Mechanical Tests and Numerical Simulations for Mining Seafloor Massive Sulfides
Abstract
1. Introduction
2. Mechanical Properties Tests
2.1. Test Samples and Testing System
2.2. UCS Test
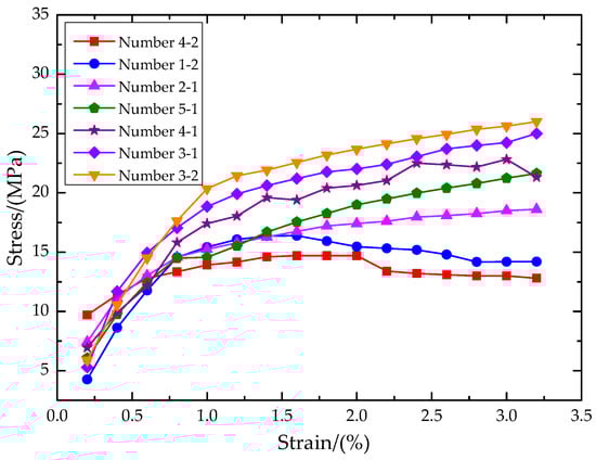
2.3. TCS Test
3. Numerical Simulation
- All particle elements are spherical;
- All particle elements are ideal rigid bodies in any time step, that is, they only translate and rotate in space, while the size and geometry of particle elements remain unchanged;
- When the contact of particle elements occurs, the overlap is allowed at the contact point. Moreover, the range of the contact is infinitesimal, that is point contact;
- The intergranular forces of the particle elements are expressed by tangential force and normal force.
3.1. UCS Simulation
3.2. TCS Simulation
3.3. Simulation of the Cutting Process
4. Conclusions
- Through the UCS and TCS tests, the accurate and comprehensive mechanical properties of the SMS samples have been obtained, including the cohesive force, internal friction angle, compressive strength, elastic modulus and Poisson’s ratio.
- The micro properties input in the simulation are matched with the macro properties measured in the laboratory tests through the calibration progress, validating the accuracy of the established particle model for simulating the cutting progress.
- The cutting progress simulations of the single cutting pick and two adjacent cutting picks using the DEM reveal the trend of the cutting force in x, y and z directions. Moreover, the maximum resultant force on the cutting pick has been obtained.
- This research can provide a reliable modeling method for the mining process simulation of SMS, which can effectively predict the maximum force on the cutting pick.
Author Contributions
Funding
Acknowledgments
Conflicts of Interest
Abbreviations
| SMS | Seafloor Massive Sulfides |
| UCS | Uniaxial Compressive Strength |
| TCS | Triaxial Compressive Strength |
| BTS | Brazilian test strength |
| DEM | Discrete Element Method |
| PFC3D | Particle flow code in three dimensions |
References
- Dehnavi, A.S.; McFarlane, C.; Lentz, D.R.; McClenaghan, S.H.; Walker, J.A. Chlorite-white mica pairs’ composition as a micro-chemical guide to fingerprint massive sulfide deposits of the bathurst mining camp, Canada. Minerals 2019, 9, 125. [Google Scholar] [CrossRef]
- Fallon, E.K.; Frische, M.; Petersen, S.; Brooker, R.; Scott, T.B. Geological, mineralogical and textural impacts on the distribution of environmentally toxic trace elements in seafloor massive sulfide occurrences. Minerals 2019, 9, 162. [Google Scholar] [CrossRef]
- Juliani, C.; Ellefmo, S.L. Resource assessment of undiscovered seafloor massive sulfide deposits on an Arctic mid-ocean ridge: Application of grade and tonnage models. Ore. Geol. Rev. 2018, 102, 818–828. [Google Scholar] [CrossRef]
- Kowalczuk, P.B.; Snook, B.; Kleiv, R.A.; Aasly, K. Efficient extraction of copper and zinc from seafloor massive sulphide rock samples from the Loki’s Castle area at the Arctic Mid-Ocean Ridge. Miner. Eng. 2018, 115, 106–116. [Google Scholar] [CrossRef]
