Next Article in Journal
Effect of Density Ratio and Surface Tension on Vortex–Interface Interactions: A Numerical Study
Previous Article in Journal
A Novel ROA-Optimized CNN-BiGRU Hybrid Network with an Attention Mechanism for Ship Fuel Consumption Prediction
Previous Article in Special Issue
Numerical Investigation of Hydrodynamic Characteristics of Circular Cylinder with Surface Roughness at Subcritical Reynolds Number
 
 
Font Type:
Arial Georgia Verdana
Font Size:
Aa Aa Aa
Line Spacing:
Column Width:
Background:
Article

Random Vibrations of Wind Turbines Mitigated by the Hourglass Transition Piece

1
Department of Engineering, University of Exeter, North Park Rd., Exeter EX44PY, UK
2
Department of Engineering and Geology, University G. D’Annunzio of Chieti-Pescara, Viale Pindaro 42, 65127 Pescara, Italy
*
Author to whom correspondence should be addressed.
J. Mar. Sci. Eng. 2026, 14(4), 325; https://doi.org/10.3390/jmse14040325
Submission received: 16 January 2026 / Revised: 3 February 2026 / Accepted: 5 February 2026 / Published: 7 February 2026
(This article belongs to the Special Issue New Era in Offshore Wind Energy)

Abstract

Wind turbines are subjected to complex stochastic loadings generated by various environmental sources, including wind, waves, and earthquakes. Efficient mitigation of the resulting vibrations in the structural components, such as the tower and monopile, leads to more cost-effective designs and longer operational life by reducing fatigue accumulation. Conventional vibration control systems have primarily relied on tuned mass dampers. However, alternative and non-conflicting strategies that modify the connection between the tower and the foundation at the transition piece level have recently gained attention. This study investigates the hourglass transition piece (HGTP), a novel concept that utilises the Reduced Column Section approach. The hourglass geometry enables fine-tuning of the wind turbine’s fundamental period and introduces controlled rotational motion, both contributing to a reduction in structural stresses and improved dynamic performance. To assess the efficacy of the HGTP as a vibration control system, an analytical model of a simplified wind turbine is developed. The formulation employs frequency-dependent solutions of prismatic and tapered beam elements, assembled to capture the dynamic behaviour of the turbine equipped with the HGTP. Exact dynamic stiffness matrices are derived and assembled into a stochastic framework suitable for uniformly modulated non-stationary random processes. Modal and dynamic responses are evaluated for different reductions of the hourglass central section. A case study based on the IEA 15 MW Reference Wind Turbine demonstrates that the HGTP can mitigate stochastic mean peak bending moments induced by wind and earthquake excitations by up to 50%, confirming its potential as an effective vibration control solution.

1. Introduction

To contribute towards achieving the net-zero target by 2050, the offshore wind energy sector is rapidly evolving both technologically and commercially. This evolution is marked by the advancement of wind turbines from 5 MW to 20 MW, with projections suggesting installations of 35 MW turbines by 2035 [1].
A significant challenge posed by this rapid development is mitigating the stress on the wind tower and its foundation caused by dynamic forces such as wind, waves and even earthquakes. Excessive vibrations can severely impact the wind turbine, impairing energy conversion efficiency and potentially leading to catastrophic failures due to fatigue or ultimate-limit state conditions.
Various methods have been developed to control excessive vibrations, as comprehensively reviewed by Zuo et al. [2], highlighting the main strategies currently under investigation. Among conventional passive control strategies, the tuned mass damper (TMD), first applied to wind turbines by Enevoldsen and Mørk [3], is one of the most extensively studied devices. Lackner and Rotea [4] extended the aero-elastic code for wind turbines, FAST [5], by incorporating TMD equations to explore its potential for offshore wind turbines. This implementation was further utilised in [6] to investigate the effect of wind–wave misalignment on the tower, demonstrating significant improvements in the side–side response. Ghassempour et al. [7] showed that the optimal tuning frequency of the TMD is variable and should be adjusted according to the instantaneous wind velocity. The tuning of TMDs under varying load sources is a limitation exacerbated in the presence of broadband stochastic loading, such as that generated by seismic events. This has prompted researchers to enhance the classical TMD device. Lu et al. [8] proposed a multi-tuned mass damper (MTMD) system to manage dynamic responses under combined wind–wave-seismic loading, effectively reducing peak spectral values in frequency-domain analysis. Marian and Giaralis [9] developed a novel tuned mass-damper–inerter (TMDI), subsequently used to seismically protect onshore wind turbines [10].
Further advancements include novel devices that can be used in place of, or alongside, traditional devices. Minh Le et al. [11] introduced a diagonal bracing friction damper system to the support structure to enhance overall tower damping. Zhao et al. [12] designed a scissor-jack-braced viscous damper system applied at the base of onshore wind turbines to mitigate vibrations from both seismic and wind conditions. Di Paolo et al. [13] proposed a rotational friction damper installed at the base of onshore towers, in parallel with a rotational spring, to dissipate energy and facilitate re-centring. Sorge et al. [14] recognised the significance of accounting for variable loading conditions through stochastic processes and improved devices using an exhaustive search optimisation technique to determine optimal friction moments and rotational spring stiffness. Ke et al. [15] developed a self-centring jacket-type offshore wind turbine with an energy dissipation bearing at the tower base to enhance structural resilience and serviceability. This innovation involves replacing the traditional transition piece (TP) connecting the tower and jacket with a novel TP system equipped with the self-centring energy dissipation bearing [16,17].
These studies underscore the importance of incorporating rocking at the base of the structure to boost energy dissipation throughout the system. This strategy was introduced as a vibration control strategy for wind turbines by Rostami and Tombari [18] through the Reduced Column Section (RCS) approach. The RCS leverages benefits from effective seismic engineering technologies, such as the reduced beam section [19] approach and the rocking design approach used for foundations [20] or moment-resistant frame columns [21]. Hence, the RCS has been practically implemented in a novel design of the transition piece, termed the hourglass transition piece (HGTP), owing to its distinctive geometry [18], as shown in Figure 1.
In view of the substantial evidence indicating that structural and fatigue reliability are strongly influenced by the stochastic nature of multiple hazard actions on wind turbines [22,23,24], novel vibration-control devices must be designed to incorporate these stochastic effects.
In this study, an analytical formulation of a simplified wind turbine model is first established. Exact solutions for a tapered beam [25,26] are specialised and combined to define an offshore wind turbine model, which can be directly used for computing modal frequencies and modal shapes of the structure. The exact solution for each structural component is then implemented into a frequency-dependent element stiffness matrix to develop a stochastic analytical formulation of the wind turbine model subjected to stochastic aerodynamic and seismic quasi-stationary Gaussian processes. As pointed out by Bozyigit et al. [27], who developed an analytical formulation for an onshore wind turbine using the transfer matrix method, there is a gap in the literature related to beam-column analytical formulations for the seismic response analysis of wind turbines. Therefore, the proposed analytical offshore wind turbine model is adopted to evaluate the impact of the novel HGTP on excessive vibration mitigation, highlighting key design parameters. Verification and analyses are conducted for a specific case study using the IEA 15 MW reference wind turbine [28].

2. Analytical Formulation for Wind Turbine Models

2.1. Closed-Form Solutions for Constant and Tapered Segments

Let us consider the simplified model of a wind turbine, as illustrated in Figure 2. It is composed of three main sections: the monopile, the transition piece, and the wind tower. Each section is defined by either a prismatic segment, as in the case of the monopile, or by a tapered segment, as in the case of the wind tower. The hourglass-shaped transition piece, HGTP, is modelled as a symmetric double-cone replacing the traditional prismatic transition piece, as shown in Figure 2. The free lateral vibrations, v ( x , t ) , of the entire wind turbine can be obtained by solving the partial differential equation derived by extending the classical Euler–Bernoulli model to dynamic actions; for each segment, the generic governing equation is expressed as follows:
2 z 2 E ( z ) I ( z ) 2 v ( z , t ) x 2 + ρ ( z ) A ( z ) 2 v ( z , t ) t 2 = 0
where t is the time, z = x / L is the vertical local axis coordinate normalized by the total length of the considered segment, L, E ( z ) is the Young’s modulus, I ( z ) is the cross-sectional second moment of area, ρ ( z ) is the material density, and A ( z ) is the cross-sectional area.
By applying the Fourier transform to the displacements, i.e., F v ( z , t ) = V ( z , ω ) , Equation (1) can be formulated in the frequency domain as follows:
2 z 2 E ( z ) I ( z ) 2 V ( z , ω ) x 2 + ρ ( z ) A ( z ) ω 2 V ( z , ω ) = 0 .
Considering a constant Young’s modulus, E ( z ) = E , and material density, ρ ( z ) = ρ , within each segment, the closed-form solution of Equation (2) exists for specific expressions of the variations of the cross-section geometrical properties. Specifically, for prismatic sections, i.e., for A ( z ) = A and I ( z ) = I , the analytical solution of Equation (1) is given by:
V p r i s m ( z , ω ) = c 1 sin λ z + c 2 cos λ z + c 3 sinh λ z + c 4 cosh λ z
where c i , for i = 1 , , 4 are the integration constants, and λ is expressed as follows:
λ = L ρ A ω 2 E I 1 / 4
For non-prismatic, tapered, elements, the analytical solution of Equation (2) can be obtained considering polynomial expressions of the cross-section properties [25,26,29]:
A ( z ) = A 1 + α z n , I ( z ) = I 1 + α z n + 2 ,
where α indicates the slope of the property variation. Under such conditions, the closed-form solution can be expressed by using Bessel functions:
V t a p e r e d ( z , ω ) = 1 β n c 1 J n β , z + c 2 Y n β , z + c 3 I n β , z + c 4 K n β , z
in which J n , Y n , I n , K n are Bessel functions with order n of the first, second, first modified and second modified kind, respectively. The value β is determined as follows:
β = 2 λ α 1 + α z
Given that the segments of the wind turbine have a hollow circular cross-section of diameter D with thin walls, t h D , approximate formulas can be used for representing the cross-sectional area and second moment of area, respectively:
A = π D t h , I = π D 3 8 t h .
Equation (8) shows that a linear variation in diameter results in a linear change in area and a cubic change in the second moment of area, which corresponds to set n = 1 in Equation (5). Consequently, first-order Bessel functions are used in the solution of Equation (6). In this study, the simplified wind turbine model considers only tapered segments with linearly varying diameters, so for readability, the Bessel function subscripts n will be omitted hereafter.

