Spectral Control of Wave Energy Converters with Non-Ideal Power Take-off Systems
Abstract
1. Introduction
2. An Efficient Spectral Control Method for a 1-DoF, Non-Linear WEC Model
2.1. WEC Dynamical Model
- represents a linear integro-differential operator, containing some of, or all the terms of the well-known Cummins’ equation [21]:where I represents the system inertia; and are the radiation infinite-frequency added inertia and damping convolution kernel, respectively; C models some linear damping term (for example, to take friction effects into account); and S is the hydrostatic restoring force (resulting from the balance between gravity and Archimede’s force);
- n represents some nonlinear function, with the aim of modelling nonlinear dynamical effects, not accounted for by a linear modelling approach. If n includes effects, usually modelled linearly in Cummins’ Equation (4), then the corresponding linear coefficients in Equation (4) can be assumed equal to zero;
- is the wave excitation force; and
- is the control force, exerted by the PTO system onto the WEC’s moving part.
2.2. Spectral Control Problem Formulation
2.3. Explicit Calculation of the Objective Function Derivatives
2.4. Inequality Constraints
3. Numerical Case Studies
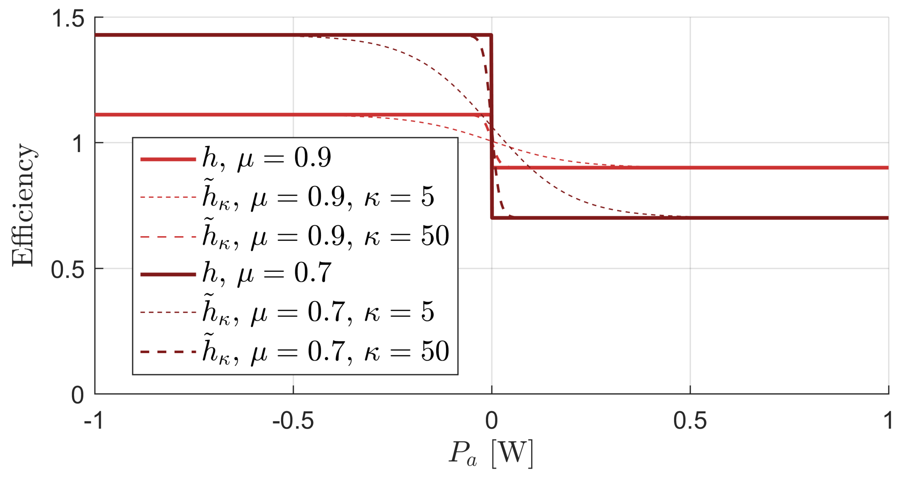
3.1. Non-Ideal Power Take-Off Systems
3.2. The WECCCOMP Model
3.3. The RM3 Device
- the complex mechanical impedance is built as from the hydrodynamic coefficients of Body i,
- the coupling terms are due to the radiation interaction between B1 and B2,
- denotes the wave excitation force onto Body i and
- the PTO system applies a force u from B2 onto B1.
