Next Article in Journal
The Pelagic Laser Tomographer for the Study of Suspended Particulates
Previous Article in Journal
An Enhanced Low-Power Ultrasonic Bolt Axial Stress Detection Method Using the EMD-ATWD Algorithm
 
 
Font Type:
Arial Georgia Verdana
Font Size:
Aa Aa Aa
Line Spacing:
Column Width:
Background:
Article

GUMM-HMRF: A Fine Point Cloud Segmentation Method for Junction Regions of Hull Structures

College of Ship and Ocean, Naval University of Engineering, Wuhan 430033, China
*
Author to whom correspondence should be addressed.
J. Mar. Sci. Eng. 2026, 14(3), 246; https://doi.org/10.3390/jmse14030246
Submission received: 25 December 2025 / Revised: 18 January 2026 / Accepted: 22 January 2026 / Published: 24 January 2026
(This article belongs to the Section Ocean Engineering)

Abstract

Fine segmentation of point clouds in hull structure junction regions is a key technology for achieving high-precision digital inspection. Conventional hard-segmentation methods frequently yield over- or under-segmentation in junction regions such as welds, compromising the reliability of subsequent inspections. This study presents a computational framework that combines the Gaussian-Uniform Mixture Model (GUMM) with the Hidden Markov Random Field (HMRF) and follows a “coarse segmentation–model construction–fine segmentation” pipeline. The framework jointly optimizes the sampling model, the probabilistic model, and the expectation–maximization (EM) inference procedure. By leveraging model simplification and dimensionality reduction, the algorithm simultaneously addresses initial value estimation, spatial distribution characterization, and continuity constraints. Experiments on representative structures, including wall corner, T-joint weld, groove, and flange, show that the proposed framework outperforms the conventional GMM-EM method by approximately 2.5% in precision and 1.5% in both accuracy and F1 score. In local segmentation tasks of complex hull structures, the method achieves a deviation of less than 0.2 mm relative to manual measurements, validating its practical utility in engineering contexts.