2.2. Formulation of the Global Problem for Modal Analysis

To perform the modal analysis of the entire wind turbine, an analytical system of equations encompassing the solutions of the differential equations of Equations (3) and (6), as well as the boundary and continuity conditions, is established. In the following sections, the solution for each segment is established.

2.2.1. Monopile Segment (MP)

The displacement, solution of the differential equation in Equation (2), for the monopile segment of length L m p , diameter D m p and wall thickness t m p is specialised as follows:
V m p ( ϵ , ω ) = c 1 sin λ m p ϵ + c 2 cos λ m p ϵ + c 3 sinh λ m p ϵ + c 4 cosh λ m p ϵ
where ϵ is the normalised coordinate, and λ m p is obtained from Equation (4) using the sectional and material properties of the monopile.
The boundary conditions for a fixed-base wind turbine model are:
V m p ( 0 , ω ) = 0
V m p ( 0 , ω ) = 0
where hereinafter, the derivative with respect to the considered local variable is expressed through the prime notation. For instance, in case of segment with local variable ϵ , V ( x ) is the short notation for V ( ϵ , ω ) ϵ | ϵ = x . For a complaint-based wind turbine model, the following static conditions can be used:
V m p ( 0 , ω ) = r ( ω ) E I m p V m p ( 0 , ω )
V m p ( 0 , ω ) = x ( ω ) E I m p V m p ( 0 , ω )
where I m p is the second moment of area of the monopile computed through Equation (8), x and r are the translational and rotational frequency-dependent impedances [30], respectively.

2.2.2. HGTP Segment (TP)

The hourglass transition piece is described by two conical mirroring segments, each of length L t p and linear varying diameter between the largest value of D t p to the reduced section value of D r e d = R D · D t p . The factor R D is the reduced section multiplier, expressing the ratio between the diameter at the middle of the transition piece and the diameter at the interfaces with the remaining segments.
For R D 1 , the displacement equation for the first half-cone of normalised coordinate, υ , is:
V t p 1 ( υ , ω ) = 1 β t p 1 [ c 5 J β t p 1 , υ + c 6 Y β t p 1 , υ + c 7 I β t p 1 , υ + c 8 K β t p 1 , υ ]
where β t p 1 = 2 λ t p 1 α t p 1 1 + α t p 1 υ is determined from Equation (4) by replacing the relevant geometrical properties and considering the sectional slope α t p 1 = ( D r e d D t p ) D t p . The corresponding kinematic and static continuity conditions are set as follows:
V t p 1 ( 0 , ω ) = V m p ( 1 , ω )
1 L t p V t p 1 ( 0 , ω ) = 1 L m p V m p ( 1 , ω )
I t p 1 ( 0 L t p 2 V t p 1 ( 0 , ω ) = I m p L m p 2 V m p ( 1 , ω )
1 L t p 3 I t p 1 ( υ ) V t p 1 ( υ , ω ) | υ = 0 = I m p L m p 3 V m p ( 1 , ω ) .
The function I t p 1 ( υ ) is obtained from Equation (5) using the second moment of area of the largest section of the lower transition piece segment of diameter D t p , here set equal to D m p .
For the second half-cone of normalised coordinate, ψ , the equation is expressed as follows
V t p 2 ( ψ , ω ) = 1 β t p 2 [ c 9 J β t p 2 , ψ + c 10 Y β t p 2 , ψ + c 11 I β t p 2 , ψ + c 12 K β t p 2 , ψ ]
in which β t p 2 is obtained from Equation (4) using the corresponding properties and considering the sectional slope of α t p 2 = ( D t w D r e d ) / D r e d , where D t w is the diameter of the base of the wind tower. The kinematic and static continuity conditions are:
V t p 2 ( 0 , ω ) = V t p 1 ( 1 , ω )
V t p 2 ( 0 , ω ) = V t p 1 ( 1 , ω )
I t p 2 ( 0 ) V t p 2 ( 0 , ω ) = I t p 2 ( 1 ) V t p 1 ( 1 , ω )
I t p 2 ( ψ ) V t p 2 ( ψ , ω ) | ψ = 0 = I t p 1 ( υ ) V t p 1 ( υ , ω ) | υ = 1 .
Nevertheless, if a traditional transition piece is used, i.e., for R D = 1 , a single segment 2 · L t p long and with constant diameter D t p , is considered. The equation governing the displacement, V t p , is derived from Equation (3), as follows:
V t p ( ϵ , ω ) = c 5 sin λ m p ϵ + c 6 cos λ m p ϵ + c 7 sinh λ m p ϵ + c 8 cosh λ m p ϵ
where ϵ is the normalised coordinate, and continuity conditions given by:
V m p ( 1 , ω ) = V t p ( 0 , ω )
1 L m p V m p ( 1 , ω ) = 1 2 L t p V t p ( 0 , ω )
I m p L m p 2 V m p ( 1 , ω ) = I t p 4 L t p 2 V t p ( 0 , ω )
I m p L m p 3 V m p ( 1 , ω ) = 1 8 L t p 3 I t p V t p ( 0 , ω ) .

2.2.3. Wind Tower Segment (TW)

The final segment is represented by the wind tower, which has a length of L t w and a linear tapering profile ranging from the tower base, with a diameter of D t w , to the top of the tower, with a diameter of D t o p . In this simplified model, the rotor-nacelle assembly (RNA) is captured through a translational mass, m R N A , and a rotational inertia, J R N A located at the top of the wind tower. By specialising Equation (6) with the relevant properties, the solution is given by
V t w ( ξ , ω ) = 1 β t w [ c 13 J β t w , ξ + c 14 Y β t w , ξ + c 15 I β t w , ξ + c 16 K β t p 2 , ξ ]
where ξ is the normalised coordinate of the wind tower segment. The continuity conditions with the hourglass section are written as follows:
V t w ( 0 , ω ) = V t p 2 ( 1 , ω )
1 L t w V t w ( 0 , ω ) = 1 L t p V t p 2 ( 1 , ω )
I t w ( 0 ) L t w 2 V t w ( 0 , ω ) = I t p 2 ( 1 ) L t p 2 V t p 2 ( 1 , ω )
1 L t w 3 I t w ( ξ ) V t w ( ξ , ω ) | ξ = 0 = 1 L t p 3 I t p 2 ( ψ ) V t p 2 ( ψ , ω ) | ψ = 1 .
while in the case the tower, it is connected to a prismatic transition piece ( R D = 1 ), the conditions can be expressed as follows:
V t w ( 0 , ω ) = V t p ( 1 , ω )
1 L t w V t w ( 0 , ω ) = 1 L t p V t p ( 1 , ω )
I t w ( 0 ) L t w 2 V t w ( 0 , ω ) = I t p 4 L t p 2 V t p ( 1 , ω )
1 L t w 3 I t w ( ξ ) V t w ( ξ , ω ) | ξ = 0 = I t p 8 L t p 3 V t p ( 1 , ω ) .
Finally, static boundary conditions are considered at the top of the wind tower, including the lumped masses of the RNA, as follows:
E I t w ( 1 ) L t w V t w ( 1 , ω ) = J R N A ω 2 V t w ( 1 , ω )
1 L t w 2 E I t w ( ξ ) V t w ( ξ , ω ) | ξ = 1 = m R N A ω 2 V t w ( 1 , ω )

2.2.4. Modal Analysis

The four equations Equations (9), (14), (19) and (29) contain 16 unknown integration constants, which can be determined by setting up a system of equations, including the 12 continuity conditions in Equations (15)–(18), Equations (20)–(23), Equations (30)–(33), and the four boundary conditions, Equations (38) and (39) and either Equations (10) and (11) for fixed base or Equations (12) and (13) for compliant base.
After simple algebraic manipulation, the system of equations can be expressed using matrix notation:
A · c = 0
in which the vector c lists the integration constants, c i for i = 1 , , 16 , the matrix A contains the coefficients of the system of equations, and 0 is the null vector. Similarly, in the case of the prismatic transition piece, after replacing the conditions for the hourglass cone with Equations (25)–(28), a system of 12 equations is obtained.
The eigenvalue problem for deriving the modal properties of the entire system, i.e., the natural frequencies, w i , i N , and the modal shapes, V i , i N , can be obtained from the determinant of A , i.e., d e t A = 0 . Being the system A singular at each natural frequency, the solution of the problem of Equation (40) is undetermined. In this paper, the modal shapes are computed by imposing a unit shear force at the top of the tower, i.e.,:
V t w ( 1 , ω i ) L t w = 1 i N .
Therefore, after deriving the integration constants, the modal shapes can be constructed from Equations (9), (14), (19) and (29).
It is worth emphasising that this approach has the advantage of deriving an analytical formulation of the characteristic equation obtained by setting up the d e t A = 0 . On the other hand, this equation is transcendental and can be solved analytically just for a few cases by approximation of the Bessel functions with simple asymptotic trigonometric expressions [31], or through numerical approaches. Moreover, by adding more segments, the size of the system becomes larger and ill-conditioned, and becomes unstable for higher modes [32]. In the next section, a matrix representation derived from the analytical formulation is presented for handling systems with numerous segments. This method facilitates the computation of the vibrational response under both deterministic and stochastic loadings.

