Evaluation of Offshore Hydrogen Generation Capabilities via Wind Energy Integration Through a Comparative Study of Eight Sites
Abstract
1. Introduction
2. Materials and Methods
2.1. Wind Datasets
2.2. Proposed Wind Turbines
2.3. Proposed Electrolyzers
2.4. Target Area
2.5. Methods
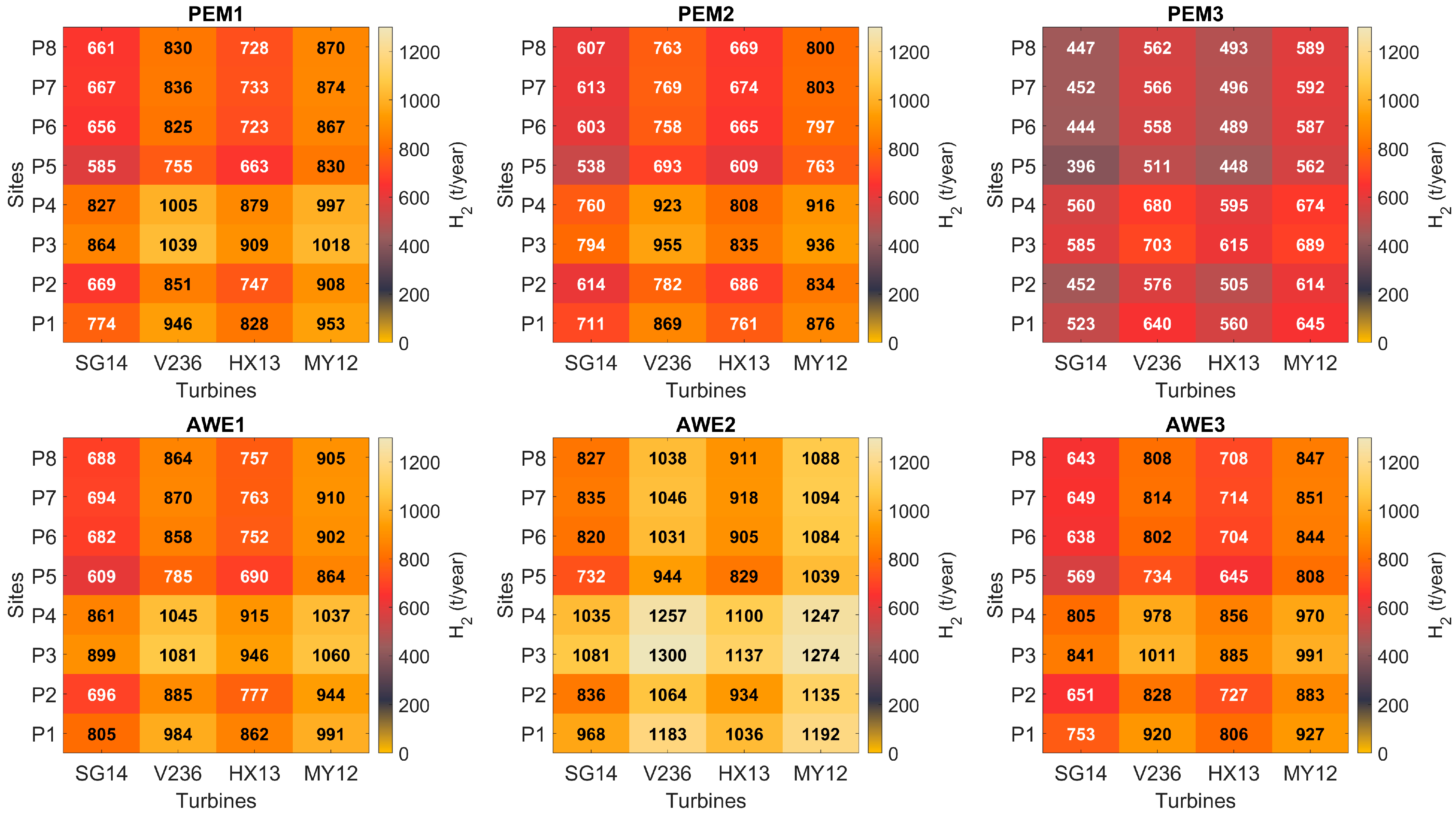
3. Results and Discussion
4. Discussion
5. Conclusions
Author Contributions
Funding
Data Availability Statement
Conflicts of Interest
Appendix A
















































References
- IRENA. Renewable Capacity Statistics 2025; International Renewable Energy Agency: Abu Dhabi, United Arab Emirates, 2025. [Google Scholar]
- International Energy Agency. Renewables 2024—Analysis and Forecasts to 2030. Available online: https://www.iea.org/reports/renewables-2024 (accessed on 24 January 2025).