1. Introduction

Inspection of apparent dimensions of hull structures has always been a critical component in shipbuilding precision measurement and control [1]. Regulations such as “GJB 3182A-2018 Accuracy requirements for hull construction of naval surface ships” [2] and “GJB 3542A-2021 Accuracy requirements of hull construction for submarine” [3] clearly define what hull-structure dimensions must be measured and the corresponding acceptance criteria. The precision inspection and dimensional measurement of metrics such as flatness, perpendicularity, dimensional deviation, and assembly clearance directly impact a vessel’s strength, performance, safety, and service life [4]. Therefore, high-precision and efficient inspection and evaluation of hull structures are crucial for ensuring product quality, controlling construction costs, and shortening construction cycles. Traditional inspection methods primarily rely on manual measurement and template comparison. These approaches are not only inefficient and labor-intensive but also suffer from limited measurement accuracy and coverage, making them inadequate for meeting the demands of modern large-scale vessels for high-precision, full-dimension inspection [5]. With the advancement of digital manufacturing technologies, the implementation of fully digital and intelligent inspection throughout the hull structure manufacturing process has led to the continuous introduction of newer measurement techniques into the shipbuilding industry [6].
Three-dimensional laser scanning technology, as a rapid, non-contact, and high-precision method for acquiring spatial data, has seen widespread application in industrial measurement in recent years [7,8,9]. Compared to traditional contact measurement methods, such as inspection gauges and calipers, 3D laser scanning technology enables rapid non-contact scanning of hull structures. It efficiently captures massive amounts of 3D coordinate data from component surfaces with sub-millimeter precision [10]. This method fully preserves the geometric details of the hull structure, including local features such as welds, grooves, cut surfaces, and defects [11], providing data support for subsequent high-precision inspections.
However, the effectiveness of laser scanning technology heavily depends on the post-processing capabilities of point cloud data, particularly in the segmentation and extraction of component surfaces, that is, accurately identifying the point cloud of each component surface from dense point cloud data [12]. In 3D reconstruction, segmentation outcomes determine the geometric integrity of structural models. In dimensional measurement, segmentation accuracy directly impacts calculation errors for parameters like length, angle, and flatness. In precision inspection, segmentation deviations, such as inaccurate plane boundary localization, can lead to misjudgments of assembly gaps and erroneous measurements of component deviations [13]. Therefore, point cloud segmentation represents one of the bottlenecks limiting the effectiveness of 3D laser scanning technology in hull precision inspection, and also hinders its widespread adoption and application in actual shipbuilding processes at shipyards. It is evident that achieving precise segmentation at the geometric primitive level within the hull structure’s point cloud is the primary prerequisite for performing the aforementioned precision inspection tasks. The quality of this segmentation directly determines the reliability of subsequent inspection results.
Although segmenting geometric primitives, such as planes, from point clouds is a fundamental and traditional task in point cloud processing [14], numerous mature and widely applicable algorithms already exist, including those based on edge detection, region growing, model fitting as exemplified by RANSAC, and clustering analysis [15]. However, these general-purpose algorithms share a common limitation in that segmentation accuracy, particularly near the boundaries of geometric primitives like planes, is severely constrained by initial parameters or threshold values.
In the practice of point cloud segmentation for hull structures, region growing algorithms are widely employed as preliminary coarse segmentation tools due to their simplicity and ease of implementation [16]. The region growing algorithm selects seed points and iteratively merges neighboring points based on predefined similarity criteria, such as the angle between normal vectors, thereby aggregating points with similar properties into one region [17]. This method is effective for extracting large, relatively flat surfaces such as decks and bulkheads, or cylindrical surfaces with uniform curvature like shell rings and pipes. However, this method is inherently a local feature-based greedy search, with performance highly dependent on user-defined thresholds. The termination condition for growth directly determines the boundary positions of segmented regions [18]. This strong dependency on thresholds makes it difficult to find universal parameter settings when dealing with complex junctions of hull components, leading to widespread over- and under-segmentation.
Over-segmentation refers to the erroneous division of a complete component point cloud into multiple parts [19]. This typically occurs when local deformations or curvature variations exist on the surface of a component. If the similarity threshold for region growth is set too strictly, the algorithm halts growth at points of curvature change, fragmenting a continuous region into multiple pieces. Under-segmentation refers to the erroneous merging of multiple adjacent components into a single part [20], a phenomenon particularly common at component junction regions. Since point cloud attributes, such as normal vectors, gradually change in junction regions, overly lenient thresholds cause the region growth algorithm to cross component boundaries and merge adjacent components. This phenomenon of over- and under-segmentation necessitates extensive manual intervention and correction, making the results of coarse segmentation difficult to use directly for subsequent precision detection and reducing the efficiency and reliability of automated processing.
The surface of the hull structure is largely composed of flat geometric primitives, with transitions between units achieved through fillet transitions or welded joints. At the junction regions of these connections, influenced by manufacturing processes, various transition forms exist, including weld transitions, arc-corner transitions, and sharp-corner transitions. When segmenting the point clouds at these junction regions, traditional segmentation algorithms are affected by initial threshold values, making it difficult to accurately determine the precise boundaries of these geometric primitives. This leads to over- or under-segmentation of the point cloud segments. As shown in Figure 1, preliminary experiments validated limitations of traditional segmentation methods for hull structure point clouds. The region growing algorithm tends to over-segment, contracting component boundaries from actual positions and yielding undersized components. Conversely, the RANSAC algorithm tends to under-segment due to contamination by extraneous points from other components, compromising geometric component fitting and undermining subsequent comparison and deviation analyses. Consequently, inspection results are distorted and fail to accurately reflect hull structure dimensions.
Therefore, at the junction regions of hull component geometric primitives, further optimizing the segmentation effect of hull component point clouds at these interfaces beyond traditional coarse segmentation algorithms to achieve precise segmentation of geometric primitives on both sides of boundary areas holds significant research and engineering value [21]. Traditional point cloud segmentation methods mostly fall under the category of hard segmentation, where each point is strictly assigned to a single category, lacking any description of data uncertainty. This black and white approach often fails to achieve ideal, fine segmentation results when processing point cloud of hull structures, particularly in regions where component boundaries are blurred or poorly defined. In contrast, probabilistic soft-segmentation methods can compute the probability of each point belonging to various categories [22]. By assigning points to categories based on probability values, these methods provide a more refined and rational description of ambiguity in junction regions, enabling high-precision fine segmentation [23].
In particular, soft-segmentation methods based on probabilistic statistical models have gradually emerged as a research hotspot in 3D point cloud segmentation [24]. These approaches transform the point cloud segmentation problem into a probabilistic inference task, assuming that the probability of each point belonging to different categories is computable. Among them, the Gaussian Mixture Model (GMM) combined with the Expectation–Maximization (EM) algorithm constitutes a classic and effective probabilistic segmentation framework, widely applied in the field of image segmentation [25]. The GMM assumes data is a mixture of multiple Gaussian distributions, with each Gaussian distribution corresponding to a latent category. The EM algorithm iteratively estimates the GMM parameters, including means, covariance matrices, and mixture coefficients. During the E step, it calculates the posterior probability of each data point belonging to each Gaussian component, thereby achieving soft classification of the data [26].
In recent years, researchers have conducted multidisciplinary applied studies and made various improvements based on the GMM-EM framework. It has been widely applied in segmentation fields such as medical images [27], forest trees [28], digital signals [29], and civil engineering structures [30]. Zhang et al. [31] used GMM-based 3D ellipsoidal clustering and plane fitting for defect segmentation, but idealized Gaussian clustering as optimal without adaptive mechanisms for curvature, cluster count, or covariance; cross-model generalization remains unvalidated. Hu et al. [32] applied EM iteration to railway point clouds with hierarchical clustering refinement, outperforming standalone methods, yet still require manual cluster specification, remain sensitive to density or occlusion, and lack geometric priors or adaptive weighting.
Su et al. [33] combine region growing with boundary compensation for two-stage plane extraction, restoring coplanar intersection points, but dual angle-distance thresholds sensitive to density and noise cause bulges/gaps where normals are unstable. Liang et al. [34] propose GMMSeg framework that hybridizes generative-discriminative learning via online GMM fitting, yet requires manual Gaussian component setting and suffers from EM initial sensitivity and unvalidated high-dimensional scalability. Jung et al. [35] develop GMM rectangular reconstruction for noisy SLAM point clouds that jointly optimizes box parameters within EM framework, but remains limited to single-box scenarios with sensitivity to initial conditions and non-Gaussian noise.
Although soft-segmentation methods based on probabilistic models offer theoretical advantages, their direct application to segmenting laser point clouds of hull structures still faces numerous challenges. These studies provide theoretical references for addressing the problem of fine segmentation of hull structure point clouds. However, most of these approaches, differing from the characteristics of hull structures, fail to account for variations in probability model distributions and instead employ a single Gaussian mixture model to solve the problem. On one hand, the distribution patterns may not necessarily apply to the actual conditions of the point cloud, thereby reducing the accuracy of the results. On the other hand, the initial parameter estimation fails to account for specific factors within the point cloud, which can easily lead to erroneous outcomes and diminish the algorithm’s robustness. In the field of mixture model modeling and parameter estimation. Min et al. [36] proposed a mixture model that separately models point cloud position and normal information, achieving robust point cloud registration through the EM algorithm. These studies provide insights for selecting among various mixture models.
Furthermore, constructing probabilistic models directly on 3D point clouds presents the dual challenges of computational efficiency and initial parameter uncertainty. Therefore, it is advisable to reduce the dimensionality of the data to simplify computation while preserving segmentation features as much as possible, and to incorporate both the sample model and the probability model at the initial design stage. This requires both that the sample model adequately reflect the spatial characteristics of component-junction regions and that the probability model accurately match each sub-distribution within the sample model to ensure iterative convergence of the EM algorithm. Moreover, compared with existing research, the hull structure exhibits diverse forms, wide dimensional ranges, and significant variations in surface precision. Coupled with noise and outliers introduced by different scanning equipment and materials, these factors place higher demands on the robustness and generalization capabilities of segmentation algorithms.
Additionally, the standard GMM-EM algorithm is sensitive to initial parameters, such as the initial mean and standard deviation of Gaussian components. Improper initialization can cause the algorithm to get stuck in local optima, affecting the accuracy of segmentation results. Previous studies also exhibited shortcomings such as neglect of spatial coherence during segmentation and sensitivity to non-Gaussian noise. Therefore, the algorithmic framework designed in this research must fully address these limitations. Consequently, systematically improving data samples, probability models, and segmentation algorithms tailored to the characteristics of hull structures is crucial for achieving high-precision, robust segmentation.
In response to these challenges, numerous studies in recent years have explored deep learning-based point cloud segmentation methods for complex industrial scenarios [37]. Within hull structure point cloud segmentation, deep learning approaches have achieved significant progress [38], primarily focusing on semantic segmentation tasks that classify each point and identify its semantic category. For instance, Huo et al. [39] addressed the core challenge of dense point cloud semantic segmentation in ship engineering by studying butt joint structures of ship section segments, proposing an innovative preprocessing module that significantly enhances performance. Additionally, other studies have investigated weakly supervised learning for point cloud segmentation to reduce reliance on extensive labeled data [40].
However, the fine segmentation task addressed in this study fundamentally differs from the objectives of these learning-based semantic segmentation methods. This research aims to precisely extract point clouds of individual geometric primitives within the junction regions of structural components, requiring extremely high localization accuracy in boundary areas rather than merely semantic category classification. Furthermore, learning-based methods typically demand substantial high-quality annotated data for training. For hull structure point clouds, acquiring precise boundary annotation data is extremely costly, and annotation quality and quantity directly impact model generalization capability [41]. Manual annotation of precise geometric unit boundaries for this fine boundary extraction task is extremely time-consuming and subjective, creating significant challenges for learning-based methods in practical engineering applications [42].
In summary, the GUMM-HMRF framework developed in this study offers distinct advantages for fine segmentation of point clouds in hull structure junction regions. By employing targeted probabilistic models and optimization strategies, this framework effectively overcomes challenges faced by traditional methods and existing deep learning-based semantic segmentation approaches in handling such tasks, particularly in high-precision boundary extraction and robustness.

