholar] [CrossRef]
- Mallin, M.A.; Corbett, C.A. How hurricane attributes determine the extent of environmental effects: Multiple hurricanes and different coastal systems. Estuaries Coasts 2006, 29, 1046–1061. [Google Scholar] [CrossRef]
- Tomasko, D.A.; Anastasiou, C.; Kovach, C. Dissolved Oxygen Dynamics in Charlotte Harbor and Its Contributing Watershed, in Response to Hurricanes Charley, Frances, and Jeanne—Impacts and Recovery. Estuaries Coasts 2006, 29, 932–938. [Google Scholar] [CrossRef]
- Tilmant, J.T.; Curry, R.W.; Jones, R.; Szmant, A.; Zieman, J.C.; Flora, M.; Robblee, M.B.; Smith, D.; Snow, R.W.; Wanless, H. Hurricane Andrew’s Sweep through Natural Ecosystems. Am. Inst. Biol. Sci. 1994, 44, 230–237. [Google Scholar]
- Julian, P.; Osborne, T.Z. From lake to estuary, the tale of two waters: A study of aquatic continuum biogeochemistry. Environ. Monit. Assess. 2018, 190, 96. [Google Scholar] [CrossRef] [PubMed]
- Peter, S.; Isidorova, A.; Sobek, S. Enhanced carbon loss from anoxic lake sediment through diffusion of dissolved organic carbon. J. Geophys. Res. 2016, 121, 1959–1977. [Google Scholar] [CrossRef]
- Statham, P.J. Nutrients in estuaries—An overview and the potential impacts of climate change. Sci. Total Environ. 2012, 434, 213–227. [Google Scholar] [CrossRef] [PubMed]
- Webster, J.; Newbold, J.; Lin, L. Nutrient Spiraling and Transport in Streams; Elsevier Inc: London, UK, 2016; ISBN 9780124058903. [Google Scholar]
- Webster, J.R.; Patten, B.C. Effects of Watershed Perturbation on Stream Potassium and Calcium Dynamics. Ecol. Soc. Am. 1979, 49, 51–72. [Google Scholar] [CrossRef]
- Riedel, T.; Zak, D.; Biester, H.; Dittmar, T. Iron traps terrestrially derived dissolved organic matter at redox interfaces. Proc. Natl. Acad. Sci. USA 2013, 110, 10101–10105. [Google Scholar] [CrossRef]
- Julian, P.; Chambers, R.; Russell, T. Iron and Pyritization in Wetland Soils of the Florida Coastal Everglades. Estuaries Coasts 2017, 40, 822–831. [Google Scholar] [CrossRef]
- Cole, J.J.; Prairie, Y.T.; Caraco, N.F.; McDowell, W.H.; Tranvik, L.J.; Striegl, R.G.; Duarte, C.M.; Kortelainen, P.; Downing, J.A.; Middelburg, J.J.; et al. Plumbing the global carbon cycle: Integrating inland waters into the terrestrial carbon budget. Ecosystems 2007, 10, 171–184. [Google Scholar] [CrossRef]
- Bauer, J.E.; Bianchi, T.S. Dissolved Organic Carbon Cycling and Transformation. Treatise Estuar. Coast. Sci. 2011, 5, 7–68. [Google Scholar]
- Majidzadeh, H.; Uzun, H.; Ruecker, A.; Miller, D.; Vernon, J.; Zhang, H.; Bao, S.; Tsui, M.T.K.; Karanfil, T.; Chow, A.T. Extreme flooding mobilized dissolved organic matter from coastal forested wetlands. Biogeochemistry 2017, 136, 293–309. [Google Scholar] [CrossRef]
- Osburn, C.L.; Handsel, L.T.; Mikan, M.P.; Paerl, H.W.; Montgomery, M.T. Fluorescence tracking of dissolved and particulate organic matter quality in a river-dominated estuary. Environ. Sci. Technol. 2012, 46, 8628–8636. [Google Scholar] [CrossRef] [PubMed]
- Schlesinger, W.H.; Bernhardt, E.S. Biogeochemistry: An Analysis of Global Change, 3rd ed.; Elsevier: Waltham, MA, USA, 2013; ISBN 978-0123858740. [Google Scholar]
- Raymond, P.A.; Saiers, J.E. Event controlled DOC export from forested watersheds. Biogeochemistry 2010, 100, 197–209. [Google Scholar] [CrossRef]
- Ward, N.D.; Richey, J.E.; Keil, R.G. Temporal variation in river nutrient and dissolved lignin phenol concentrations and the impact of storm events on nutrient loading to Hood Canal, Washington, USA. Biogeochemistry 2012, 111, 629–645. [Google Scholar] [CrossRef]
- Strawn, D.G.; Bohn, H.L.; O’Connor, G.A. Soil Chemistry, 4th ed.; Wiley Blackwell: Chicheter, West Sussex, UK, 2015; ISBN 978-1118629239. [Google Scholar]
- Reddy, K.R.; Delaune, R.D. Biogeochemistry of Wetlands, 1st ed.; CRC Press: Boca Raton, FL, USA, 2008; ISBN 9781566706780. [Google Scholar]