3. Matrix Formulation for Stochastic Analysis

To address the ill-conditioned issue described above, the matrix representation of the problem is established [29]. In this section, element dynamic stiffness matrices are derived for both tapered and prismatic segments. These derived matrices can be assembled to construct the global dynamic stiffness matrix, K ( g l o b ) ( ω ) , which represents the entire wind turbine system. This approach conveniently accommodates any number of segments and allows for solving the system under various deterministic and stochastic force applications.
F ( g l o b ) ( ω ) = K ( g l o b ) ( ω ) · U ( g l o b ) ( ω ) .
where F ( g l o b ) is the array of forces and moments applied to the system, and U ( g l o b ) is the array listing the displacements and rotations at each node. In the following sections, the element dynamic stiffness matrices, which are part of the assembled global matrix K ( g l o b ) , are derived.

3.1. Element Dynamic Stiffness Matrices for Constant and Tapered Elements

Let us consider the linear element of Figure 3a, described by two nodes at the edges, i.e., at the normalised local coordinate of ζ = 0 and ζ = 1 . The lateral displacement, V ( ζ , ω ) is expressed by Equations (3) and (6) for prismatic and tapered elements, respectively. The displacements and rotations at the boundaries are described through the following relationships,
V ( 0 , ω ) = V 0
V ( 0 , ω ) = θ 0
V ( 1 , ω ) = V 1
V ( 1 , ω ) = θ 1
where V 0 and θ 0 , as well as V 1 and θ 1 , are the displacements and rotations at ζ = 0 and ζ = 1 , respectively.
The above four equations can be expressed in matrix notation; after defining the normalized Bessel functions, J β ( z ) = J ( β , z ) / β , Y β ( z ) = Y ( β , z ) / β , I β ( z ) = I ( β , z ) / β , and K β ( z ) = K ( β , z ) / β , the four conditions can be rewritten as follows:
V 0 θ 0 V 1 θ 1 = J β ( 0 ) Y β ( 0 ) I β ( 0 ) K β ( 0 ) 1 L J β ( z ) | z = 0 1 L Y β ( z ) | z = 0 1 L I β ( z ) | z = 0 1 L K β ( z ) | z = 0 J β ( 1 ) Y β ( 1 ) I β ( 1 ) K β ( 1 ) 1 L J β ( z ) | z = 1 1 L Y β ( z ) | z = 1 1 L I β ( z ) | z = 1 1 L K β ( z ) | z = 1 · c 1 c 2 c 3 c 4 ,
or in short form, U = B · c , where c is the array of the integration constants, c i for i = 1 , , 4 , and U is the kinematic vector listing the nodal displacements and rotations at the edges.
Corresponding to each displacement and rotation, nodal forces and moments are applied at the same edges, as depicted in Figure 3b. By denoting F i and M i , for for i = 0 , 1 , the force-displacement relationships can be expressed in matrix form as follows:
F 0 M 0 F 1 M 1 = E I ( z ) J β ( z ) L 3 | z = 0 I ( z ) Y β ( z ) L 3 | z = 0 I ( z ) I β ( z ) L 3 | z = 0 I ( z ) K β ( z ) L 3 | z = 0 I ( z ) J β ( z ) L 2 | z = 0 I ( z ) Y β ( z ) L 2 | z = 0 I ( z ) I β ( z ) L 2 | z = 0 I ( z ) K β ( z ) L 2 | z = 0 I ( z ) J β ( z ) L 3 | z = 1 I ( z ) Y β ( z ) L 3 | z = 1 I ( z ) I β ( z ) L 3 | z = 1 I ( z ) K β ( z ) L 3 | z = 1 I ( z ) J β ( z ) L 2 | z = 1 I ( z ) Y β ( z ) L 2 | z = 1 I ( z ) I β ( z ) L 3 | z = 1 I ( z ) K β ( z ) L 3 | z = 1 · c 1 c 2 c 3 c 4 ,
or in short form, F = C · c .
Therefore, from Equation (47), the integration constant vector can be written as c = B 1 · U , and plugged into Equation (48) to obtain the following expression:
F = K ( t a p e r ) ( ω ) · U
where K ( t a p e r ) ( ω ) is the element dynamic stiffness matrix of the tapered element derived as follows:
K ( t a p e r ) ( ω ) = C · B 1 .
Because of its cumbersome formulation, the 4 × 4 element dynamic stiffness matrix, K ( t a p e r ) ( ω ) , as well as others defined in this study, are available in MATLAB 2024 format at URL: https://github.com/AntroxEV/OIM (accessed on 4 February 2026) for immediate use.
Following the same approach, kinematic and static conditions at the edges can be formulated from Equation (3), in order to find the 4 × 4 element dynamic stiffness matrix for prismatic elements, K p r i s m ( ω ) :
K ( p r i s m ) ( ω ) = E I λ 3 c λ s h λ + c h λ s λ L 3 c λ c h λ 1 λ 2 s λ s h λ L 2 c λ c h λ 1 2 λ 3 s λ + s h λ L 3 2 c λ c h λ 2 2 λ 2 c λ c h λ L 2 2 c λ c h λ 2 λ 2 s λ s h λ L 2 c λ c h λ 1 λ c λ s h λ c h λ s λ L c λ c h λ 1 2 λ 2 c λ c h λ L 2 2 c λ c h λ 2 λ s λ s h λ L c λ c h λ 1 2 λ 3 s λ + s h λ L 3 2 c λ c h λ 2 λ 2 c λ c h λ L 2 c λ c h λ 1 λ 3 c λ s h λ + c h λ s λ L 3 c λ c h λ 1 λ 2 s λ s h λ L 2 c λ c h λ 1 2 λ 2 c λ c h λ L 2 2 c λ c h λ 2 λ s λ s h λ L c λ c h λ 1 λ 2 s λ s h λ L 2 c λ c h λ 1 λ c λ s h λ c h λ s λ L c λ c h λ 1
where s λ = sin λ , s h λ = sinh λ , c λ = cos λ , and c h λ = cosh λ . This element matrix may be used for modelling the monopile and the traditional transition piece with R D = 1 .

3.2. Element Static Stiffness Matrices for Tapered Elements

The dynamic stiffness matrices for tapered elements, Equation (50), and prismatic, Equation (51), contain functions which are singular at ω = 0 , and hence, the matrices can not be defined in the entire frequency domain.
Whilst zero-mean inputs (e.g., seismic loadings) do not affect the assessment of modal properties or solutions of common vibrational problems, non-zero mean loadings (e.g., aerodynamic loadings) can lead to incorrect wind turbine responses. To consider actions that include a significant static component [24], the singularity issue is resolved by computing the element static stiffness matrix. The solution of Equation (2) at the frequency ω = 0 is obtained through direct integration, taking into account the variation of the geometrical properties of the cross-section, as described in Equation (5) with n = 1 , and assuming a constant elastic modulus E ( z ) = E . The resulting expression can be formulated as follows:
V t a p e r ( z ) = c 1 ln L + α z α 2 + c 2 2 α 2 L + α z + c 3 + c 4 z .
By setting up the static and dynamic conditions at the nodes, as done in the previous section, the element static stiffness matrix for the tapered element is obtained:
K s t ( t a p e r ) = E I σ 3 α 3 α + 2 L α 3 α 3 α + 2 L α 3 α + 1 α 3 σ 1 α 3 σ 0 α 3 α + 2 L α 3 α 3 α + 2 L α 3 α + 1 α 3 α + 1 σ 0 α 3 α + 1 σ 2
in which, the following substitutions are made:
σ 0 = L α + 1 ( 2 α + 2 ln L 2 ln L α + 1 + + 2 α ln L 2 α ln L α + 1 + α 2 )
σ 1 = L 2 α + 2 ln L 2 ln L α + 1 + 4 α ln L + 4 α ln L α + 1 + 3 α 2 + 2 α 2 ln L 2 α 2 ln L α + 1
σ 2 = L α + 1 2 2 α + 2 ln L 2 ln L α + 1 α 2
σ 3 = L 2 2 α + 2 ln L 2 ln L α + 1 + α ln L α ln L α + 1
For a prismatic beam, the classic Euler–Bernoulli stiffness matrix can be used [33]. Therefore, the element stiffness matrix, K ( e l e ) , where e l e stands for either taper or prismatic, can be expressed in the following form:
K ( e l e ) = K ( e l e ) , i f   ω = 0 K s t ( e l e ) ( ω ) , ω > 0

3.3. Damping Formulation

The element dynamic stiffness matrices formulated in the previous section can be easily extended to account for several damping formulations; this section introduces three different approaches, namely material, complex hysteretic and viscous damping.
The material damping is simply considered by modifying the static elastic modulus, E 0 , as follows:
E 0 ˜ = E 0 1 + i η m
where i is the imaginary unit, and η m is the material loss factor.
The second approach entails defining a constant damping force proportional to the stiffness matrix. Generally, this is denoted as the complex hysteretic damping approach, which is introduced by modifying the element stiffness matrix as follows:
K ˜ ( e l e ) ( ω ) = K ( e l e ) ( ω ) + i η h K s t ( e l e )
in which η h is the hysteretic or complex loss factor. This frequency-independent formulation determines a constant dissipation of the energy. On the other hand, to model a viscous-type form of damping, i.e., linearly proportional to the velocity of the system, two approaches are proposed. If a Rayleigh type of damping is considered, the complex loss factor of Equation (60) can be modified as:
η h ( ω ) = a 0 ω + a 1 · ω
where a 0 and a 1 are the mass-proportional and stiffness-proportional Rayleigh damping factors. Alternately, for stiffness-proportional damping, as for linearised models [24], the following expression can be used:
K ˜ ( e l e ) ( ω ) = K ( e l e ) + i ω β K s t ( e l e )
By setting β = η h / ω f , the hysteretic and viscous damping approaches yield the same dissipation of energy only at the specific frequency of ω = ω f (e.g., fixed at the first natural frequency).