- Desalegn, B.; Gebeyehu, D.; Tamrat, B.; Tadiwose, T.; Lata, A. Onshore versus Offshore Wind Power Trends and Recent Study Practices in Modeling of Wind Turbines’ Life-Cycle Impact Assessments. Clean. Eng. Technol. 2023, 17, 100691. [Google Scholar] [CrossRef]
- Bosch, J.; Staffell, I.; Hawkes, A.D. Temporally Explicit and Spatially Resolved Global Offshore Wind Energy Potentials. Energy 2018, 163, 766–781. [Google Scholar] [CrossRef]
- Zhang, L.; Hu, Y.; Ye, J.; Qiu, Y. Planning of Far-Offshore Wind Power Considering Nearshore Relay Points and Coordinated Hydrogen Production. Electronics 2026, 15, 508. [Google Scholar] [CrossRef]
- Kumar, P.; Paul, S.; Kumar Saha, A.; Yadav, O. Recent Advancements in Planning and Reliability Aspects of Large-Scale Deep Sea Offshore Wind Power Plants: A Review. IEEE Access 2025, 13, 3738–3767. [Google Scholar] [CrossRef]
- Shen, X.; Li, S.; Li, H. Large-Scale Offshore Wind Farm Electrical Collector System Planning: A Mixed-Integer Linear Programming Approach. In Proceedings of the 2021 IEEE 5th Conference on Energy Internet and Energy System Integration (EI2), Taiyuan, China, 22–24 October 2021; pp. 1248–1253. [Google Scholar]
- Dute, E.F.; Fokkema, J.E.; Land, M.J.; Wortmann, J.C.; Douwes, M. Determining Onshore or Offshore Hydrogen Storage for Large Offshore Wind Parks: The North Sea Wind Power Hub Case. J. Clean. Prod. 2024, 472, 143395. [Google Scholar] [CrossRef]
- Shiva Kumar, S.; Lim, H. An Overview of Water Electrolysis Technologies for Green Hydrogen Production. Energy Rep. 2022, 8, 13793–13813. [Google Scholar] [CrossRef]
- Hill, S.J.P.; Bamisile, O.; Hatton, L.; Staffell, I.; Jansen, M. The Cost of Clean Hydrogen from Offshore Wind and Electrolysis. J. Clean. Prod. 2024, 445, 141162. [Google Scholar] [CrossRef]
- Xu, Y.; Cai, S.; Chi, B.; Tu, Z. Technological Limitations and Recent Developments in a Solid Oxide Electrolyzer Cell: A Review. Int. J. Hydrogen Energy 2024, 50, 548–591. [Google Scholar] [CrossRef]
- Vedrtnam, A.; Kalauni, K.; Pahwa, R. Water Electrolysis Technologies and Their Modeling Approaches: A Comprehensive Review. Eng 2025, 6, 81. [Google Scholar] [CrossRef]
- Zhang, Y.; Chen, J.; Han, Y.; Gong, Z.; Chen, L.; Wang, X.; Zhang, X.; Yuan, J.; Xue, N.; Zhou, W. Electrolysis of Seawater and Salt-Lake Water for Hydrogen Production: A Review on Technical Challenges, Material Design, and Future Directions. Energy Fuels 2026, 40, 4076–4099. [Google Scholar] [CrossRef]
- Aminaho, E.N.; Aminaho, N.S.; Aminaho, F. Techno-Economic Assessments of Electrolyzers for Hydrogen Production. Appl. Energy 2025, 399, 126515. [Google Scholar] [CrossRef]
- Zhou, Z.; Cai, G.; Huang, Y.; Bai, R.; Nie, S.; Chen, X. Spatial and Temporal Evolution of Cost-Competitive Offshore Hydrogen in China: A Techno-Economic Analysis. Renew. Sustain. Energy Rev. 2024, 203, 114780. [Google Scholar] [CrossRef]
- Juárez-Casildo, V.; Cervantes, I.; González-Huerta, R.D.G. Harnessing Offshore Wind for Decarbonization: A Geospatial Study of Hydrogen Production and Heavy Industry Utilization in Mexico. Int. J. Hydrogen Energy 2024, 83, 701–716. [Google Scholar] [CrossRef]
- Luo, Z.; Wang, X.; Wen, H.; Pei, A. Hydrogen Production from Offshore Wind Power in South China. Int. J. Hydrogen Energy 2022, 47, 24558–24568. [Google Scholar] [CrossRef]