- Burkholder, J.M.; Mallin, M.A.; Glasgow, H.B., Jr. Fish kills, bottom-water hypoxia, and the toxic Pfiesteria complex in the Neuse River and Estuary. Mar. Ecol. Prog. Ser. 1999, 179, 301–310. [Google Scholar] [CrossRef]
- Sui, Y.; Kong, H.; Shang, Y.; Huang, X.; Wu, F.; Hu, M.; Lin, D.; Lu, W.; Wang, Y. Effects of short-term hypoxia and seawater acidification on hemocyte responses of the mussel Mytilus coruscus. Mar. Pollut. Bull. 2016, 108, 46–52. [Google Scholar] [CrossRef]
- Gobler, C.J.; DePasquale, E.L.; Griffith, A.W.; Baumann, H. Hypoxia and acidification have additive and synergistic negative effects on the growth, survival, and metamorphosis of early life stage bivalves. PLoS ONE 2014, 9, 1–10. [Google Scholar] [CrossRef]
- Odum, E.P. Trends Expected in Stressed Ecosystems. Bioscience 1985, 35, 419–422. [Google Scholar] [CrossRef]
- Smith, C.S.; Puckett, B.; Gittman, R.K.; Peterson, C.H. Living shorelines enhanced the resilience of saltmarshes to Hurricane Matthew (2016). Ecol. Appl. 2018, 28, 871–877. [Google Scholar] [CrossRef]
- Montgomery, J.M.; Bryan, K.R.; Mullarney, J.C.; Horstman, E.M. Attenuation of Storm Surges by Coastal Mangroves. Geophys. Res. Lett. 2019, 46, 2680–2689. [Google Scholar] [CrossRef]










| Location | Parameters | Before Irma | During Irma | After Irma |
|---|---|---|---|---|
| Estuary | DO vs. salinity | 0.323 (<0.01) | 0.980 (<0.01) | 0.941 (<0.01) |
| Estuary | fDOM vs. salinity | −0.845 (<0.01) | −0.984 (<0.01) | −0.955 (<0.01) |
| Mid. Reaches | DO vs salinity | 0.875 (<0.01) | 0.833 (<0.01) | −0.260 (<0.01) |
| Mid. Reaches | pH vs. salinity | 0.988 (<0.01) | 0.952 (<0.01) | 0.869 (<0.01) |
| Site | Date Collected | TDP (mg L−1) | TDFe (mg L−1) | DOC (mg L−1) |
|---|---|---|---|---|
| Freshwater 1 | 7 September 2017 | 0.153 | 1.49 | 59.73 |
| 16 September 2017 | 0.189 | 0.81 | 51.1 | |
| 18 September 2017 | 0.289 | 1.57 | 60.12 | |
| 21 September 2017 | 0.231 | 1.71 | 60.32 | |
| 28 September 2017 | 0.153 | 1.52 | 49.65 | |
| 12 October 2017 | 0.290 | 0.81 | 33.3 | |
| 19 October 2017 | 0.02 a | 1.08 | 42.18 | |
| 26 October 2017 | 0.02 a | 1.17 | 38.76 | |
| 2 November 2017 | 0.02 a | 0.54 | 40.16 | |
| 9 November 2017 | 0.002 a | 0.67 | 36.5 | |
| Freshwater 2 | 2 November 2017 | 0.206 | - | 44.34 |
| 9 November 2017 | 0.392 | - | 36.02 | |
| 16 November 2017 | 0.194 | - | 25.74 |
© 2020 by the authors. Licensee MDPI, Basel, Switzerland. This article is an open access article distributed under the terms and conditions of the Creative Commons Attribution (CC BY) license (http://creativecommons.org/licenses/by/4.0/).
Share and Cite
Schafer, T.; Ward, N.; Julian, P.; Reddy, K.R.; Osborne, T.Z. Impacts of Hurricane Disturbance on Water Quality across the Aquatic Continuum of a Blackwater River to Estuary Complex. J. Mar. Sci. Eng. 2020, 8, 412. https://doi.org/10.3390/jmse8060412
Schafer T, Ward N, Julian P, Reddy KR, Osborne TZ. Impacts of Hurricane Disturbance on Water Quality across the Aquatic Continuum of a Blackwater River to Estuary Complex. Journal of Marine Science and Engineering. 2020; 8(6):412. https://doi.org/10.3390/jmse8060412
Chicago/Turabian StyleSchafer, Tracey, Nicholas Ward, Paul Julian, K. Ramesh Reddy, and Todd Z. Osborne. 2020. "Impacts of Hurricane Disturbance on Water Quality across the Aquatic Continuum of a Blackwater River to Estuary Complex" Journal of Marine Science and Engineering 8, no. 6: 412. https://doi.org/10.3390/jmse8060412
APA StyleSchafer, T., Ward, N., Julian, P., Reddy, K. R., & Osborne, T. Z. (2020). Impacts of Hurricane Disturbance on Water Quality across the Aquatic Continuum of a Blackwater River to Estuary Complex. Journal of Marine Science and Engineering, 8(6), 412. https://doi.org/10.3390/jmse8060412