4. Response to Deterministic and Stochastic Actions

Let us consider the problem formulated through Equation (42), representing the governing equations of the entire dynamic problem. In this study, a 2D plane beam model to capture the fore–aft response is considered; therefore, if m is the number of wind turbine segments, 2 m is the total number of free degrees of freedom, including lateral displacements and rotations. Nevertheless, the matrix formulation can be used for modelling the side-to-side behaviour so as to consider a 3D model, if required.
If the F ( g l o b ) ( ω ) contains the deterministic aerodynamic forces and moments generated by the coupling between the wind turbine and the RNA and the wind pressure on the tower, the problem in Equation (42) can be straightforwardly solved as follows:
U ( g l o b ) ( ω ) = H ( g l o b ) ( ω ) · F ( g l o b ) ( ω )
where H ( g l o b ) ( ω ) = K ( g l o b ) ( ω ) 1 is the 2 m × 2 m matrix of the global harmonic transfer functions of the wind turbine system.
Nevertheless, wind loading is normally considered a random process, and a stochastic formulation of the problem, presented in the next section, is required.

4.1. Response to Aerodynamic Gaussian Processes

Let F ˜ ( g l o b ) ( ω ) be a mean-value stationary Gaussian stationary vector process representing the stochastic aerodynamic loading. The mean value is a non-zero constant representing the static component of the wind process; therefore, the proposed discontinuous matrix defined in Equation (58), which resolves the singularity at ω = 0 , should be used. The dynamic counterpart can be expressed as a zero-mean stationary Gaussian vector process. Under these conditions, F ˜ ( g l o b ) ( ω ) can be fully defined by the power spectral density (PSD) matrix G ˜ F W ( g l o b ) ( ω ) . If the aerodynamic forces are applied to the top of the tower (RNA), the power spectral density 2 m × 2 m matrix assumes the following form:
G ˜ F W ( g l o b ) ( ω ) = G F W F F G F W F M 0 G F W M F G F W M M 0 0 0 0
where only the components related to the aerodynamic forces and moments at the top of the turbine are non-zero. In Equation (64), G F W F F is the unilateral power spectral density function of the aerodynamic force, G F W M M is the unilateral power spectral density function of the aerodynamic moment, and G F W F M and G F W M F are the cross spectral density functions.
By using the random vibration theory [34,35], Equation (63) can be rewritten as follows:
G ˜ U ( g l o b ) ( ω ) = H ( g l o b ) ( ω ) G ˜ F W ( g l o b ) ( ω ) H ( g l o b ) ( ω )
in which indicates the transpose complex conjugate, and G ˜ U ( g l o b ) ( ω ) is the power spectral density matrix of the wind turbine displacements and rotations.

4.2. Response to Seismic Gaussian Processes

In the case of seismic ground motion, the dynamic formulation of Equation (42) should be properly modified. Although seismic inertial forces can be embedded in the vector F ( g l o b ) , these cannot be easily computed because of the dynamic stiffness formulation in the frequency domain used in this paper. Therefore, an absolute displacement approach is applied to overcome the problem linked with the lack of an explicit mass matrix. The translational degree of freedom at the base of the monopile is constrained to the applied seismic ground motion, U g ( ω ) , here considered in the frequency domain, whilst the rotational degree of freedom at the same location is fixed (null rotation). Therefore, by denoting n r the number of degrees of freedom to be retained and n c = 2 the number of degrees of freedom to be condensed out, the following constraint transformation matrix T, can be written as follows:
T = 0 I
where 0 is the n c × n r null matrix, and I is the n r × n r unit matrix. Equation (42) can be partitioned using the transformation matrix T as follows:
F r ( g l o b ) ( ω ) = K r ( g l o b ) ( ω ) U r ( g l o b ) ( ω ) .
where
K r ( g l o b ) ( ω ) = T K f u l l ( g l o b ) ( ω ) T
F r ( g l o b ) ( ω ) = T F f u l l ( g l o b ) ( ω ) K f u l l ( g l o b ) Q 0 ( ω )
where K f u l l ( g l o b ) is the full [ 2 m + 2 ] × [ 2 m + 2 ] matrix (i.e., free and restrained degrees of freedom) of the wind turbine. The vector Q 0 ( ω ) contains the prescribed values of the n r + n c degrees of freedom. In this case, the only non-zero component is related to the translation degree of freedom of the base of the monopile, which contains the seismic ground motion function U g ( ω ) . When the combination of wind and seismic loading is considered, the aerodynamic forces F f u l l ( g l o b ) ( ω ) can be directly included in Equation (69). Therefore, Equation (67) represents the deterministic problem to solve in order to compute the displacements and rotations of the wind turbine model under deterministic ground motion.
In the case of random external actions, the seismic ground motion can be considered as a Gaussian monocorrelated zero-mean stochastic process, U ˜ g ( ω , t ) , fully defined by the uniformly modulated non-stationary power spectral density function G ˜ g ( ω , t ) = A m ( t ) 2 G ˜ g ( ω ) [36], where A m ( t ) is the time modulating function.
Therefore, the cross-spectral density matrix of the applied forces, G ˜ F ( ω , t ) can be derived using the expectation operator E F r ( g l o b ) ( ω ) · F r ( g l o b ) ( ω ) , which can be expanded as follows:
G ˜ F ( ω , t ) = T G ˜ w ( ω ) T + T K ( g l o b ) ( ω ) G ˜ Q ( ω , t ) K ( g l o b ) ( ω ) T T K ( g l o b ) ( ω ) G ˜ Q W ( ω , t ) T T G ˜ W Q ( ω , t ) K ( g l o b ) ( ω ) T
where G ˜ Q ( ω , t ) is the cross-spectral density matrix of the prescribed displacements, which contains the auto-power spectral density function of the ground motion process G ˜ g ( ω , t ) ; G ˜ Q W ( ω , t ) and G ˜ W Q ( ω , t ) are the cross-power spectral density functions of the wind and earthquake processes.
The cross-spectral density matrix G ˜ F ( ω , t ) is used to simulate the joint wind–earthquake combination, as well as uniform or multi-support ground motion excitation. Since wind and earthquake excitations are statistically independent and the seismic process is zero-mean, their corresponding cross-power spectral density functions are identically zero, which simplifies the formulation of Equation (70). Furthermore, for seismic loading only, Equation (70) reduces to:
G ˜ F ( ω , t ) = T K ( g l o b ) ( ω ) G ˜ Q ( ω , t ) K ( g l o b ) ( ω ) T .
Therefore, Equation (63) can be transformed in the stochastic equation as follows:
G ˜ U ( g l o b ) ( ω ) = H ( g l o b ) ( ω ) G ˜ F ( g l o b ) ( ω ) H ( g l o b ) ( ω ) .
Equation (72) provides the PSD matrix of the structural response in terms of absolute displacements and rotations, G ˜ U ( g l o b ) ( ω ) , for the entire turbine subjected to a stochastic seismic process.

5. Verification of the Proposed Analytical Formulation

To verify the analytical formulation, a finite element model is developed using standard beam elements. Compared to the analytical model, the numerical implementation is characterised by: (i) prismatic elements in a sufficiently high number to ensure numerical convergence, (ii) a lumped-mass rather than a distributed-mass representation, and (iii) Rayleigh damping in place of the damping models defined in Section 3.3.

5.1. Simplified 15 MW NREL Reference Wind Turbine

The case study is based on the IEA 15 MW Offshore Reference Wind Turbine designed by the National Renewable Energy Laboratory (NREL) and the Technical University of Denmark (DTU), via the International Energy Agency Wind Task 37 [28]. The simplified geometry depicted in Figure 2 is adapted to represent the reference wind turbine equipped with HGTP, using: (i) a prismatic monopile, L m p = 30   m long, and diameter D m p = 10   m ; (ii) an hourglass transition piece (HGTP) consisting of two mirrored cones of minimum diameter D t p = R D · D m p , where R D is the Reduced Column Section ratio; a tapered tower of L t w = 129.6   m long and diameter of D t w = 6.572   m . The thicknesses of each element are t m p = 50.5   m m , t t p = 42.5   m m , t t w = 32   m m for monopile, transition piece and tower, respectively. The rotor–nacelle assembly is modelled as a lumped mass of 1017t placed at the top of the tower. The model is fixed at the toe of the monopile located at the mud-line level.
Parametric analytical models, following the formulation proposed in Section 2 and Section 3, are created by imposing several parameters of the reduction ratio R D equal to 0.3 0.5 0.7 0.9 ; the reference model (REF) is obtained for R D = 1 , replacing the tapered elements of the HGTP with a prismatic segment to represent the original transition piece. Despite the approximated geometry, the first modal frequency of the simplified reference model ( R D = 1 ), computed through the analytical formulation of Section 2, is w 1 = 1.089 rad / s , close to the natural frequency of the IEA 15 MW Offshore Reference Wind Turbine [28] equal to w 1 = 1.068 rad / s . Each parametric model is subjected to deterministic and stochastic loads, as determined in the following section.

5.2. Deterministic and Stochastic Loading

The analytical formulation proposed in Section 3 accommodates multiple sources of loading, including lateral forces and couples generated by the interaction between blades and wind, as well as ground excitation induced by earthquake events. In this study, the aerodynamic forces and moments are applied to the RNA whilst the seismic loading is simulated as a prescribed ground motion at the fixed base. Wave loading can be applied to the transition-piece nodes, but this is not considered in the present study.
The aerodynamic forces are obtained by using the nonlinear aero-hydro-servo-elastic OpenFAST code [5] developed by the National Renewable Energy Laboratory (NREL). An extreme turbulent model (ETM), according to the IEC 61400-1 [37], is considered for determining the Kaimal spectrum model. The stationary full-field wind flow has been simulated through the TurbSim code [38], which generates randomised coherent turbulent time histories through inverse Fourier transform of three-component wind speed vectors at several spatial points in a two-dimensional vertical rectangular grid, covering tower and blades [39].
In this study, 10 sets of 600 s-long fore–aft forces and moments are first generated by means of the OpenFAST code, and then applied via an uncoupled procedure. The average power spectral density functions (PSD) of the zero-mean force and moment processes are plotted in Figure 4a and Figure 4b, respectively.
The seismic loading is derived from a zero-mean quasi-stationary Gaussian random process fully defined by the modulating function and the PSD function. The latter has been derived to be compatible with the response spectrum function prescribed by the building code [40]. Here, the response spectrum is determined by the formulation proposed in Eurocodes EN1998 [41] for a stiff soil and peak ground acceleration of 0.2 g. The related spectrum-compatible PSD is depicted in Figure 4c as a solid red line, whereas the grey line indicates the power spectral density function, averaging 100 generated quasi-stationary time-history ground motions. The generated ground motions and aerodynamic loading are used to carry out a Monte Carlo simulation (MCS) to verify the proposed stochastic formulation; three randomly selected realisations for each of the considered loadings are illustrated in Figure 5.