2. Materials and Methods

2.1. Geometric Characteristics of Junction Regions

The junction regions of hull structures exhibit pronounced modular characteristics in their geometric forms [43]. Regardless of vessel type or displacement variations, the surfaces within the internal longitudinal and transverse frame structures can be categorized into several fundamental geometric primitives: planes, cylinders, spheres, cones, and so forth. Specifically, large plates such as decks and bulkheads exhibit planar forms; the web and face plates of stiffeners like keels, ribs, and longitudinal stringers are primarily composed of elongated planes, while surfaces of components such as piping, shell rings, and shaft systems manifest as cylindrical surfaces. Thus, hull structure surfaces are complex assemblies of these fundamental geometric primitives, interconnected by short, distinct transition zones [44,45]. These geometric primitives typically feature narrow widths (generally not exceeding 10–15 mm) at connection or junction regions. However, their complex and diverse geometric characteristics often pose challenges and become sources of error in point cloud segmentation for hull components. The geometric features of junction regions can be categorized as follows:
(1)
Weld transition: Weld regions at plate-to-frame connections and between different plates often exhibit weld transitions, particularly at T-section-to-hull structure joints and shell-to-ring-rib interfaces. The weld cross-section approximates a triangle, with edges that gradually and smoothly blend into the base material surface. This lack of a distinct geometric boundary makes it prone to misinterpretation as part of the base material.
(2)
Arc-corner transition: Cold-formed components such as L-sections and elbow plates retain continuous arcs formed by rolling or molding at corners. The cross-section exhibits an approximate arc segment with non-uniform radius, and tangent to the straight edges on both sides. The transition zone is smooth and continuous, making its boundary difficult to extract.
(3)
Sharp-corner transition: For components formed by direct casting, exemplified by cast L-sections, or those connected solely by spot welding, the base metals on both sides of the unwelded region remain in direct contact, forming a rigid ridge. The transition exhibits a sharp, unrounded groove-like edge. Such transitions manifest in cross-section as the direct intersection of two base material surfaces, forming an edge with a near-zero radius. The geometric discontinuity is pronounced, with the boundary precisely traceable to a theoretical intersection line.
Although the aforementioned transition forms vary, from the perspective of spatial geometric relationships, the structures on both sides of the junction regions can be categorized into the following two typical scenarios:
(i)
Intersection of two planes: Both sides are planes intersecting at a certain angle, commonly seen in welded joints or bent transitions.
(ii)
Intersection of plane and cylinder: The intersection forms a spatial curve, typically produced by welding transitions. In a cross-section perpendicular to the weld-trace tangent direction, the trace of the plane-cylinder intersection appears as a straight line that is perpendicular to the cylinder axis.
Furthermore, both scenarios can be abstracted spatially as the intersection of two spatial lines at a defined angle.
Figure 2 illustrates the local geometric configurations of several typical hull structures. Figure 2a depicts the connection region between a bulkhead plate, deck, and stiffening elbow within the hull. These components are joined by welding, with both sides of the weld being planar surfaces forming a 90° angle. The bent edge of the elbow features a circular arc transition, and the two planar sides also form a 90° angle. Figure 2b depicts the intersection between a pipe and a hull plate, joined by welding. The surfaces adjacent to the weld are a plane and a cylinder. The normal of the plane is parallel to the axis of the cylinder. In a cross-section perpendicular to the weld tangent direction, the intersection line of the plane and the cylinder is perpendicular to the weld. Figure 2c depicts the connection zone between a side hull plate and a stiffening T-section. The junction incorporates both welding and sharp-corner transitions, with the two surfaces meeting at an obtuse angle. Figure 2d depicts a ring-rib shell-ring structure, where the junction between the shell ring and the ring ribs incorporates welding and sharp-corner transitions. The intersection lines on either side of the connection are perpendicular in space.
In summary, the geometric features of hull structure junction regions can be systematically categorized into the aforementioned basic forms. However, in actual point cloud data, due to the fuzzy geometry and ambiguous boundaries of junction regions, the point clouds of adjacent components often exhibit complexity and uncertainty. Traditional segmentation methods based on edge or region growing struggle to accurately identify clear boundaries. Therefore, point cloud segmentation algorithms for hull structure junction regions must possess two core capabilities. First, they must robustly extract fundamental geometric primitives such as planes, cylinders, etc., within narrow junction regions containing weld seams, arcs, or sharp-corner transitions, and simultaneously locate their boundaries accurately. Second, in multi-scale scenarios where large components like bulkhead plates measuring several meters coexist with frameworks only tens of millimeters thick, the algorithm must remain robust against density inhomogeneities and random noise caused by scanner accuracy, environmental vibrations, and lighting variations. This ensures consistent segmentation performance across scales and operating conditions.