- Dinh, Q.V.; Dinh, V.N.; Mosadeghi, H.; Todesco Pereira, P.H.; Leahy, P.G. A Geospatial Method for Estimating the Levelised Cost of Hydrogen Production from Offshore Wind. Int. J. Hydrogen Energy 2023, 48, 15000–15013. [Google Scholar] [CrossRef]
- Vidas, L.; Castro, R.; Bosisio, A.; Pires, A. Optimal Sizing of Renewables-to-Hydrogen Systems in a Suitable-Site-Selection Geospatial Framework: The Case Study of Italy and Portugal. Renew. Sustain. Energy Rev. 2024, 202, 114620. [Google Scholar] [CrossRef]
- Rogeau, A.; Vieubled, J.; de Coatpont, M.; Affonso Nobrega, P.; Erbs, G.; Girard, R. Techno-Economic Evaluation and Resource Assessment of Hydrogen Production through Offshore Wind Farms: A European Perspective. Renew. Sustain. Energy Rev. 2023, 187, 113699. [Google Scholar] [CrossRef]
- Song, S.; Lin, H.; Sherman, P.; Yang, X.; Nielsen, C.P.; Chen, X.; McElroy, M.B. Production of Hydrogen from Offshore Wind in China and Cost-Competitive Supply to Japan. Nat Commun 2021, 12, 6953. [Google Scholar] [CrossRef]
- Rusu, E. An Evaluation of the Expected Wind Dynamics in the Black Sea in the Context of the Climate Change. e-Prime—Adv. Electr. Eng. Electron. Energy 2023, 4, 100154. [Google Scholar] [CrossRef]
- Çarpar, T.; Ayat, B.; Aydoğan, B. Spatio-Seasonal Variations in Long-Term Trends of Offshore Wind Speeds Over the Black Sea; an Inter-Comparison of Two Reanalysis Data. Pure Appl. Geophys. 2020, 177, 3013–3037. [Google Scholar] [CrossRef]
- Silion, A.; Rusu, L.; Manolache, A.-I. Assessment of Offshore Wind Potential in the Six Countries with Access to the Black Sea. In Clean Energy Research: Now and in the Future; Chen, L., Ed.; Springer Nature: Cham, Switzerland, 2025; pp. 113–121. ISBN 978-3-031-99312-1. [Google Scholar]
- Koletsis, I.; Kotroni, V.; Lagouvardos, K.; Soukissian, T. Assessment of Offshore Wind Speed and Power Potential over the Mediterranean and the Black Seas under Future Climate Changes. Renew. Sustain. Energy Rev. 2016, 60, 234–245. [Google Scholar] [CrossRef]
- Islek, F.; Yuksel, Y. Evaluation of Future Wind Power Potential and Their Projected Changes in the Black Sea and Possible Stable Locations for Wind Farms. Ocean Eng. 2022, 266, 112832. [Google Scholar] [CrossRef]
- Manolache, A.I.; Chirosca, A.-M.; Rusu, L. Assessment of Wind and Wave Climate Dynamics in the Mediterranean and Black Seas for Renewable Energy Potential Analysis. In Trends in Clean Energy Research: Selected Papers from the 9th International Conference on Advances on Clean Energy Research (ICACER 2024); Chen, L., Ed.; Springer Nature: Cham, Switzerland, 2024; pp. 83–90. ISBN 978-3-031-67987-2. [Google Scholar]
- Bekçi, E.; Koca, K.; Bashir, M.F. Design Analysis of a Wave Energy Converter for Hydrogen Generation near Shoreline of Black Sea. Process Saf. Environ. Prot. 2024, 186, 1–9. [Google Scholar] [CrossRef]
- Manolache, A.I.; Onea, F. A Spatial Analysis of the Wind and Hydrogen Production in the Black Sea Basin. Energies 2025, 18, 2936. [Google Scholar] [CrossRef]
- Zhang, Y.; Li, T.; Yang, Q.; Zhou, X. Prediction of Coupled Dynamic Performance of Floating Offshore Wind Turbine Using Unsteady Aerodynamic Model and Nonlinear Self-Excited Hydrodynamic Model. Energy 2026, 344, 140010. [Google Scholar] [CrossRef]
- ERA5|Technical Documentation. Available online: https://docs.meteoblue.com/en/meteo/data-sources/era5 (accessed on 24 May 2025).