5.3. Verification Under Deterministic Loading

To verify the proposed formulation of Section 2, a finite element model of the wind turbine with R D = 0.5 is created. The model is discretised into 3501 prismatic Timoshenko beam elements, incorporating shear deformation, to ensure accurate results against the exact solution. Firstly, a modal analysis is conducted, showing excellent agreement with the natural frequencies, as reported in Table 1. Only the modal modes corresponding to the fore--aft direction are considered, as this is the direction relevant to the present investigation. Secondly, dynamic analyses are performed to verify the matrix formulation defined in Section 3 using the generated aerodynamic forces and moments, as well as by applying the generated seismic time history functions as prescribed motions. An illustration of the loadings is depicted in Figure 5. Rayleigh damping coefficients of a 0 = 0.017385 and a 1 = 0.00210 , corresponding to a loss factor of η h = 0.02 are used for the case of wind loading. For the case of seismic loading, a higher damping corresponding to η h = 0.1 , applied through the Rayleigh damping coefficients of a 0 = 0.652809 and a 1 = 0.002928 , is used to account for the large dissipation of energy during an earthquake event [24].
Figure 6a,b show the RNA displacement response, u t o p , to wind and seismic loads, respectively. An excellent agreement with the responses obtained by the FEM model is achieved; small differences are observed in the seismic response due to the different damping formulations between time–history and frequency–domain analyses, as explained in Section 3.3.

5.4. Verification Under Stochastic Processes

In this section, the verification of the analytical formulation developed in Section 4.1 and Section 4.2 is conducted for stochastic aerodynamic and seismic processes, respectively. MCS is carried out by using the generated time–history functions for aerodynamic forces and moments, as well as seismic ground motions. In the case of the aerodynamic loadings, the empirical PSD functions of the fore–aft force and moment, in Figure 4a and Figure 4b, respectively, have been obtained by averaging the PSD functions of each signal obtained from the OPENFAST simulations. On the other hand, the analytical spectrum in Figure 4c is used directly as the input function of the proposed stochastic formulation.
Results in terms of PSD of the RNA displacement, u t o p , in Figure 7a for the case of applied aerodynamic loading, demonstrate an excellent match between the PSD function obtained from the analytical model and the average PSD from the MCS. Similarly, in Figure 7b, the comparison between the PSD functions for the case of prescribed seismic ground motion shows good agreement with minor differences before the cut-off frequency of the input PSD function, as illustrated in Figure 4c, mainly because of the signal generation approach [42], and after the peak, due to the different damping formulation. Nevertheless, the results of Figure 7 demonstrate the correctness of the proposed formulation against a numerical model with a larger number of degrees of freedom, as well as its efficiency compared to MCS, which requires performing several time–history analyses to compute the average PSD function.

6. Impact of the Hourglass Transition Piece

The following analysis evaluates the performance of the HGTP in mitigating the dynamic and seismic responses of the IEA 15 MW reference wind turbine. Two sets of HGTP geometrical parameters are determined. In the first one (SET 1), the reduction ratio, R D , is parametrised to four values: R D = 0.3 0.5 0.7 0.9 . This set aims to evaluate the principal features of the Reduced Column Section approach [18], i.e., the induced shift of the wind turbine fundamental period and the induced rocking (rotational) effect. Additional analyses (SET 2) are conducted based on the reduction ratios previously defined in SET 1, by modifying the HGTP wall thickness ( t t p ) to achieve the same first natural frequency as the reference wind turbine ( w 1 = 1.089 rad / s ). This allows for assessing the contribution of rotational-induced behaviour and higher-mode response of the wind turbine.

6.1. Computation of Modal Frequencies

The analytical formulation of Section 2 is used to derive the modal frequencies and the modal shapes for the considered HGTP models. The computed modal frequencies for SET 1 are reported in Table 2. The first frequency of the reference model (REF), i.e., R D = 1 , is used as a target frequency to obtain the HGTP wall thickness, t t p , for SET 2; their calibrated values are shown in Table 3, and the corresponding natural frequencies are reported in Table 4.
It can be observed that the presence of the HGTP generally leads to lower natural frequencies as the central cross-section decreases (i.e., for lower R D values). However, the two sets exhibit different rates of variation at higher modes, with SET 2 showing a more pronounced effect on the third mode ( w 3 ) compared with SET 1.
The impact of the HGTP is also observed in the modal shapes; as explained in Section 2.2.4, these are determined by considering a unit shear force at the top of the tower to simulate the same applied wind force for each investigated case.
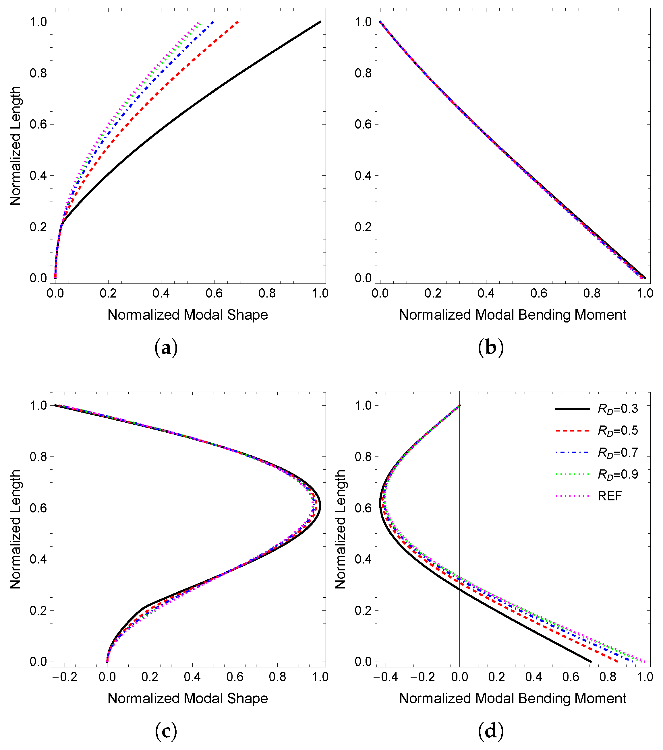
Figure 8 shows the modal shapes and modal bending moment diagrams obtained for SET 1 (Table 2) for several values of reduction ratio, R D . The modal shapes of the first mode for each case are depicted in Figure 8a; it can be noted that the top displacement increases for decreasing reduction ratios (i.e., smaller mid-section of the HGTP), as expected due to the induced larger rotation. It is worth noting that the bending moment diagram in Figure 8b is independent of the kinematic conditions, being an isostatic structure subjected to an identical load at the RNA, and consequently, the HGTP has no impact on the first mode in terms of internal forces.
In accordance with the first mode, the second modal shape curves in Figure 8c show an increment of the maximum displacement for lower reduction ratios. The peak displacement occurs at approximately half the height of the wind tower (TW segment). Nevertheless, the HGTP induces a different distribution of beam rotation, which is reflected in the bending moment diagrams along the entire wind tower (see Figure 8d). In particular, a significant reduction in the maximum bending moment at the mudline can be observed, highlighting a beneficial effect on the wind turbine monopile.
The modal shapes for SET 2 are illustrated in Figure 9. Because of the calibration based on the first natural frequency, the modal shapes in Figure 9a and bending moment diagrams in Figure 9b, related to the first mode, are the same. On the second natural frequency, as for SET 1, larger displacements occur for lower R D values; conversely, the bending moment at the mudline is larger for lower R D values compared to SET 1. Therefore, an optimisation analysis should be conducted to derive the optimal design values of the HGTP.

6.2. Wind Analysis

The matrix formulation developed in Section 3 is used to assess the response to the stochastic wind loading. A hysteretic damping (see Equation (60)) of 0.02 is used for every case to set the same energy dissipation regardless of the fundamental period of the wind tower. By adopting the formulation of Section 4, the power spectral density functions of the tower response are computed.
In Figure 10, the PSD functions for three selected values of R D are depicted and compared to the reference response. The maximum values of the PSD functions of the RNA displacement in Figure 10a, related to SET 1, occur at the first natural mode, which shifts to lower frequencies according to the value of the reduction factor, R D . A second peak can also be observed around the static counterpart of the aerodynamic forces; in particular, for R D = 0.5 , the maximum value occurs around the zero frequency rather than the first mode, pointing out the relevance of the static component over the dynamic one. On the other hand, the computed PSD functions for SET 2, in Figure 10c, have peaks at the tuned first frequency, equal for every case, as expected.
The matrix formulation can be easily used to obtain the internal forces of each segment. Figure 10b,d illustrate the PSD functions of the maximum bending moment of the monopile for SET 1 and SET 2, respectively. It can be observed that peaks occur around the natural frequencies of the wind turbine, and the minimum value among the peaks is obtained for R D = 0.7 .
By using the first-passage method pioneered by Vanmarke [43,44], the mean maximum response is computed from each of the PSD functions described earlier. For SET 1, Figure 11a shows the curves in terms of mean peak RNA displacement and bending moment on the tower and on the monopile, normalised by the mean peak response of the reference wind turbine. The mean of the peak bending moment decreases with the increase of the reduction of the section of HGTP, i.e., from R D = 1 to R D = 0.3 , whilst the trend of the RNA displacement and the bending moment of the monopile at the mudline is not monotonic within the range of the investigated R D values. For a reduction ratio of R D = 0.3 , the greatest mitigation is achieved, in which the peak bending moments are reduced by approximately 20% in the tower and 50% in the monopile compared with the reference turbine. However, these beneficial effects are accompanied by a larger RNA displacement. Therefore, the obtained curves can be used to identify an optimal reduction ratio R D which satisfies both ultimate and serviceability limit states.
Curves of the mean peak values are also plotted in Figure 11b for SET 2. A lower mitigation is generally obtained, achieving only a slight improvement on the maximum bending moment on the wind tower, and about 30% on the monopile for R D = 0.3 . Nevertheless, a reduction in the top displacement is observed for R D < 0.7 compared to the results obtained with SET 1.
A comparison with the reference model is also shown in terms of time history functions of the RNA displacements and bending moments at the mudline in Figure 12. A specific case of HGTP with R D = 0.7 and wind loading (see Figure 5) is considered.
For SET 1, a mean reduction of about 7 % is obtained for the bending moment at the mudline (Figure 12a), although the static component of the wind induces larger displacement at the RNA (Figure 12b). The corresponding mitigation of the dynamic counterpart is computed in Figure 11a, demonstrating a greater impact on the dynamic behaviour than on the maximum static values, which makes it promising for fatigue-damage reduction.
On the other hand, following the design approach of SET 2, lower mitigations (Figure 12c) are achieved by keeping the displacement close to that of the reference model (Figure 12b).