2.2. Workflow of Fine Segmentation

To overcome the inherent limitations of traditional hard-segmentation methods in handling complex junction regions, this study employs a soft-segmentation framework based on probabilistic statistical models. This framework formalizes the point cloud segmentation problem as a probabilistic inference process, enabling soft classification decisions by calculating the posterior probability that each point belongs to various categories. Specifically, the method assumes that the entire point cloud is generated by a mixture model of multiple latent probability distributions, with each point treated as an independently sampled instance from these distributions. For this purpose, latent variables are introduced to represent the true category membership of each point, and the EM algorithm is employed for iterative estimation of model parameters. During the E-step, the posterior probability that each point belongs to various categories is computed based on the current model parameters. In the M-step, model parameters are updated according to these posterior probabilities to maximize the likelihood function of the observed dataset. Through this iterative process, the algorithm performs soft segmentation of the point cloud, providing probabilistic category assignments for each point. Compared to traditional hard-segmentation methods, this soft-segmentation strategy captures the ambiguity in component junction regions more precisely, offering richer information for subsequent point cloud refinement.
This study proposes a progressive point cloud segmentation computational framework that evolves from coarse to fine, enabling detailed segmentation of point clouds in hull structure junction regions. The framework comprises three stages: coarse segmentation, model construction, and fine segmentation. The entire computational workflow is illustrated in Figure 3 and is detailed as follows:
(1)
Coarse segmentation: This stage aims to rapidly divide large-scale, complex hull structure point clouds into several independent subregions composed of basic geometric primitives. A traditional, computationally efficient region growing segmentation method is employed to achieve preliminary coarse segmentation. The coarse segmentation results need not achieve high precision, but should separate the surface portions of different components, such as bulkheads, longitudinal and transverse frames, piping, and shell rings, to provide a reasonable initial division and candidate regions for subsequent refinement.
(2)
Model construction: Based on the coarse segmentation results, perform least-squares fitting on each segmented point cloud patch to obtain geometric primitive models for each candidate region. Using these models as a foundation, expand the subregions and geometric models derived from coarse segmentation, transforming over-segmentation toward under-segmentation. Using the Euclidean signed distance as the similarity metric, construct mixture probability models, estimating initial parameters for each model based on the fitted geometric models.
(3)
Fine segmentation: Building upon the sample model and probability model, this stage considers the spatial continuity characteristics of different point cloud segments. An improved EM algorithm is employed to solve the mixture probability model, classifying each point based on its assigned probability. This phase focuses on handling complex junction regions to identify the segmentation boundaries of structural components.
This study optimizes the traditional GMM-EM algorithm by jointly designing distance metrics, probability models, and continuous optimization strategies. This approach aims to enhance segmentation accuracy and robustness for point clouds in complex junction regions, encompassing the following three components:
(1)
Designing the sample model: Based on a region growing algorithm with strict thresholds, an initial over-segmented point cloud patch is first obtained and then fitted to a geometric primitive. Subsequently, the Euclidean signed distance from all points to this geometric primitive is calculated. Distances smaller than the predefined deviation threshold are retained as 1D distance samples, effectively reducing the dimensionality from 3D to 1D. The coarse segmentation results also provide estimable and stable initial parameters for the EM algorithm. Furthermore, the use of geometric primitives fitted to coarse-segmented point cloud fragments obtained under strict threshold conditions ensures the accuracy of the distance sampling reference. This establishes a foundation for subsequent computations and plays a crucial role in the stability and robustness of the entire algorithm.
(2)
Designing the probability model: To address the characteristic that interfaces between hull components are either nearly perpendicular or meet at specific angles, this study proposes replacing the traditional GMM with a Gaussian-Uniform Mixture Model (GUMM). This involves adding a uniform-distribution component to the conventional GMM specifically for modeling outliers belonging to adjacent components, thereby enhancing the model’s applicability to such scenes. This design effectively improves the algorithm’s robustness and generalization capabilities in hull-structure segmentation tasks.
(3)
Designing the segmentation algorithm: To overcome the standard EM algorithm’s failure to account for spatial continuity and local consistency in point-cloud segmentation, a Hidden Markov Random Field (HMRF) is introduced as a spatial-smoothing prior. This design employs a segmentation strategy that incorporates the prior knowledge that neighboring points tend to belong to the same category. As a powerful probabilistic graphical model, the MRF effectively models local dependencies within spatial data, fully considering the continuity characteristics of adjacent components within the point cloud.
In summary, this study constructs a distance sample dataset by extending region growing results, establishes a GUMM for under-segmented point clouds of geometric primitives, and develops a fine segmentation algorithm for hull structure point clouds using the HMRF-improved EM algorithm. Comparative validation against existing methods using quantitative metrics demonstrates the effectiveness of the proposed algorithm, which provides a high-precision segmentation approach for subsequent dimensional measurement and accuracy assessment of hull structures.