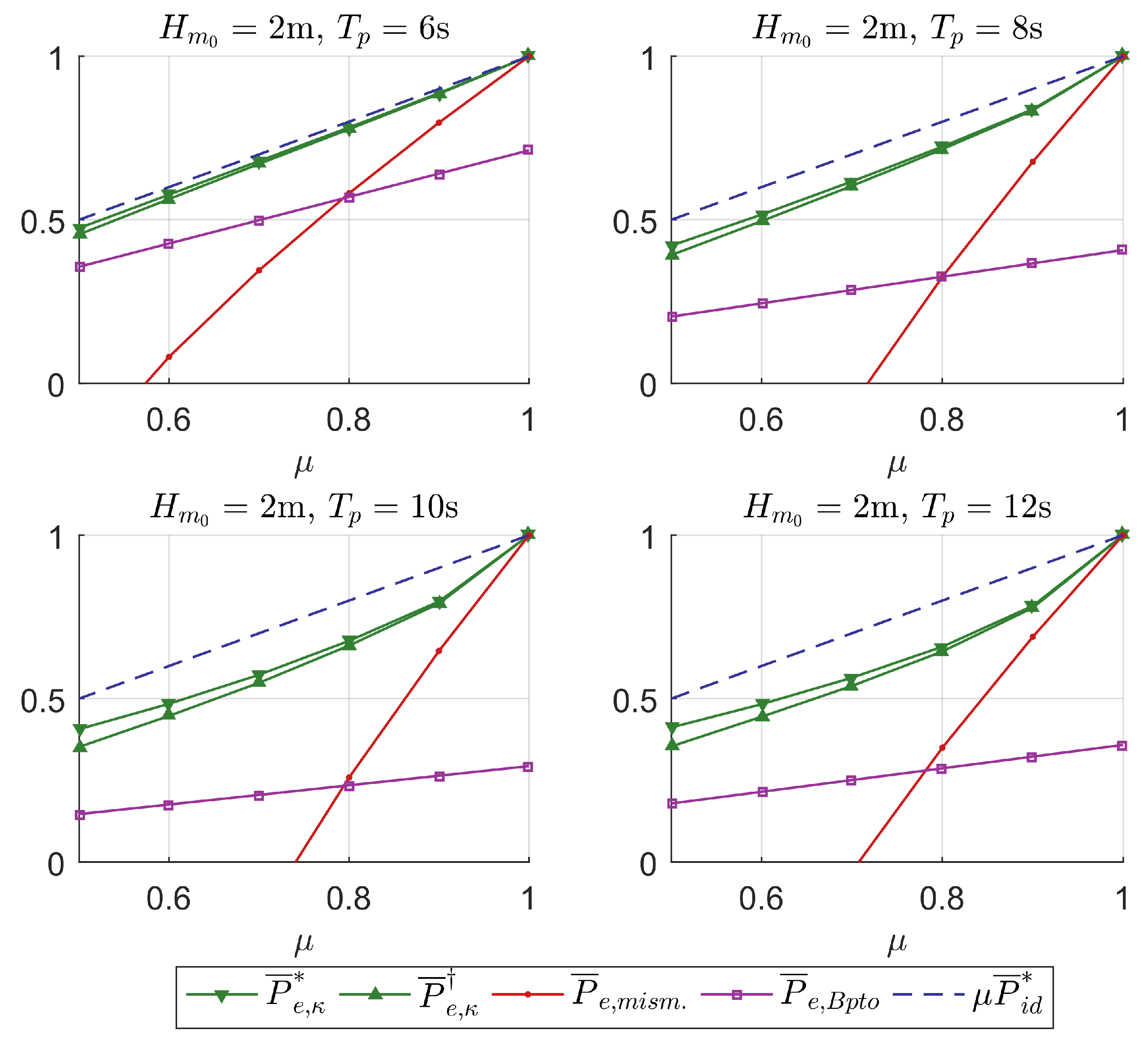
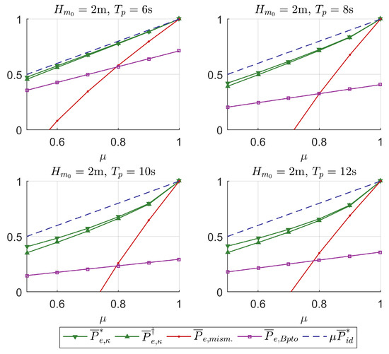
4. Numerical Results
4.1. The WECCCOMP Model
4.2. The RM3 Device
5. Conclusions
Author Contributions
Funding
Conflicts of Interest
References
- Ringwood, J.V.; Bacelli, G.; Fusco, F. Energy-maximizing control of wave-energy converters: The development of control system technology to optimize their operation. IEEE Control Syst. Mag. 2014, 34, 30–55. [Google Scholar]
- Faedo, N.; Olaya, S.; Ringwood, J.V. Optimal control, MPC and MPC-like algorithms for wave energy systems: An overview. IFAC J. Syst. Control 2017, 1, 37–56. [Google Scholar] [CrossRef]
- Bacelli, G.; Ringwood, J.V.; Gilloteaux, J.C. A control system for a self-reacting point absorber wave energy converter subject to constraints. IFAC Proc. Vol. 2011, 44, 11387–11392. [Google Scholar] [CrossRef]
- Bacelli, G.; Ringwood, J.V. Nonlinear optimal wave energy converter control with application to a flap-type device. IFAC Proc. Vol. 2014, 47, 7696–7701. [Google Scholar] [CrossRef]
- Mérigaud, A.; Ringwood, J.V. Improving the computational performance of nonlinear pseudospectral control of wave energy converters. IEEE Trans. Sustain. Energy 2017, 9, 1419–1426. [Google Scholar] [CrossRef]
- Genest, R.; Ringwood, J.V. Receding horizon pseudospectral control for energy maximization with application to wave energy devices. IEEE Trans. Control Syst. Technol. 2016, 25, 29–38. [Google Scholar] [CrossRef]
- Boyd, J.P. Chebyshev and Fourier Spectral Methods; Courier Corporation: North Chelmsford, MA, USA, 2001. [Google Scholar]
- Auger, C.; Merigaud, A.P.L.; Ringwood, J.V. Receding-horizon pseudo-spectral control of wave energy converters using periodic basis functions. IEEE Trans. Sustain. Energy 2018, 10, 1644–1652. [Google Scholar] [CrossRef]
- Mérigaud, A.; Ringwood, J.V. Towards realistic nonlinear receding-horizon spectral control of wave energy converters. Control Eng. Pract. 2018, 81, 145–161. [Google Scholar]
- Tedeschi, E.; Carraro, M.; Molinas, M.; Mattavelli, P. Effect of control strategies and power take-off efficiency on the power capture from sea waves. IEEE Trans. Energy Convers. 2011, 26, 1088–1098. [Google Scholar] [CrossRef]