6.3. Seismic Analysis

In this section, the seismic performance of the wind turbine equipped with HGTP is evaluated. The stochastic ground motion expressed by the power spectral density of Figure 4c is considered. In this case, to account for the increase in energy dissipation due to the large displacements caused by the earthquake, a hysteretic loss factor of 0.1 is used for each investigated case. Equation (72) is used to obtain the power spectral density functions of the wind turbine response. The obtained PSD functions are reported for each investigated case in Figure 13, expressing the RNA displacements for SET 1 and SET 2, in Figure 13a and Figure 13b, respectively. Since the input PSD has no or little energy at low frequencies, the first mode is not excited by the seismic motion, and the peak occurs around the predominant frequency of the earthquake. The SET 1 HGTP segments provide an evident reduction of the displacement peak proportional to the reduction ratio, R D . On the other hand, SET 2 HGTP segments do not generate an evident effect on the top tower displacement, having fixed the same first natural frequency in every case.
The remaining plots of Figure 13c–f correspond to the PSD in terms of bending moment on the tower and on the monopile, for SET 1 and SET 2, respectively. In these cases, the higher modes are strongly contributing to the overall response. Generally, a reduction in the peaks and the overall energy expressed by the area underlining the curves can be observed, for decreasing values of the reduction factor, i.e., from R D = 1 to R D = 0.3 . On the other hand, as observed from the modal response for SET 2 in Figure 9d, a detrimental effect is induced by the rotational behaviour for the specific set of calibrated HGTPs.
From each PSD function, the mean peak response is obtained and plotted in Figure 14a,b, for SET 1 and SET 2, respectively. As observed from the PSD functions of SET 1, the mean peak values increase with the increase in R D , evidencing the importance of the period elongation for this specific ground motion. A significant reduction of about 50 % on the maximum bending moment on the wind tower is achieved compared to the reference wind turbine; similarly, a 30 % decrement with respect to the bending moment on the monopile is achieved, evidencing the beneficial effects on both superstructure and foundation.
In the case of HGTP of SET 2, a detrimental effect is obtained in agreement with the second modal shape behaviour observed in Figure 9d. Therefore, an optimisation procedure considering the ultimate and serviceability limit states should be carried out to obtain the ideal design parameters.
A comparison with the reference model is shown in terms of time history functions of the RNA displacements and bending moments at the mudline in Figure 15. A specific case of HGTP with R D = 0.7 subjected to a realisation of the power spectral density function of the earthquake ground motion (see Figure 4) is considered.
For SET 1, a mean reduction of about 7 % is obtained for the bending moment at the mudline (Figure 15a), and smaller benefits are obtained for RNA displacement (Figure 15b), consistent with the results in Figure 14a.
On the other hand, following the design approach of SET 2, a detrimental increase in the bending moment of about 6 % (Figure 15c) is achieved by keeping the RNA displacement similar to the reference model (Figure 15b).

7. Discussion on the Design of the Hourglass Transition Piece

The findings from the parametric stochastic analysis indicate that the HGTP can be an effective solution for vibration control in wind turbines. The most significant benefit in terms of bending-moment mitigation occurs under seismic loading, consistent with the design principles that inspired the concept—namely the Reduced Column Section (RCS) approach [18] and the Reduced Beam Section (RBS) approach [19], both originally developed in seismic engineering.
Positive mitigation effects are also observed under wind loading, although the optimal calibration requires balancing two competing objectives: shifting the fundamental period (favoured by lower R D ) and limiting the maximum RNA displacement (favoured by higher R D ). Consequently, the final design becomes site-specific, depending on the relative importance of seismic loading compared with wind–wave actions. In regions with negligible seismicity, the HGTP provides limited advantages in reducing the bending moment. Conversely, the results suggest that the two different hazards, i.e., wind and seismic, could be addressed simultaneously by combining two vibration-control technologies, such as tuned mass dampers for wind loading and the HGTP for seismic loading.
It is also worth noting that the proposed procedure is intended for preliminary design. A complete design could be performed by adopting the philosophy of the Performance-Based Seismic Design to explicitly control structural damage by targeting specific plastic deformation levels. Moreover, the final design stage should rely on high-fidelity models to assess local stresses and buckling behaviour, especially at the reduced section level. A rule-of-thumb assessment of the stresses, σ , in the traditional transition piece or at the reduced level, σ R d , can be quickly derived from the bending moment, M and M R d at the corresponding sections:
σ R d = 8 M R d π R D 2 D 2 t h
σ = 8 M π D 2 t h
σ R d σ R D 2 for M R d M .
Therefore, reducing the stresses at the reduced section requires either increasing the sectional capacity or ensuring that the mitigation is such that M R d < R D 2 · M .
Another important remark is that the HGTP represents a conceptual solution, meaning that its practical implementation could be enhanced through local stiffeners, higher-grade steel, or different topologies.
Overall, the study opens several avenues for future research in this field.

8. Concluding Remarks

This study aims to assess the benefits of the recently proposed hourglass transition piece (HGTP) in mitigating the excessive vibrations of wind turbines induced by wind and seismic loadings. The design of the novel transition piece follows the principles of the Reduced Column Section (RCS) approach [18], which is a vibration control strategy based on weakening the central section of the transition piece to localise the maximum stresses, thereby mitigating the surrounding tower and monopile. In this study, the first two RCS principles, namely the natural frequency shift and induced rotation, are analysed, while the third one, i.e., the energy dissipation increase generated by material yielding or added viscous damping, is not considered.
An analytical formulation for a simplified wind turbine is proposed and used to simulate the IEA 15 MW Offshore Reference Wind Turbine [28] in the frequency domain. This formulation is then extended through random vibration theory to accommodate stochastic quasi-stationary Gaussian processes. Therefore, without the need for computationally demanding Monte Carlo simulations, parametric stochastic analyses are carried out to assess the benefits of the HGTP. Two sets of configurations are designed: one exploiting the elongation of the fundamental period, and the other modifying the higher modes associated with the rotational behaviour.
The investigation has highlighted that:
  • The proposed analytical formulation can replace computationally demanding finite element models formulated in the time domain. The formulation covers various aspects of damping types and non-zero mean loadings, such as aerodynamic forces.
  • The proposed formulation can be used for stochastic analysis and provides excellent agreement with MCS results from more complex finite element models.
  • The modal shapes obtained from the analytical formulation are indicative of the expected dynamic modifications induced by the HGTP and can be used for preliminary design. The HGTP modifies the higher modes, generating additional rotation and lateral displacement to the tower.
  • The HGTP induces a different distribution of bending moments along the entire wind turbine. Under seismic processes, reductions of about 20 % and 50 % are obtained in the wind tower and monopile, respectively.
  • Relevant mitigation is also observed against aerodynamic processes characterised by a reduction in the mean peak bending moment of about 40 % .
  • Although a natural frequency shift generally enhances vibration mitigation performance, beneficial results can also be achieved by inducing a rotational behaviour in higher modes, leaving the first mode unaltered. This approach keeps the RNA displacements unaltered while still achieving reductions of approximately 30 % under wind loading.
This study contributes to the research community with an analytical formulation for wind turbines subjected to stochastic processes, which can be used for both design and simulation tasks. Moreover, it introduces a novel passive vibration control device, dubbed the hourglass transition piece, demonstrating its significant benefits. It is important to note that the proposed analytical model does not incorporate structural nonlinearities or the inherently nonlinear aerodynamic coupling between wind and rotor blades, which has been approximated through a two-step procedure. The influence of wave loading on tower response, which is strongly affected by the hourglass shape of the HGTP is also neglected, although it could be approximately represented as a concentrated action at the sea surface. Despite these simplifications, the model enables stochastic analyses to be performed significantly faster than conventional Monte Carlo simulations, making it well-suited for the preliminary design of the HGTP. Future developments will address these limitations and incorporate the third principle of the Reduced Column Section approach, namely the enhancement of energy dissipation through material yielding and viscous damping devices.

Author Contributions

Conceptualisation, A.T.; methodology, A.T. and M.F.; software, A.T. and M.F.; validation, A.T. and Y.P.; formal analysis, A.T.; investigation, A.T.; resources, A.T.; data curation, A.T.; writing—original draft preparation, A.T.; writing—review and editing, A.T., M.F. and Y.P.; visualisation, A.T. and M.F.; supervision, A.T.; project administration, A.T.; funding acquisition, A.T. All authors have read and agreed to the published version of the manuscript.