2.3. Accuracy Evaluation Metrics

To quantitatively evaluate the accuracy of segmentation results, this study employs a universal validation method based on a binary classification problem. First, the two parts of the point cloud are manually annotated, where points belonging to geometric primitives G1 and G2 are labeled as Positive and Negative, respectively. Subsequently, the segmentation algorithm classifies each point to determine its assigned geometric primitive [46]. By comparing the annotated labels with the algorithm’s results, matches are recorded as True and discrepancies as False. This comparison yields the following four possible outcomes:
TP: A true-positive case occurs when the point actually belongs to G1, the algorithm judges it as G1 and the judgment is correct.
TN: A true-negative case occurs when the point actually belongs to G2, the algorithm judges it as G2 and the judgment is correct.
FP: A false-positive case occurs when the point actually belongs to G2, the algorithm misjudges it as G1 and the judgment is incorrect.
FN: A false-negative case occurs when the point actually belongs to G1, the algorithm misjudges it as G2 and the judgment is incorrect.
Based on this, the following binary classification metrics, widely used in classification tasks, are employed to quantify segmentation performance:
(1)
Precision P measures the proportion of points classified as G1 by the algorithm that actually belong to G1, which characterizes the accuracy and reliability of predictions from the proposed algorithm and is defined as
P = T P T P + F P
(2)
Recall R measures the proportion of true G1 points that are correctly identified by the algorithm. A high R indicates fewer missed detections and greater detection completeness. Conversely, a low R suggests that the algorithm has omitted some true G1 points, leading to a higher number of false negatives. It is defined as:
R = T P T P + F N
(3)
Accuracy Acc measures the proportion of correctly predicted samples out of the total sample size. This metric characterizes the overall prediction accuracy and comprehensive reliability of the proposed algorithm across the entire dataset. It is defined as:
A c c = T P + T N T P + T N + F P + F N
(4)
The F1 score provides a balanced combination of P and R, measuring an algorithm’s ability to balance correctness and completeness in its predictions at point G1. A high F1 score indicates that the algorithm effectively minimizes both false positives and false negatives, reflecting strong overall predictive performance. It is defined as:
F 1 = 2 P r e c i s i o n R e c a l l P r e c i s i o n + R e c a l l
In fine segmentation tasks, the primary focus is on P, which involves accurately identifying target points while minimizing the inclusion of erroneous outliers. Outliers not only compromise the accuracy of segmentation results but may also interfere with the fitting precision of subsequent geometric primitives, thereby significantly impacting reverse modeling and accuracy verification. In comparison, R primarily reflects missed detections. Since missed points are typically fewer in number and more evenly distributed, their impact on the overall geometric model is relatively limited. Although higher R is desirable, it is prioritized below P and optimization proceeds only after P is maximized. Acc and F1 score are used to evaluate overall segmentation performance. Although they are prioritized below precision, they remain crucial metrics for assessing algorithm effectiveness. When analyzing these metrics, caution is needed to avoid inflated scores caused by excessively high recall rates. Ultimately, by comprehensively examining these four metrics, segmentation accuracy can be evaluated holistically and intuitively, clearly reflecting algorithm performance differences under varying conditions. Additionally, this study visually demonstrates segmentation results to enhance interpretability and persuasiveness.
Within the binary classification segmentation framework, G1 and G2 form mutually exclusive and exhaustive sets, namely G 1 G 2 = the   entire   point   cloud and G 1 G 2 = . Their confusion matrices exhibit mirror-symmetric relationships T P G 1 = T N G 2 and F P G 1 = F N G 2 , which intrinsically couple the bilateral accuracy metrics. When the algorithm enhances P G 1 by optimizing boundary discrimination, the decision boundary converges toward the true geometric boundary. Consequently, F P G 1 and F N G 1 decrease synchronously while T N G 2 and T P G 2 increase correspondingly, ultimately achieving simultaneous improvement in P G 1 and P G 2 . This bilateral accuracy enhancement demonstrates that the algorithm does not sacrifice accuracy on one side to improve the other.
In hull structure point cloud segmentation, a distinctive feature is that both sides of the boundary constitute target geometric entities, thereby eliminating the conventional notion of a background negative class. Owing to the intrinsic coupling of bilateral precision metrics, improvements in the algorithm’s discriminative capability for G1 can be reasonably extrapolated to imply commensurate enhancements for G2. Consequently, this study strategically concentrates on evaluating G1 accuracy as a representative indicator of the algorithm’s boundary discrimination performance, with G2 results omitted to avoid redundant exposition.

3. Co-Optimized Fine Segmentation

Dominating hull structures in number and exhibiting uniform geometric characteristics, planar elements are adopted as the exemplar to demonstrate the core concept and implementation of the proposed method. The proposed “coarse segmentation–model construction–fine segmentation” framework is a unified modelling scheme applicable to generic geometric primitives without prior assumptions on their types. For cylinders, cones, or spheres, only the surface equation employed in the local fitting stage is modified; parameter estimation [47], probabilistic modelling [48], and spatial-continuity constraints remain unchanged. Hence, the following sections elaborate on planar primitives only; applicability to other shapes has been experimentally validated on representative flange structures.

3.1. Sample Model Design

The core objective of this study is to extract the target geometric primitive and its associated point cloud from the input point cloud that includes an adjacent component. To achieve this, a dimensionality reduction strategy is employed, utilizing Euclidean signed distance as a measure of sample similarity. This approach transforms the point cloud segmentation problem in 3D space into a probabilistic model segmentation problem for a 1D distance variable.
In traditional point cloud segmentation algorithms, Euclidean distance is the most commonly used similarity metric. For the point-to-plane scenario, let the 3D point set be P = { p 1 , p 1 , , p n } , with each point denoted by p i ( x i , y i , z i ) 3 , i = 1 , 2 , , n . The plane equation is A x + B y + C z + D = 0 , and the Euclidean signed distance from a point to the plane is
d E ( P , p l a n e ) = A x i + B y i + C z i + D A 2 + B 2 + C 2
This distance calculates only the perpendicular distance between points and planes in a Cartesian coordinate system, assuming all errors occur along the normal direction while in-plane coordinates are fully reliable. In the fine segmentation algorithm proposed in this study, within the framework of a probabilistic mixture model, the Euclidean signed distance is used to measure the distance between each sample point and the center of each Gaussian distribution component, which is also the geometric center of the component.
It is important to emphasize that reducing the 3D point cloud segmentation problem to a 1D signed distance space is a strategic choice based on hull structure geometry and computational feasibility. Probabilistic modeling directly in 3D coordinate space requires estimating high-dimensional mean vectors and covariance matrices, making the EM algorithm computationally intensive, sensitive to initial conditions, and prone to local optima. By projecting points onto a signed distance domain relative to fitted geometric primitives, the 3D clustering problem is transformed into a manageable 1D histogram peak-finding task, significantly reducing parameter space and computational complexity. This dimensionality reduction represents targeted feature extraction rather than information loss. For hull structure junction regions, segmentation involves delineating precise boundaries between adjacent geometric elements. The signed distance metric fully encodes spatial relationships and relative positional information required to define these boundaries. This targeted information preservation ensures integrity of critical segmentation details while enabling concise probabilistic model construction, achieving a balance between computational efficiency and segmentation accuracy suitable for hull structure analysis.
After determining the metric approach, this study constructs an under-segmented region encompassing the target plane and its adjacent component points through a method of combining coarse segmentation with offset box selection. The construction process of this under-segmented region is as follows: First, a coarse segmentation of the point cloud is performed using a region growing algorithm, with the initial threshold for this step set relatively strictly. The initial parameters of the region growing algorithm typically include neighborhood size, smoothness threshold, curvature threshold, and cluster size constraint. To ensure obtaining coarse segmentation results, the neighborhood size is typically set larger, while the smoothness and curvature thresholds are set smaller. The cluster size constraint is reduced based on the scale of the point cloud. This approach ensures that the segmented regions exhibit extremely high precision, meaning they contain virtually no outliers. However, this comes at the cost of lower recall, resulting in significant missed detections. Based on this high-precision segmentation result, an accurate planar model can be fitted, with this plane serving as the prior model.
Subsequently, the Euclidean signed distance from all points to this reference plane is calculated. Points within a fixed offset range are selected to form a 3D box-selection region. The specific offset depends on the model dimensions but must not be less than the maximum deviation of the point cloud from the plane. In principle, the offset should fully cover the regions missed on either side of the plane and may be enlarged if necessary; typical values range from 1 mm to 10 mm. All points within this region constitute the final under-segmented point cloud and the corresponding distance-sample dataset, as shown in Figure 4. While this dataset achieves high recall by capturing all points on the target plane, it also introduces outliers from adjacent vertical components, leading to low precision. Pseudocode for the entire sample-model construction process is given in Algorithm 1.
This approach transforms the complex 3D segmentation problem into an analysis of the probability distribution of a 1D distance variable, reducing computational complexity without loss of essential segmentation cues. By casting the task as peak detection in a 1D histogram, it achieves robustness and efficiency. Furthermore, the 1D distance space preserves spatial relationships between the point cloud and the target plane: in-plane points cluster near zero mean, whereas outliers deviate systematically, generating statistically separable modes. This 3D-to-1D projection enables subsequent EM-based probabilistic modeling to segment inliers from outliers via statistical inference.
Algorithm 1: Build Sample Dataset
Input: Point cloud P; KSearch number k,
   Offset threshold dt, Smooth threshold θ, Curvature threshold σ
Output: Distance dataset D, Point indices dataset I
Jmse 14 00246 i001