- Alkhalidi, M.; Al-Dabbous, A.; Al-Dabbous, S.; Alzaid, D. Evaluating the Accuracy of the ERA5 Model in Predicting Wind Speeds Across Coastal and Offshore Regions. J. Mar. Sci. Eng. 2025, 13, 149. [Google Scholar] [CrossRef]
- Hu, W.; Scholz, Y.; Yeligeti, M.; Bremen, L.V.; Deng, Y. Downscaling ERA5 Wind Speed Data: A Machine Learning Approach Considering Topographic Influences. Environ. Res. Lett. 2023, 18, 094007. [Google Scholar] [CrossRef]
- Bell, B.; Hersbach, H.; Simmons, A.; Berrisford, P.; Dahlgren, P.; Horányi, A.; Muñoz-Sabater, J.; Nicolas, J.; Radu, R.; Schepers, D.; et al. The ERA5 Global Reanalysis: Preliminary Extension to 1950. Q. J. R. Meteorol. Soc. 2021, 147, 4186–4227. [Google Scholar] [CrossRef]
- Gandoin, R.; Garza, J. Underestimation of Strong Wind Speeds Offshore in ERA5: Evidence, Discussion and Correction. Wind Energy Sci. 2024, 9, 1727–1745. [Google Scholar] [CrossRef]
- Rubio, H.; Hatfield, D.; Hasager, C.B.; Kühn, M.; Gottschall, J. Ship-Based Lidar Measurements for Validating ASCAT-Derived and ERA5 Offshore Wind Profiles. Atmos. Meas. Tech. 2025, 18, 4949–4968. [Google Scholar] [CrossRef]
- Ramon, J.; Lledó, L.; Torralba, V.; Soret, A.; Doblas-Reyes, F.J. What Global Reanalysis Best Represents Near-Surface Winds? Q. J. R. Meteorol. Soc. 2019, 145, 3236–3251. [Google Scholar] [CrossRef]
- Olauson, J. ERA5: The New Champion of Wind Power Modelling? Renew. Energy 2018, 126, 322–331. [Google Scholar] [CrossRef]
- Memija, A. Dongfang Installs ‘World’s Largest Single-Capacity’ Offshore Wind Turbine for Testing. Offshore Wind, 3 September 2025.
- Paulino De Azevedo, J.H.; Pradelle, F.; Botelho, V.; Torres Serra, E.; Nohra Chaar Pradelle, R.; Leal Braga, S. An Integrated Geospatial Model for Evaluating Offshore Wind-to-Hydrogen Technical and Economic Production Potential in Brazil. Int. J. Hydrogen Energy 2025, 100, 800–815. [Google Scholar] [CrossRef]
- PEM Electrolyser—MC Series. Available online: https://nelhydrogen.com/product/mc-series-electrolyser/ (accessed on 14 February 2026).
- Green Hydrogen Solutions. Available online: https://www.thyssenkrupp-nucera.com/green-hydrogen-solutions/ (accessed on 14 February 2026).
- Pressurised Alkaline Electrolysers—John Cockerill. Available online: https://hydrogen.johncockerill.com/en/products/electrolysers/ (accessed on 14 February 2026).