- Cherkashov, G.; Poroshina, I.; Stepanova, T.; Ivanov, V.; Bel’tenev, V.; Lazareva, L.; Rozhdestvenskaya, I.; Samovarov, M.; Shilov, V.; Glasby, G.; et al. Seafloor massive sulfides from the northern equatorial Mid-Atlantic Ridge: New discoveries and perspectives. Mar. Georesour. Geotechnol. 2010, 28, 222–239. [Google Scholar] [CrossRef]
- Kuiper, R.J.; Miedema, S.A.; Frumau, J.C.L. Influence of the hyperbaric effect on apparent material strength of fully saturated porous rock for low strain rates. In Proceedings of the Offshore Technology Conference, Houston, TX, USA, 6–9 May 2013. [Google Scholar]
- Spagnoli, G.; Jahn, A.; Halbach, P. First results regarding the influence of mineralogy on the mechanical properties of seafloor massive sulfide samples. Eng. Geol. 2016, 214, 127–135. [Google Scholar] [CrossRef]
- Grima, M.A.; Miedema, S.A.; Ketterij, R.G.; Yenigül, N.B.; Rhee, C. Effect of high hyperbaric pressure on rock cutting process. Eng. Geol. 2015, 196, 24–36. [Google Scholar] [CrossRef]
- Kaitkay, P.; Lei, S. Experimental study of rock cutting under external hydrostatic pressure. J. Mater. Process. Tech. 2005, 159, 206–213. [Google Scholar] [CrossRef]
- Helmons, R.L.J.; Miedema, S.A.; Rhee, C. A New approach to model hyperbaric rock cutting processes. In Proceedings of the 33rd ASME International Conference on Ocean, Offshore and Arctic Engineering, San Francisco, CA, USA, 8–13 June 2014. [Google Scholar]
- Alvarez, G.M.; Boomsma, W.; Hofstra, F.; Lotman, R. A linear rock cutting test set-up for 3 dimensional tests under hyperbaric pressure. In Proceedings of the Offshore Technology Conference, Houston, TX, USA, 30 April–3 May 2012. [Google Scholar]
- Menezes, P.L.; Lovell, M.R.; Avdeev, I.V.; Higgs, C.F. Studies on the formation of discontinuous rock fragments during cutting operation. Int. J. Rock. Mech. Min. 2014, 71, 131–142. [Google Scholar] [CrossRef]
- Helmons, R.L.J.; Miedema, S.A.; Grima, M.A.; Rhee, C. Modeling fluid pressure effects when cutting saturated rock. Eng. Geol. 2016, 211, 50–60. [Google Scholar] [CrossRef]
- Estay, D.A.; Chiang, L.E. Discrete crack model for simulating rock comminution processes with the Discrete Element Method. Int. J. Rock. Mech. Min. 2013, 60, 125–133. [Google Scholar] [CrossRef]
- Rojek, J.; Onate, E.; Labra, C.; Kargl, H. Discrete element simulation of rock cutting. Int. J. Rock. Mech. Min. 2011, 48, 996–1010. [Google Scholar] [CrossRef]
- Lei, S.; Kaitkay, P.; Shen, X. Simulation of rock cutting using distinct element method-PFC2D. In Numerical Modeling in Micromechanics Via Particle Methods; Shimizu, Y., Hart, R., Cundall, P., Eds.; Tylor & Francis Group: London, UK, 2004; Volume 1, pp. 63–72. [Google Scholar]
- Su, O.; Akcin, N.A. Numerical simulation of rock cutting using the discrete element method. Int. J. Rock. Mech. Min. 2011, 48, 434–442. [Google Scholar] [CrossRef]
- Su, O.; Akcin, N.A.; Kamp, L. Modeling of cutting forces acting on a conical pick. In Proceedings of the EURO: TUN 2009 II International Conference on Computational Methods in Tunnelling, Bochum, Germany, 9–11 September 2009. [Google Scholar]
- Stavropoulou, M. Modeling of small-diameter rotary drilling tests on marbles. Int. J. Rock. Mech. Min. 2006, 43, 1034–1051. [Google Scholar] [CrossRef]