- Genest, R.; Bonnefoy, F.; Clément, A.H.; Babarit, A. Effect of non-ideal power take-off on the energy absorption of a reactively controlled one degree of freedom wave energy converter. Appl. Ocean. Res. 2014, 48, 236–243. [Google Scholar] [CrossRef]
- Falcão, A.F.; Henriques, J.C. Effect of non-ideal power take-off efficiency on performance of single-and two-body reactively controlled wave energy converters. J. Ocean. Eng. Mar. Energy 2015, 1, 273–286. [Google Scholar]
- Bacelli, G.; Genest, R.; Ringwood, J.V. Nonlinear control of flap-type wave energy converter with a non-ideal power take-off system. Annu. Rev. Control 2015, 40, 116–126. [Google Scholar] [CrossRef]
- Sánchez, E.V.; Hansen, R.H.; Kramer, M.M. Control performance assessment and design of optimal control to harvest ocean energy. IEEE J. Ocean. Eng. 2014, 40, 15–26. [Google Scholar] [CrossRef]
- Tom, N.M.; Madhi, F.; Yeung, R.W. Power-to-load balancing for heaving asymmetric wave-energy converters with nonideal power take-off. Renew. Energy 2019, 131, 1208–1225. [Google Scholar] [CrossRef]
- Tona, P.; Nguyen, H.N.; Sabiron, G.; Creff, Y. An Efficiency-Aware Model Predictive Control Strategy for a Heaving Buoy Wave Energy Converter. In Proceedings of the European Wave and Tidal Energy Conference (EWTEC) 2015, Nantes, France, 6–11 September 2015. [Google Scholar]
- Saupe, F.; Creff, Y.; Gilloteaux, J.C.; Bozonnet, P.; Tona, P. Latching Control Strategies for a Heaving Buoy Wave Energy Generator in a Random Sea; IFAC World Congress: Prague, Czech Republic, 2014; Volume 19, pp. 7710–7716. [Google Scholar]
- Ringwood, J.V.; Ferri, F.; Ruehl, K.; Yu, Y.H.; Coe, R.G.; Bacelli, G.; Weber, J.; Kramer, M.M. A competition for WEC control systems. In Proceedings of the 12th European Wave and Tidal Energy ConferencEuropean Wave and Tidal Energy Conference, Cork, Ireland, 27 August–1 September 2017. [Google Scholar]
- Neary, V.S.; Lawson, M.; Previsic, M.; Copping, A.; Hallett, K.C.; LaBonte, A.; Rieks, J.; Murray, D. Methodology for Design and Economic Analysis of Marine Energy Conversion (MEC) Technologies; Technical Report; Sandia National Lab. (SNL-NM): Albuquerque, NM, USA, 2014.