3.2. Probabilistic Model Design

Based on an analysis of the local point cloud distribution characteristics in junction regions and the statistical properties of the 1D distance variable from points to the fitted plane, this study proposes the following core hypothesis: In an under-segmented point cloud model, the point cloud primarily consists of two types of points, which are genuine structural points located on the target plane and outlier originating from adjacent structures. These two types of points exhibit significantly different statistical characteristics in the 1D distance space [49], as shown in Figure 5.
Specifically, the theoretical distance of points on the target plane should be zero. However, due to factors such as systematic errors in measurement equipment, surface roughness of components, uneven coatings, and corrosion wear, the actual distance values exhibit an approximate Gaussian distribution centered at zero. Therefore, a Gaussian distribution is employed to model these in-plane points.
In contrast, outliers originating from adjacent components exhibit a broader distribution range to the target plane. Considering that adjacent components can typically be approximated as a plane forming an angle with the target plane, the points on these components display an approximately uniform distribution in distance. Although such points may also be affected by Gaussian noise, in engineering practice, as long as their distance deviation δ is significantly greater than the sum of the ranging noise and surface roughness σ , their distance histogram will exhibit an approximately uniform distribution with slight perturbations in [ δ , δ ] . To simplify the model and enhance algorithmic robustness, this study models such outliers using a continuous uniform distribution.
In summary, this study constructs a GUMM, assuming that the 1D distance data results from the linear superposition of a single Gaussian distribution and a uniform distribution. Its concept involves introducing a uniform distribution component to the traditional Gaussian distribution to model outliers that do not belong to the target components. The complete GUMM can be expressed as:
p ( d ) = w 1 N ( d | μ , σ 2 ) + w 2 U ( d | a , b )
where w 1 and w 2 are mixing weights satisfying w 1 + w 2 = 1 . N ( d | μ , σ 2 ) represents a Gaussian distribution with mean μ and standard deviation σ, used to model points on the target plane. The distribution density function N of its sample model is:
N ( d | θ ) = 1 2 π σ 2 exp ( d μ ) 2 2 σ 2
U ( d | a , b ) is a uniform distribution defined on the interval [ a , b ] , used to model outliers. The distribution density function U of its sample model is:
U ( d | θ ) = 1 b a   ,   a < d < b 0 ,   e l s e
This model aligns with the prior understanding of point cloud physical composition. The probabilistic model demonstrates soundness while enhancing outlier detection capabilities, providing a clear mathematical framework for subsequent EM algorithm parameter estimation and point cloud segmentation.
Regarding the initial parameter setting for the EM algorithm, the point cloud distance distribution corresponding to the initial coarse segmentation results exhibits a single Gaussian shape. Its statistical parameters, mean and standard deviation, are essentially consistent with the overall distribution of the true planar region including points not accurately segmented. Since the proportion of inaccurately segmented parts is relatively small, their impact on the overall Gaussian parameter estimation is negligible. Therefore, this distribution can serve as the initial model for the Gaussian component. If the distance set D 0 from the initial coarse segmented point cloud to the plane is denoted as D 0 , then the initial parameters for the Gaussian distribution model in the EM algorithm can directly adopt the mean μ ( D 0 ) and standard deviation δ ( D 0 ) of D 0 .
Similarly, since the distance offset δ is significantly larger than the maximum value of the Gaussian component, the initial parameters of the uniform distribution from adjacent components can be rapidly estimated by directly obtaining the minimum and maximum distance values from the entire offset point cloud to the plane. If the distance sample set from the entire offset point cloud to the plane is denoted as D 1 , the initial parameters for the uniform distribution model in the EM algorithm can be directly set as a = min ( D 1 ) and b = max ( D 1 ) . The initial weights can also be estimated based on the proportion of the initial coarse segmentation point cloud N0 within the entire offset point cloud N 1 . Thus, the initial values for the EM algorithm are fully known and the overall probability density function for GUMM is:
p ( d | θ ) = N 0 N 1 N ( μ ( D 0 ) , δ ( D 0 ) 2 ) + N 1 N 0 N 1 U ( min ( D 1 ) , max ( D 1 ) )
The robustness of the GUMM to noise and outliers is primarily manifested in the iterative mechanism of the EM algorithm. During the E step, the posterior probability of each point belonging to a component is calculated. For outliers far from the Gaussian center, the probability of belonging to the Gaussian component is low, while the probability of belonging to the uniform component is high. Therefore, when updating Gaussian parameters during the M step, the contribution of such points to the mean and variance is suppressed. This ensures that the Gaussian component is primarily dominated by genuine component points, achieving an accurate fit to the target geometry.