- Lunow, C.; Konietzky, H. Two-dimensional simulation of the pressing and the cutting rock destruction. In Proceedings of the EURO: TUN 2009 II International Conference on Computational Methods in Tunnelling, Bochum, Germany, 9–11 September 2009. [Google Scholar]
- Onate, E.; Rojek, J. Combination of discrete element and finite element methods for dynamic analysis of geomechanics problems. Comput. Method. Appl. Mech. Eng. 2004, 193, 3087–3128. [Google Scholar] [CrossRef]
- Li, X.Y.; Lv, Y.G.; Jiang, S.B.; Zeng, Q.L. Effects of spiral line for pick arrangement on boom type roadheader cutting load. Int. J. Simul. Model. 2016, 15, 170–180. [Google Scholar] [CrossRef]
- Huang, J.; Zhang, Y.; Zhu, L.; Wang, T. Numerical simulation of rock cutting in deep mining conditions. Int. J. Rock. Mech. Min. 2016, 100, 80–86. [Google Scholar] [CrossRef]
- Rahman, M.; Schott, D.L.; Miedema, S.A.; Lodewijks, G. Simulation of cutting process by hybrid granular and multibody dynamics software. In Proceedings of the 3rd International Conference on Bulksolids, Glasgow, UK, 9–10 September 2010. [Google Scholar]
- Abdeli, M.; Miedema, S.A.; Rhee, C.; Alvarez, G.M. Discrete element method modelling of sand cutting. In Proceedings of the WODCON XIX, Beijing, China, 9–14 September 2010. [Google Scholar]
- Escartin, J.; Hirth, G.; Evans, B. Nondilatant brittle deformation of serpentinites: Implications for Mohr-Coulomb theory and the strength of faults. J. Geophys. Res. 1997, 102, 2897–2913. [Google Scholar] [CrossRef]
- Griffiths, D.V. Failure criteria interpretation based on Mohr-Coulomb friction. J. Geotech. Eng. 1990, 116, 986–999. [Google Scholar] [CrossRef]
- Labuz, J.F.; Zang, A. Mohr–Coulomb failure criterion. Rock. Mech. Rock. Eng. 2012, 45, 975–979. [Google Scholar] [CrossRef]
- Wyk, G.; Els, D.N.J.; Akdogan, G.; Bradshaw, S.M.; Sacks, N. Discrete element simulation of tribological interactions in rock cutting. Int. J. Rock. Mech. Min. 2014, 65, 8–19. [Google Scholar]
- Spagnoli, G.; Rongau, J.; Denegre, J.; Miedema, S.A. A novel mining approach for seafloor massive sulfide deposits. In Proceedings of the Offshore Technology Conference, Houston, TX, USA, 2–5 May 2016. [Google Scholar]
- Spagnoli, G.; Miedema, S.A.; Herrmann, C.; Rongau, J.; Weixler, L.; Denegre, J. Preliminary design of a trench cutter system for deep-sea mining applications under hyperbaric conditions. IEEE J. Ocean. Eng. 2015, 41, 930–943. [Google Scholar] [CrossRef]
- Miedema, S.A.; Zijsling, D. Hyperbaric rock cutting. In Proceedings of the ASME 31st International Conference on Ocean, Offshore and Arctic Engineering, Rio de Janeiro, Brazil, 1–6 July 2012. [Google Scholar]





















| Number | Diameter (mm) | Height (mm) | c/% | |||||
|---|---|---|---|---|---|---|---|---|
| Cu | Fe | Zn | S | SiO2 | Ba | |||
| 1-1 | 49.71 | 100.67 | 1.10 | 18.83 | 19.37 | 17.80 | 27.17 | 2.74 |
| 1-2 | 48.96 | 96.67 | 6.14 | 24.97 | 12.74 | 34.49 | 5.14 | 0.14 |
| 2-1 | 51.26 | 100.28 | 3.27 | 26.14 | 3.97 | 30.74 | 7.54 | 7.98 |
| 2-2 | 51.68 | 100.13 | 2.66 | 14.21 | 17.63 | 30.56 | 20.03 | 0.89 |
| 3-1 | 50.65 | 100.26 | 2.57 | 37.47 | 4.33 | 40.99 | 0.19 | 0.04 |
| 3-2 | 50.46 | 100.18 | 14.47 | 38.67 | 6.99 | 29.77 | 4.25 | 0.09 |
| 4-1 | 51.50 | 101.68 | 3.07 | 32.74 | 17.66 | 39.62 | 2.37 | 0.00 |