Funding

Tombari gratefully acknowledges the financial support of the UK Engineering and Physical Sciences Research Council (EPSRC) through the New Investigator Award (EP/W001071/2), titled “Structural Life-Cycle Enhancement of Next-Generation Onshore and Offshore Wind Farms”. Yucheng Peng acknowledges the financial support of the Chinese Scholarship Council (CSC). For the purpose of open access, the author has applied a ‘Creative Commons Attribution (CC BY)’ licence to any Author Accepted Manuscript version arising.

Data Availability Statement

Data and scripts are available in MATLAB format at URL: https://github.com/AntroxEV/OIM (accessed on 4 February 2026).

Conflicts of Interest

The authors declare no conflicts of interest. The funders had no role in the design of the study; in the collection, analyses, or interpretation of data; in the writing of the manuscript; or in the decision to publish the results.

Abbreviations

The following abbreviations are used in this manuscript:
PSDPower Spectral Density
HGTPHourglass Transition Piece
RCSReduced Columns Section Approach
REFReference Wind Turbine
RNARotor Nacelle Assembly

References

  1. Williams, R.; Feng, Z. Global Offshore Wind Report 2024; Technical Report; GWEC: Brussels, Belgium, 2024. [Google Scholar]
  2. Zuo, H.; Bi, K.; Hao, H. A state-of-the-art review on the vibration mitigation of wind turbines. Renew. Sustain. Energy Rev. 2020, 121, 109710. [Google Scholar] [CrossRef]
  3. Enevoldsen, I.; Mørk, K.J. Effects of a Vibration Mass Damper in a Wind Turbine Tower. Mech. Struct. Mach. 1996, 24, 155–187. [Google Scholar] [CrossRef]
  4. Lackner, M.A.; Rotea, M.A. Passive structural control of offshore wind turbines. Wind Energy 2011, 14, 373–388. [Google Scholar] [CrossRef]
  5. Jonkman, J. The New Modularization Framework for the FAST Wind Turbine CAE Tool. In Proceedings of the 51st AIAA Aerospace Sciences Meeting including the New Horizons Forum and Aerospace Exposition, Grapevine, TX, USA, 7–10 January 2013. [Google Scholar] [CrossRef]
  6. Stewart, G.M.; Lackner, M.A. The impact of passive tuned mass dampers and wind–wave misalignment on offshore wind turbine loads. Eng. Struct. 2014, 73, 54–61. [Google Scholar] [CrossRef]
  7. Ghassempour, M.; Failla, G.; Arena, F. Vibration mitigation in offshore wind turbines via tuned mass damper. Eng. Struct. 2019, 183, 610–636. [Google Scholar] [CrossRef]
  8. Lu, Y.; Xie, W.; Wang, Y.; Liang, H.; He, Y.; Chen, X.; Yuan, J.; Zhang, Z. Dynamic analysis of MTMD vibration reduction for offshore wind turbine under combined wind-wave-seismic loads. Structures 2025, 72, 108207. [Google Scholar] [CrossRef]
  9. Marian, L.; Giaralis, A. Optimal design of a novel tuned mass-damper–inerter (TMDI) passive vibration control configuration for stochastically support-excited structural systems. Probabilistic Eng. Mech. 2014, 38, 156–164. [Google Scholar] [CrossRef]
  10. Alotta, G.; Biondo, C.; Giaralis, A.; Failla, G. Seismic protection of land-based wind turbine towers using the tuned inerter damper. Structures 2023, 51, 640–656. [Google Scholar] [CrossRef]
  11. Minh Le, L.; Van Nguyen, D.; Chang, S.; Kim, D.; Cho, S.G.; Nguyen, D.D. Vibration control of jacket offshore wind turbine subjected to earthquake excitations by using friction damper. J. Struct. Integr. Maint. 2019, 4, 1–5. [Google Scholar] [CrossRef]
  12. Zhao, Z.; Dai, K.; Lalonde, E.R.; Meng, J.; Li, B.; Ding, Z.; Bitsuamlak, G. Studies on application of scissor-jack braced viscous damper system in wind turbines under seismic and wind loads. Eng. Struct. 2019, 196, 109294. [Google Scholar] [CrossRef]
  13. Di Paolo, M.; Nuzzo, I.; Caterino, N.; Georgakis, C.T. A friction-based passive control technique to mitigate wind induced structural demand to wind turbines. Eng. Struct. 2021, 232, 111744. [Google Scholar] [CrossRef]
  14. Sorge, E.; Riascos, C.; Caterino, N.; Demartino, C.; Georgakis, C. Optimal design of a hinge-spring-friction device for enhancing wind induced structural response of onshore wind turbines. Eng. Struct. 2024, 314, 118305. [Google Scholar] [CrossRef]
  15. Ke, K.; Xie, W.; Zhou, X.; Wang, Y.; He, X. A novel self-centring jacket-type offshore wind turbine structure: A proof-of-concept study and seismic fragility analysis. Thin-Walled Struct. 2024, 205, 112407. [Google Scholar] [CrossRef]
  16. Xie, W.; Ke, K.; Zhou, X.; Yam, M.; Wang, Y.; He, X. Resilient Offshore Wind Turbine Tower Segment with Enhanced Ductility: Hybrid Modelling and Seismic Performance. In Proceedings of the 4th International Conference of Steel and Composite for Engineering Structures; Milani, G., Magagnini, E., Khatir, S., Eds.; Springer: Cham, Switzerland, 2025; pp. 401–424. [Google Scholar]
  17. Zhang, H.; Ke, K.; Zhou, X.; Yam, M.C.; Wang, J.; Lin, Y. Multi-stage hybrid damper: Experimental validation and application in monopile offshore wind turbines. Ocean Eng. 2025, 338, 121844. [Google Scholar] [CrossRef]
  18. Rostami, R.; Tombari, A. A novel reduced column section approach for the seismic protection of wind turbines. Eng. Struct. 2023, 282, 115807. [Google Scholar] [CrossRef]
  19. Chen, S.J.; Yeh, C.H.; Chu, J.M. Ductile Steel Beam-to-Column Connections for Seismic Resistance. J. Struct. Eng. 1996, 122, 1292–1299. [Google Scholar] [CrossRef]
  20. Anastasopoulos, I.; Gazetas, G.; Loli, M.; Apostolou, M.; Gerolymos, N. Soil failure can be used for seismic protection of structures. Bull. Earthq. Eng. 2010, 8, 309–326. [Google Scholar] [CrossRef]
  21. Palazzo, B.; Castaldo, P.; Marino, I. The Dissipative Column: A New Hysteretic Damper. Buildings 2015, 5, 163–178. [Google Scholar] [CrossRef]
  22. Damgaard, M.; Andersen, L.; Ibsen, L.; Toft, H.; Sørensen, J. A probabilistic analysis of the dynamic response of monopile foundations: Soil variability and its consequences. Probabilistic Eng. Mech. 2015, 41, 46–59. [Google Scholar] [CrossRef]
  23. Sørensen, J.; Frandsen, S.; Tarp-Johansen, N. Effective turbulence models and fatigue reliability in wind farms. Probabilistic Eng. Mech. 2008, 23, 531–538. [Google Scholar] [CrossRef]
  24. Tombari, A.; Rostami, R.; Mackay, E.; El Naggar, M. Stiffness-proportional foundation damping to linearise soil-monopile interaction models for wind turbines. Soil Dyn. Earthq. Eng. 2025, 195, 109387. [Google Scholar] [CrossRef]
  25. Lau, J. Vibration frequencies for a non-uniform beam with end mass. J. Sound Vib. 1984, 97, 513–521. [Google Scholar] [CrossRef]
  26. De Rosa, M.; Auciello, N. Free vibrations of tapered beams with flexible ends. Comput. Struct. 1996, 60, 197–202. [Google Scholar] [CrossRef]
  27. Bozyigit, B.; Bozyigit, I.; Prendergast, L.J. Analytical approach for seismic analysis of onshore wind turbines considering soil-structure interaction. Structures 2023, 51, 226–241. [Google Scholar] [CrossRef]
  28. Gaertner, E.; Rinker, J.; Sethuraman, L.; Zahle, F.; Anderson, B.; Barter, G.; Abbas, N.; Meng, F.; Bortolotti, P.; Skrzypinski, W.; et al. Definition of the IEA 15-Megawatt Offshore Reference Wind Turbine; Technical Report; International Energy Agency: Paris, France, 2020; Published: NREL/TP-75698. [Google Scholar]
  29. Banerjee, J.R.; Williams, F.W. Exact Bernoulli–Euler dynamic stiffness matrix for a range of tapered beams. Int. J. Numer. Methods Eng. 1985, 21, 2289–2302. [Google Scholar] [CrossRef]
  30. Padrón, L.A.; Carbonari, S.; Dezi, F.; Morici, M.; Bordón, J.D.; Leoni, G. Seismic response of large offshore wind turbines on monopile foundations including dynamic soil–structure interaction. Ocean Eng. 2022, 257, 111653. [Google Scholar] [CrossRef]
  31. Kumpinsky, E. Solution of bessel function characteristic equations. Comput. Chem. Eng. 1992, 16, 641–643. [Google Scholar] [CrossRef]
  32. Gonçalves, P.; Brennan, M.; Elliott, S. Numerical evaluation of high-order modes of vibration in uniform Euler–Bernoulli beams. J. Sound Vib. 2007, 301, 1035–1039. [Google Scholar] [CrossRef]
  33. Kassimali, A. Matrix Analysis of Structures, 2nd ed.; Cengage Learning: South Melbourne, VIC, Australia, 2012; OCLC: 753584042. [Google Scholar]
  34. Roberts, J.B.; Spanos, P.D. Random Vibration and Statistical Linearization; Dover Publications: Mineola, NY, USA, 2003. [Google Scholar]
  35. Lutes, L.D.; Sarkani, S. Random Vibrations [Recurso Electrónico] Analysis of Structural and Mechanical Systems; Elsevier: Amsterdam, The Netherlands; Alpharetta, GA, USA, 2004; OCLC: 1045725662. [Google Scholar]
  36. Deodatis, G. Non-stationary stochastic vector processes: Seismic ground motion applications. Probabilistic Eng. Mech. 1996, 11, 149–167. [Google Scholar] [CrossRef]
  37. IEC. Wind Energy Generation Systems—Part 1: Design Requirements; International Electrotechnical Commission: Geneva, Switzerland, 2019. [Google Scholar]
  38. Jonkman, B. TurbSim User’s Guide: Version 1.50; Technical Report NREL/TP-500-46198; National Renewable Energy Laboratory: Golden, CO, USA, 2009. [Google Scholar]