- Onea, F.; Rusu, E. The Expected Efficiency and Coastal Impact of a Hybrid Energy Farm Operating in the Portuguese Nearshore. Energy 2016, 97, 411–423. [Google Scholar] [CrossRef]
- Diaconita, A.I.; Andrei, G.; Rusu, L. An Overview of the Offshore Wind Energy Potential for Twelve Significant Geographical Locations across the Globe. Energy Rep. 2022, 8, 194–201. [Google Scholar] [CrossRef]
- Onea, F.; Diaconita, A.; Ganea, D. Assessment of the Black Sea High-Altitude Wind Energy. J. Mar. Sci. Eng. 2022, 10, 1463. [Google Scholar] [CrossRef]
- Diaconita, A.I.; Rusu, L.; Andrei, G. A Local Perspective on Wind Energy Potential in Six Reference Sites on the Western Coast of the Black Sea Considering Five Different Types of Wind Turbines. Inventions 2021, 6, 44. [Google Scholar] [CrossRef]
- AlZohbi, G.; AlShuhail, L.; Almoaikel, A. An Estimation of Green Hydrogen Generation from Wind Energy: A Case Study from KSA. Energy Rep. 2023, 9, 262–267. [Google Scholar] [CrossRef]
- Douak, M.; Settou, N. Estimation of Hydrogen Production Using Wind Energy in Algeria. Energy Procedia 2015, 74, 981–990. [Google Scholar] [CrossRef]
- Virah-Sawmy, D.; Beck, F.J.; Sturmberg, B. Ignore Variability, Overestimate Hydrogen Production—Quantifying the Effects of Electrolyzer Efficiency Curves on Hydrogen Production from Renewable Energy Sources. Int. J. Hydrogen Energy 2024, 72, 49–59. [Google Scholar] [CrossRef]
- Safari, F.; Dincer, I. Assessment and Optimization of an Integrated Wind Power System for Hydrogen and Methane Production. Energy Convers. Manag. 2018, 177, 693–703. [Google Scholar] [CrossRef]
- Beiter, P.; Musial, W.; Smith, A.; Kilcher, L.; Damiani, R.; Maness, M.; Sirnivas, S.; Stehly, T.; Gevorgian, V.; Mooney, M. A Spatial-Economic Cost-Reduction Pathway Analysis for US Offshore Wind Energy Development from 2015–2030; National Renewable Energy Lab. (NREL): Golden, CO, USA, 2016.
- Liang, Y.; Ma, Y.; Wang, H.; Mesbahi, A.; Jeong, B.; Zhou, P. Levelised Cost of Energy Analysis for Offshore Wind Farms—A Case Study of the New York State Development. Ocean Eng. 2021, 239, 109923. [Google Scholar] [CrossRef]














| Electrolyzer ID | System | Production Capacity (kg/h) | Energy Consumption (kWh/kgH2) |
|---|---|---|---|
| PEM1 | Cummins (Columbus, IN, USA) HyLYZER® 4000 | 360 | 51.0 |
| PEM2 | Nel Hydrogen (Oslo, Norway) Nel M4000 | 354 | 53.2 |
| PEM3 | Siemens SiLYZER 300 | 18.6 | 62.0 |
| AWE1 | Thyssenkrupp Nucera (Dortmund, Germany) Scalum® 20 MW | 360 | 50 |
| AWE2 | Nel Hydrogen Nel A4000 | 216–349 | 42.3–48.9 |
| AWE3 | McPhy (Belfort, France) McLyzer 3200 | 288 | 51.7 |
| ID | ID | ||
|---|---|---|---|
| PEM1 | 65.35% | AWE1 | 66.66% |
| PEM2 | 62.65% | AWE2 | 68.16–78.79% |
| PEM3 | 53.76% | AWE3 | 64.47% |
| Site | Turbine Code | PEM1 | PEM2 | PEM3 | AWE1 | AWE2 | AWE3 |
|---|---|---|---|---|---|---|---|
| P1 | HX13 | 3.008 | 3.086 | 0.189 | 2.949 | 2.111 | 2.439 |
| P1 | MY12 | 2.614 | 2.682 | 0.164 | 2.563 | 1.834 | 2.12 |
| P1 | SG14 | 3.22 | 3.303 | 0.202 | 3.157 | 2.259 | 2.612 |
| P1 | V236 | 2.634 | 2.701 | 0.165 | 2.582 | 1.848 | 2.136 |
| P2 | HX13 | 3.335 | 3.421 | 0.209 | 3.27 | 2.34 | 2.705 |
| P2 | MY12 | 2.744 | 2.815 | 0.172 | 2.69 | 1.925 | 2.225 |