| 4-2 | 49.23 | 96.96 | 2.13 | 22.78 | 27.98 | 34.97 | 2.81 | 0.14 |
| 4-3 | 48.89 | 101.54 | 5.32 | 33.31 | 5.02 | 30.40 | 19.50 | 2.04 |
| 5-1 | 48.50 | 98.88 | 8.84 | 28.64 | 9.47 | 34.13 | 4.68 | 0.04 |
| Parameters | Values |
|---|---|
| Accuracy of load and strain measurements | of the maximum display value |
| Triaxial range of temperature () | |
| Axial load (KN) | |
| Pore water pressure (MPa) | |
| Confining pressure (MPa) | |
| Delta P Permeability (MPa) |
| Number | Peak Load (KN) | UCS (MPa) | Elasticity Modulus (MPa) | Poisson’s Ratio |
|---|---|---|---|---|
| 1-1 | 17.406 | 8.969 | 11,003 | 0.13 |
| 2-2 | 13.995 | 6.672 | 10,998 | 0.08 |
| 4-3 | 28.325 | 15.088 | 12,460 | 0.11 |
| Average | 10.243 | 11,487 | 0.11 | |
| Number | Peak Load (KN) | ||
|---|---|---|---|
| 4-2 | 28.275 | 1.0 | 14.856 |
| 1-2 | 30.973 | 2.0 | 16.452 |
| 2-1 | 40.547 | 2.0 | 19.648 |
| 5-1 | 41.921 | 3.0 | 22.691 |
| 4-1 | 52.102 | 4.0 | 25.012 |
| 3-1 | 63.756 | 5.0 | 31.643 |
| 3-2 | 72.588 | 6.0 | 36.298 |
| Source of the Results | UCS (MPa) | Elastic Modulus (GPa) | Poisson’s Ratio |
|---|---|---|---|
| The test | 7.82 | 11487 | 0.11 |
| The simulation | 7.23 | 10874 | 0.115 |
| The error between simulation and test | 7% | 5% | 4.5% |
| Source of the Results | Internal Friction Angle (°) | the Cohesion (MPa) |
|---|---|---|
| The test | 38 | 2.447 |
| The simulation | 36.2 | 2.62 |
| The error between simulation and test | 5% | 6.6% |
| Parameters | The Lower Layer | The Upper Layer |
|---|---|---|
| The minimum particle size (mm) | 0.5 | 1 |
| Particle size ratio | 1.2 | 1.2 |
| Density (g/cm3) | 2.5 | 1.0 |
| Equivalent elastic modulus (MPa) | ||
| Grain stiffness ratio | 2.5 | 2.5 |
| Frictional coefficient | 0.78 | 0.78 |
| Compressive strength of parallel bond (MPa) | 10 | |
| Cohesion of parallel bond (MPa) | 2 | |
| Normal stiffness of parallel bond (MPa) | 300 | |
| Tangential stiffness of parallel bond (MPa) | 300 | |
| Stiffness ratio of parallel bond | 1 | 1 |
| Radius factor of parallel bond | 1 | 1 |
© 2019 by the authors. Licensee MDPI, Basel, Switzerland. This article is an open access article distributed under the terms and conditions of the Creative Commons Attribution (CC BY) license (http://creativecommons.org/licenses/by/4.0/).
Share and Cite
Dai, Y.; Ma, F.; Zhu, X.; Liu, H.; Huang, Z.; Xie, Y. Mechanical Tests and Numerical Simulations for Mining Seafloor Massive Sulfides. J. Mar. Sci. Eng. 2019, 7, 252. https://doi.org/10.3390/jmse7080252
Dai Y, Ma F, Zhu X, Liu H, Huang Z, Xie Y. Mechanical Tests and Numerical Simulations for Mining Seafloor Massive Sulfides. Journal of Marine Science and Engineering. 2019; 7(8):252. https://doi.org/10.3390/jmse7080252
Chicago/Turabian StyleDai, Yu, Feiyue Ma, Xiang Zhu, He Liu, Zhonghua Huang, and Ya Xie. 2019. "Mechanical Tests and Numerical Simulations for Mining Seafloor Massive Sulfides" Journal of Marine Science and Engineering 7, no. 8: 252. https://doi.org/10.3390/jmse7080252
APA StyleDai, Y., Ma, F., Zhu, X., Liu, H., Huang, Z., & Xie, Y. (2019). Mechanical Tests and Numerical Simulations for Mining Seafloor Massive Sulfides. Journal of Marine Science and Engineering, 7(8), 252. https://doi.org/10.3390/jmse7080252