3.3. EM Algorithm Enhancement

Although GUMM provides an effective probabilistic framework for point cloud segmentation in junction regions, the standard EM algorithm has an inherent limitation when addressing this problem, as it assumes all data points are independently and identically distributed. However, this assumption often fails in the point cloud data of actual hull component surfaces. As a form of spatial data, point clouds inherently exhibit strong spatial continuity and local consistency. Specifically, adjacent points in 3D space typically share the same physical attributes such as belonging to the same plane or object. When calculating the posterior probability for each point, the standard EM algorithm considers only the point’s own observation value, that is, the distance to the plane, while ignoring the category information of its neighboring points. This leads to the algorithm being prone to isolated segmentation errors when encountering noise or regions with blurred boundaries. That is, individual points or small clusters of points are misclassified, thereby reducing the smoothness of the segmentation results, as shown in Figure 6.
To overcome this limitation, Markov Random Fields (MRF) are introduced as a spatial smoothing prior. An MRF is a probabilistic graphical model capable of modeling local dependencies within spatial data. By treating each point’s latent category label as a node and defining neighborhood relationships, the prior knowledge that neighboring points tend to belong to the same category is formally incorporated into the segmentation process. Within the EM algorithm framework, this means that when calculating the posterior probability, that is, responsibility, for each point, not only its own observed data is considered, but also the current classification status of other points within its neighborhood. This mechanism suppresses isolated misclassifications, yielding spatially smoother and more coherent segmentation results. For instance, a noisy point situated at the boundary between Gaussian and uniform distributions will have its probability of being classified as Gaussian enhanced by the MRF prior if the vast majority of its neighboring points are classified as Gaussian. This prevents segmentation errors caused by a single outlier point. Therefore, incorporating MRF smoothing is a critical step in enhancing segmentation accuracy, particularly for P. It enables the algorithm to better leverage the spatial structural information within the point cloud, yielding segmentation results that reflect physical reality.

3.3.1. HMRF Prior Definition

To incorporate spatial continuity constraints into the EM algorithm, the latent category label of each data point, whether it belongs to a Gaussian or uniform distribution, is modeled as an MRF. In this model, each data point d i corresponds to a latent variable x i { 0 , 1 } , where x i = 0 indicates that the point within the plane belongs to the Gaussian distribution, and x i = 1 indicates that the outlier belongs to the uniform distribution. The set of all hidden variables X = { x 1 , x 2 , , x N } constitutes the node set of the MRF. The core principle of MRF is that the state of a node, its category label depends solely on the states of its neighboring nodes, while remaining independent of all other non-neighboring points in the point cloud. This property is known as the Markov property, mathematically expressed as:
p ( x i | X \ i ) = p ( x i | X N ( i ) )
Here, X \ i denotes the set of all nodes except x i , while X N ( i ) denotes the set of all points within the neighborhood of point i. By introducing an MRF prior for the latent class labels X, a regularization term is added to the likelihood function in the EM algorithm. This prior term encodes the expectation that spatially adjacent points should share the same class label. Within the Bayesian framework, this transition corresponds to shifting from maximum likelihood estimation (MLE) to maximum a posteriori (MAP) estimation. MAP estimation requires not only that the model adequately explains the observed data but also that its parameters and latent variable states satisfy the prior assumptions. Consequently, the introduction of the MRF prior encourages the EM algorithm to favor spatially smooth and continuous segmentation results during iterative optimization. This suppresses isolated misclassifications caused by data noise or model imperfections, thereby enhancing the quality and robustness of the segmentation.
Within the MRF framework, the potential function quantifies the energy or cost arising from within-neighborhood state inconsistency. To encourage spatial smoothness, the Potts model is selected as the potential function. As a classical MRF model, the Potts model features a simple and intuitive potential, suited to point cloud segmentation tasks requiring regional consistency. For a pair of adjacent nodes ( i , j ) , the Potts potential function V ( x i , y i ) is defined as:
V ( x i , x j ) = 0 , x i = x j 1 , x i x j
This definition implies that if two adjacent points are assigned to the same category, no penalty energy is generated between them, for which the potential energy equals 0. Conversely, if they are assigned to different categories, a unit of penalty energy is generated, for which the potential energy equals 1. The total energy E ( X ) of the entire MRF is the sum of the potential energies of all neighborhood pairs:
E ( X ) = ( i , j ) N V ( x i , y i )
This total energy term is incorporated into the EM algorithm’s objective function as a negative prior log-likelihood. Consequently, during iteration, the algorithm tends to seek a classification scheme that minimizes the total energy, that is, minimizes the log-likelihood of label inconsistencies within neighborhoods. This induces spatial smoothing, as any operation assigning adjacent points to different classes increases the objective function value and is thus penalized by the algorithm. This elegant and effective property of the Potts model makes it an ideal choice for implementing spatial smoothing constraints. It enhances segmentation results’ continuity and visual plausibility without significant computational overhead.
The construction of MRF models relies on a clearly defined neighborhood system that determines which nodes are considered adjacent. In 3D point cloud data, the most natural and commonly used neighborhood definition is based on k-Nearest Neighbors (k-NN) graphs. For each point, its k-NN neighborhood is defined as the set of the k closest points in 3D Euclidean space. This approach adaptively captures the local geometric structure of the point cloud, ensuring each point maintains a fixed number of neighbors regardless of density variations. Compared to spherical neighborhoods based on fixed radii, the k-NN graph demonstrates greater robustness in areas with uneven point density, avoiding too few neighbors in sparse regions or too many in dense regions. Constructing the k-NN graph typically requires efficient spatial indexing structures like KD-trees. Once the graph is built, the k-NN graph defines the graph structure of the MRF, enabling subsequent computation of the MRF prior term in step E.
Typically, fixed k-values may struggle to maintain consistent neighborhood scales for point clouds with uneven density. However, this study focuses on high-density point cloud data acquired by high-precision 3D laser scanning equipment with 0.1–0.5 mm resolution. Within local regions, point spacing is minimal and relatively uniform, providing favorable conditions for down-sampling. To address this, the voxel grid subsampling method is employed during point cloud preprocessing, where an appropriate voxel size is selected based on point cloud dimensions to retain one representative point per voxel. This approach standardizes point cloud density, ensuring roughly equal point counts within regions of similar dimensions. Consequently, constructing the k-NN graph with a fixed k value ensures that the k nearest neighbors of each point share a consistent spatial scale, thereby eliminating inconsistent neighborhood scales caused by point density variations.