- Mérigaud, A. A Harmonic Balance Framework for the Numerical Simulation of Non-Linear Wave Energy Converter Models in Random Seas. Ph.D. Thesis, Maynooth University, Maynooth, Ireland, 2018. [Google Scholar]
- Cummins, W. The impulse response function and ship motions. Schiffstechnik 1962, 9, 101–109. [Google Scholar]
- Ogilvie, T. Recent progress toward the understanding and prediction of ship motions. In Proceedings of the Sixth Symposium on Naval Hydrodynamics, Bergen, Norway, 10–12 September 1964. [Google Scholar]
- Hasselmann, K.; Barnett, T.; Bouws, E.; Carlson, H.; Cartwright, D.; Enke, K.; Ewing, J.; Gienapp, H.; Hasselmann, D.; Kruseman, P. Measurements of Wind-Wave Growth and Swell Decay During the Joint North Sea Wave Project (JONSWAP); Technical Report; Deutches Hydrographisches Institut: Hamburg, Germany, 1973. [Google Scholar]
- Olaya, S. Contribution à la Modélisation Multi-Physique et au Contrôle Optimal d’un Générateur Houlomoteur: Application à un Système ‘deux corps’. Ph.D. Thesis, Université de Bretagne Occidentale, Brest, France, 2016. (In French). [Google Scholar]
| 1. | It should be noted, however, that the control strategies adopted, and the PTO efficiency models, differ across studies, so that accurate comparisons are difficult. |
| 2. | To see this, decompose into its passive and reactive components. |
| 3. | For the motion to be fully determined, another equation is necessary, for example in terms of , but this does not have any influence in terms of power absorption. |
| 4. | The reader may have noted that this value is very different from those, which were found appropriate for the WECCCOMP model. This is because, given the form of Equation (17), the appropriate value for depends on the typical magnitude of : in the RM3 case, which is a full-scale model, takes much larger values than in the WECCCOMP case. |
| 5. | |
| 6. | In particular, in both cases the optimal velocity is in phase with the excitation torque, which is a classical WEC optimal control result [1]. |
| 7. | This is typically the case for heaving point absorbers: their dimensions give them a relatively short resonant period, but reactive control can artificially make them resonate in longer wave periods. |





| ID | ID | |||
|---|---|---|---|---|
| 1 | 4 | 100 | ||
| 2 | 5 | 5 | ||
| 3 | 6 | 2 |
Publisher’s Note: MDPI stays neutral with regard to jurisdictional claims in published maps and institutional affiliations. |
© 2020 by the authors. Licensee MDPI, Basel, Switzerland. This article is an open access article distributed under the terms and conditions of the Creative Commons Attribution (CC BY) license (http://creativecommons.org/licenses/by/4.0/).
Share and Cite
Mérigaud, A.; Tona, P. Spectral Control of Wave Energy Converters with Non-Ideal Power Take-off Systems. J. Mar. Sci. Eng. 2020, 8, 851. https://doi.org/10.3390/jmse8110851
Mérigaud A, Tona P. Spectral Control of Wave Energy Converters with Non-Ideal Power Take-off Systems. Journal of Marine Science and Engineering. 2020; 8(11):851. https://doi.org/10.3390/jmse8110851
Chicago/Turabian StyleMérigaud, Alexis, and Paolino Tona. 2020. "Spectral Control of Wave Energy Converters with Non-Ideal Power Take-off Systems" Journal of Marine Science and Engineering 8, no. 11: 851. https://doi.org/10.3390/jmse8110851
APA StyleMérigaud, A., & Tona, P. (2020). Spectral Control of Wave Energy Converters with Non-Ideal Power Take-off Systems. Journal of Marine Science and Engineering, 8(11), 851. https://doi.org/10.3390/jmse8110851