  39. Somoano, M.; Battistella, T.; Rodríguez-Luis, A.; Fernández-Ruano, S.; Guanche, R. Influence of turbulence models on the dynamic response of a semi-submersible floating offshore wind platform. Ocean Eng. 2021, 237, 109629. [Google Scholar] [CrossRef]
  40. Cacciola, P. A stochastic approach for generating spectrum compatible fully nonstationary earthquakes. Comput. Struct. 2010, 88, 889–901. [Google Scholar] [CrossRef]
  41. British Standards Institution; European Committee for Standardization; British Standards Institution; Standards Policy and Strategy Committee. Eurocode 8, Design of Structures for Earthquake Resistance; British Standards Institution: London, UK, 2005. [Google Scholar]
  42. Shinozuka, M.; Deodatis, G. Simulation of Stochastic Processes by Spectral Representation. Appl. Mech. Rev. 1991, 44, 191–204. [Google Scholar] [CrossRef]
  43. Vanmarcke, E.H. Properties of Spectral Moments with Applications to Random Vibration. J. Eng. Mech. Div. 1972, 98, 425–446. [Google Scholar] [CrossRef]
  44. Vanmarcke, E.H. On the Distribution of the First-Passage Time for Normal Stationary Random Processes. J. Appl. Mech. 1975, 42, 215–220. [Google Scholar] [CrossRef]
Figure 1. Conceptual 3D render of the novel hourglass transition piece (HGTP).
Figure 1. Conceptual 3D render of the novel hourglass transition piece (HGTP).
Jmse 14 00325 g001
Figure 2. Simplified model of the wind turbine with hourglass transition piece (HGTP).
Figure 2. Simplified model of the wind turbine with hourglass transition piece (HGTP).
Jmse 14 00325 g002
Figure 3. Tapered Beam Element: (a) degrees of freedom; (b) nodal forces and moments.
Figure 3. Tapered Beam Element: (a) degrees of freedom; (b) nodal forces and moments.
Jmse 14 00325 g003
Figure 4. Power spectral density (PSD) functions of the zero-mean: (a) aerodynamic fore–aft force; (b) aerodynamic torque; (c) seismic ground motion process.
Figure 4. Power spectral density (PSD) functions of the zero-mean: (a) aerodynamic fore–aft force; (b) aerodynamic torque; (c) seismic ground motion process.
Jmse 14 00325 g004
Figure 5. Randomly-selected realisations from the PSD of the: (a) aerodynamic fore–aft force; (b) aerodynamic torque; (c) seismic ground motion.
Figure 5. Randomly-selected realisations from the PSD of the: (a) aerodynamic fore–aft force; (b) aerodynamic torque; (c) seismic ground motion.
Jmse 14 00325 g005
Figure 6. Verification of the proposed model in terms of tower displacement response to: (a) wind loading; (b) seismic event.
Figure 6. Verification of the proposed model in terms of tower displacement response to: (a) wind loading; (b) seismic event.
Jmse 14 00325 g006
Figure 7. Verification of the proposed model in terms of tower displacement response to stochastic: (a) wind process; (b) seismic process.
Figure 7. Verification of the proposed model in terms of tower displacement response to stochastic: (a) wind process; (b) seismic process.
Jmse 14 00325 g007
Figure 8. SET 1: Modal quantities for various reduction ratios R D : (ac) modal shapes, (bd) bending moment for first and second modes, respectively.
Figure 8. SET 1: Modal quantities for various reduction ratios R D : (ac) modal shapes, (bd) bending moment for first and second modes, respectively.
Jmse 14 00325 g008
Figure 9. SET 2: Modal quantities for various reduction ratios R D : (ac) modal shapes, (bd) bending moment for first and second modes, respectively.
Figure 9. SET 2: Modal quantities for various reduction ratios R D : (ac) modal shapes, (bd) bending moment for first and second modes, respectively.
Jmse 14 00325 g009
Figure 10. Power spectral density functions due to the stochastic aerodynamic loading in terms of (ac) RNA top displacement, and (bd) bending moment at the mudline for SET 1 and SET 2, respectively.
Figure 10. Power spectral density functions due to the stochastic aerodynamic loading in terms of (ac) RNA top displacement, and (bd) bending moment at the mudline for SET 1 and SET 2, respectively.
Jmse 14 00325 g010
Figure 11. Normalised peak responses under stochastic aerodynamic loading for several HGTP reduction ratios obtained for (a) SET 1; (b) SET 2.
Figure 11. Normalised peak responses under stochastic aerodynamic loading for several HGTP reduction ratios obtained for (a) SET 1; (b) SET 2.
Jmse 14 00325 g011
Figure 12. Time history functions for a deterministic load applied to the Reference model and wind turbine equipped with HGTP − R D = 0.7 in terms of (ac) RNA top displacements and (bd) bending moments at the mudline for SET 1 and SET 2, respectively.
Figure 12. Time history functions for a deterministic load applied to the Reference model and wind turbine equipped with HGTP − R D = 0.7 in terms of (ac) RNA top displacements and (bd) bending moments at the mudline for SET 1 and SET 2, respectively.
Jmse 14 00325 g012
Figure 13. Power spectral density functions due to the stochastic seismic loading in terms of (ac) RNA top displacement, (bd) max bending moment within the tower, and (e,f) bending moment at the mudline for SET 1 and SET 2, respectively.
Figure 13. Power spectral density functions due to the stochastic seismic loading in terms of (ac) RNA top displacement, (bd) max bending moment within the tower, and (e,f) bending moment at the mudline for SET 1 and SET 2, respectively.
Jmse 14 00325 g013
Figure 14. Normalised peak responses under stochastic seismic loading for several HGTP reduction ratios obtained for (a) SET 1; (b) SET 2.
Figure 14. Normalised peak responses under stochastic seismic loading for several HGTP reduction ratios obtained for (a) SET 1; (b) SET 2.
Jmse 14 00325 g014
Figure 15. Time history functions for a deterministic ground motion applied to the Reference model and wind turbine equipped with HGTP − R D = 0.7 in terms of (ac) RNA top displacements, and (bd) bending moments at the mudline, for SET 1 and SET 2, respectively.
Figure 15. Time history functions for a deterministic ground motion applied to the Reference model and wind turbine equipped with HGTP − R D = 0.7 in terms of (ac) RNA top displacements, and (bd) bending moments at the mudline, for SET 1 and SET 2, respectively.
Jmse 14 00325 g015aJmse 14 00325 g015b
Table 1. Natural frequencies obtained through the analytical and finite element models with R D = 0.5 .
Table 1. Natural frequencies obtained through the analytical and finite element models with R D = 0.5 .
Natural Frequency ω Analytical Model [rad s−1]FE Model [rad s−1]
w 1 0.967460.96752
w 2 8.55428.5542
w 3 25.507525.5068
Table 2. Natural frequencies obtained for HGTP and Reference models (SET 1).
Table 2. Natural frequencies obtained for HGTP and Reference models (SET 1).
R D w 1 [rad s−1] w 2 [rad s−1] w 3 [rad s−1]
0.3 0.8038.28425.47
0.5 0.9688.55425.51
0.7 1.0408.69325.47
0.9 1.0778.76725.40
1 ( R E F ) 1.0898.79125.36
Table 3. Calibrated wall thickness to achieve target frequency for SET 2 models.
Table 3. Calibrated wall thickness to achieve target frequency for SET 2 models.
R D 0.30.50.70.9
t t p [ m m ] 397.4129.672.348.5
Table 4. Natural frequencies obtained for HGTP and Reference models (SET 2).
Table 4. Natural frequencies obtained for HGTP and Reference models (SET 2).
R D w 1 [rad s−1] w 2 [rad s−1] w 3 [rad s−1]
0.3 1.0898.35620.50
0.5 1.0878.66923.73
0.7 1.0878.74524.77
0.9 1.0878.77825.25
1 ( R E F ) 1.0898.79125.36
Disclaimer/Publisher’s Note: The statements, opinions and data contained in all publications are solely those of the individual author(s) and contributor(s) and not of MDPI and/or the editor(s). MDPI and/or the editor(s) disclaim responsibility for any injury to people or property resulting from any ideas, methods, instructions or products referred to in the content.

Share and Cite

MDPI and ACS Style

Tombari, A.; Fabiani, M.; Peng, Y. Random Vibrations of Wind Turbines Mitigated by the Hourglass Transition Piece. J. Mar. Sci. Eng. 2026, 14, 325. https://doi.org/10.3390/jmse14040325

AMA Style

Tombari A, Fabiani M, Peng Y. Random Vibrations of Wind Turbines Mitigated by the Hourglass Transition Piece. Journal of Marine Science and Engineering. 2026; 14(4):325. https://doi.org/10.3390/jmse14040325

Chicago/Turabian Style

Tombari, Alessandro, Marco Fabiani, and Yucheng Peng. 2026. "Random Vibrations of Wind Turbines Mitigated by the Hourglass Transition Piece" Journal of Marine Science and Engineering 14, no. 4: 325. https://doi.org/10.3390/jmse14040325

APA Style

Tombari, A., Fabiani, M., & Peng, Y. (2026). Random Vibrations of Wind Turbines Mitigated by the Hourglass Transition Piece. Journal of Marine Science and Engineering, 14(4), 325. https://doi.org/10.3390/jmse14040325

Note that from the first issue of 2016, this journal uses article numbers instead of page numbers. See further details here.

Article Metrics

Back to TopTop