| P2 | SG14 | 3.725 | 3.821 | 0.234 | 3.652 | 2.614 | 3.021 |
| P2 | V236 | 2.929 | 3.004 | 0.184 | 2.871 | 2.055 | 2.375 |
| P3 | HX13 | 2.743 | 2.813 | 0.172 | 2.689 | 1.924 | 2.224 |
| P3 | MY12 | 2.448 | 2.511 | 0.154 | 2.4 | 1.717 | 1.985 |
| P3 | SG14 | 2.884 | 2.958 | 0.181 | 2.827 | 2.024 | 2.339 |
| P3 | V236 | 2.399 | 2.46 | 0.151 | 2.352 | 1.683 | 1.945 |
| P4 | HX13 | 2.832 | 2.905 | 0.178 | 2.777 | 1.987 | 2.297 |
| P4 | MY12 | 2.499 | 2.564 | 0.157 | 2.45 | 1.754 | 2.027 |
| P4 | SG14 | 3.011 | 3.089 | 0.189 | 2.952 | 2.113 | 2.442 |
| P4 | V236 | 2.479 | 2.543 | 0.156 | 2.43 | 1.739 | 2.01 |
| P5 | HX13 | 3.76 | 3.857 | 0.236 | 3.687 | 2.638 | 3.05 |
| P5 | MY12 | 3.001 | 3.078 | 0.188 | 2.942 | 2.106 | 2.434 |
| P5 | SG14 | 4.26 | 4.37 | 0.268 | 4.177 | 2.989 | 3.455 |
| P5 | V236 | 3.303 | 3.388 | 0.207 | 3.238 | 2.317 | 2.679 |
| P6 | HX13 | 3.445 | 3.534 | 0.216 | 3.377 | 2.417 | 2.794 |
| P6 | MY12 | 2.874 | 2.948 | 0.18 | 2.817 | 2.016 | 2.33 |
| P6 | SG14 | 3.799 | 3.896 | 0.239 | 3.724 | 2.665 | 3.081 |
| P6 | V236 | 3.021 | 3.099 | 0.19 | 2.962 | 2.12 | 2.45 |
| P7 | HX13 | 3.397 | 3.485 | 0.213 | 3.331 | 2.384 | 2.755 |
| P7 | MY12 | 2.85 | 2.924 | 0.179 | 2.795 | 2 | 2.312 |
| P7 | SG14 | 3.734 | 3.831 | 0.235 | 3.661 | 2.62 | 3.029 |
| P7 | V236 | 2.979 | 3.056 | 0.187 | 2.921 | 2.09 | 2.416 |
| P8 | HX13 | 3.424 | 3.513 | 0.215 | 3.357 | 2.403 | 2.777 |
| P8 | MY12 | 2.865 | 2.939 | 0.18 | 2.809 | 2.01 | 2.323 |
| P8 | SG14 | 3.771 | 3.869 | 0.237 | 3.698 | 2.646 | 3.059 |
| P8 | V236 | 3.003 | 3.081 | 0.189 | 2.944 | 2.107 | 2.436 |
Disclaimer/Publisher’s Note: The statements, opinions and data contained in all publications are solely those of the individual author(s) and contributor(s) and not of MDPI and/or the editor(s). MDPI and/or the editor(s) disclaim responsibility for any injury to people or property resulting from any ideas, methods, instructions or products referred to in the content. |
© 2026 by the authors. Licensee MDPI, Basel, Switzerland. This article is an open access article distributed under the terms and conditions of the Creative Commons Attribution (CC BY) license.
Share and Cite
Manolache, M.; Manolache, A.I.; Andrei, G. Evaluation of Offshore Hydrogen Generation Capabilities via Wind Energy Integration Through a Comparative Study of Eight Sites. J. Mar. Sci. Eng. 2026, 14, 627. https://doi.org/10.3390/jmse14070627
Manolache M, Manolache AI, Andrei G. Evaluation of Offshore Hydrogen Generation Capabilities via Wind Energy Integration Through a Comparative Study of Eight Sites. Journal of Marine Science and Engineering. 2026; 14(7):627. https://doi.org/10.3390/jmse14070627
Chicago/Turabian StyleManolache, Marius, Alexandra Ionelia Manolache, and Gabriel Andrei. 2026. "Evaluation of Offshore Hydrogen Generation Capabilities via Wind Energy Integration Through a Comparative Study of Eight Sites" Journal of Marine Science and Engineering 14, no. 7: 627. https://doi.org/10.3390/jmse14070627
APA StyleManolache, M., Manolache, A. I., & Andrei, G. (2026). Evaluation of Offshore Hydrogen Generation Capabilities via Wind Energy Integration Through a Comparative Study of Eight Sites. Journal of Marine Science and Engineering, 14(7), 627. https://doi.org/10.3390/jmse14070627