3.3.2. MAP Estimation

In the standard EM algorithm, the objective is to maximize the log-likelihood function of the observed data, that is, to find a set of model parameters θ that maximizes L ( θ ) = i = 1 N log p ( d i | θ ) . However, this approach neglects the spatial structure information in the data. To introduce spatial smoothness constraints, a Bayesian inference framework is adopted, transforming the objective from MLE to MAP. According to Bayes’ theorem, the posterior probability of parameter θ and latent variable X is proportional to the likelihood-prior product:
p ( θ , X | D ) p ( D | θ , X ) p ( X ) p ( θ )
To simplify the problem, it is assumed that the prior distribution p ( θ ) of parameter θ is uniform. Therefore, maximizing the posterior probability is equivalent to maximizing p ( D | θ , X ) p ( X ) . Taking the logarithm yields the new objective function:
L ( θ , X ) = log p ( D | θ , X ) + log p ( X )
Here, log p ( D | θ , X ) represents the standard log-likelihood term, while log p ( X ) denotes the prior term for latent variables defined by the MRF. According to the Hammersley-Clifford theorem, the prior probability of an MRF can be expressed as a product of potential functions, whose logarithm equals the sum of potential functions. Therefore, incorporating the Potts model, the final objective function can be written as:
L ( θ , X ) = i = 1 N log p ( d i | x i , θ ) β ( i , j ) N V ( x i , x j )
This formula demonstrates the integration of the likelihood term and the prior term. The first term represents the data fitting component, requiring model parameters to adequately explain the observed data. The second term constitutes the spatial regularization component, ensuring spatially smooth segmentation. By maximizing this objective function, the resulting model parameters and classification outcomes will achieve the optimal balance between data fitting and spatial smoothness.
In the E step of the HMRF-EM algorithm, the core task is to compute the posterior probability of each data point d i assigned to each category k, that is, the likelihood ratio γ i k , given the current model parameters θ ( t 1 ) and the neighborhood labels X N ( i ) ( t 1 ) . According to Bayes’ theorem, this posterior probability is proportional to the likelihood-prior product:
γ i k = p ( x i = k | d i , θ ( t 1 ) , X N ( i ) ( t 1 ) ) p ( d i | x i = k , θ ( t 1 ) ) p ( x i = k | X N ( i ) ( t 1 ) )
Here, p ( d i | x i = k , θ ( t 1 ) ) is the probability density function of data point d i under category k. For a Gaussian distribution with k = 0 and a uniform distribution with k = 1, their expressions are given by:
p ( d i | x i = 0 , θ ) = N ( d i ; μ g , σ g 2 ) ,   p ( d i | x i = 1 , θ ) = U ( d i ; u l , u h )
where p ( x i = k | X N ( i ) ( t 1 ) ) is the MRF prior term, which measures the consistency between classifying point i as k and the labels of its neighborhood. According to the definition of the Potts model, this prior term can be expressed as:
p ( x i = k | X N ( i ) ( t 1 ) ) exp β j N ( i ) V ( k , x j ( t 1 ) ) = exp β j N ( i ) II ( x j ( t 1 ) k , )
Here, II ( ) is the indicator function, taking the value 1 when the condition is true and 0 otherwise. The meaning of this exponential term is that if many neighboring points differ from k, then the cost of assigning point i to category k becomes high, thereby reducing its prior probability. Combining the above elements yields the final formula for calculating responsibility:
γ i k ω k ( t 1 ) p ( d i | x i = k , θ ( t 1 ) ) | X N ( i ) ( t 1 ) ) exp β j N ( i ) II ( x j ( t 1 ) k , )
This formula lies at the core of the HMRF-EM algorithm, ingeniously combining the inherent characteristics of the data, that is, distance, with spatial contextual information, that is, neighborhood labels, to produce more robust classification decisions.

3.3.3. Adaptive β Selection

In the HMRF-EM objective function, parameter β plays a critical role by directly controlling the strength of the spatial smoothing prior. β is a non-negative real number with physical interpretation as a penalty coefficient that quantifies label inconsistencies within neighborhoods. Its value determines the balance between data fitting and spatial regularization terms. To select the optimal β, binary search is employed within the range [0.1, 2.0] with an initial value of 0.8 over 20 iterations. The search progressively narrows the range by evaluating the pseudo-likelihood (PL) for each candidate β, where PL is computed using the following objective function:
P L ( β ) = i = 0 N 1 log ( p G ( x i ) + p U ( x i ) ) β i = 0 N 1 j N ( i ) II ( x j ( t 1 ) x i )
The binary search algorithm maximizes PL at each iteration while narrowing the search range through bound adjustments. Convergence behavior depends primarily on the PL function, which converges to a local optimum after a finite number of iterations. Halving the search range at each iteration yields logarithmic convergence, ensuring the final β value lies within a narrow range where PL is maximized, thus guaranteeing selection stability. The algorithm typically converges within 20 iterations with computational complexity O ( N k ) , where N denotes data dimension and k represents neighboring points, indicating high efficiency.
Excessive smoothing occurs when β is set too large, as larger values enhance label assignment smoothness and may produce overly consistent labels between neighboring points even when data indicate significant class differences. This over-smoothing is particularly pronounced at distinct, discontinuous class boundaries. The binary search method mitigates this risk by balancing data likelihood and MRF prior contributions during optimization. By considering overall PL when optimizing β within a fixed range, the algorithm minimizes over-smoothing and prevents MRF smoothing from dominating the model’s ability to reflect true data structure. Experiments have validated that the selected β range maintains an appropriate balance between smoothness and accuracy.

4. Experimental Validation and Analysis

4.1. Typical Model Segmentation

To comprehensively and objectively validate the effectiveness of the proposed algorithm, all experiments were conducted on real-world datasets. These datasets encompass typical structures such as an interior wall corner model of a room, a T-joint model, a V-groove model, a flange end face and a cylindrical surface model. The selected point clouds featured high density, varying degrees of boundary fuzziness in junction regions, and different noise levels.
For real-world point clouds, classification labels cannot be directly obtained for each point. Therefore, manual annotation is employed to create labels for each component region. Specifically, professional point cloud processing software such as CloudCompare 2.13 and Rhinoceros 5 is used to manually trace the precise boundaries between components within the point cloud. Points on either side of the boundary are segmented using manual selection or flood-filling algorithms and assigned corresponding category labels. This process provides a baseline for quantitative evaluation.
After fine segmentation, the computational results are compared point-by-point with the classification labels to obtain TP, FP, TN and FN counts, from which P, R, Acc and F1 score are computed. Qualitative assessment is simultaneously performed by visualizing the segmentation results. To demonstrate the advantages of the proposed algorithm, several improved methods are benchmarked against the baseline GMM-EM. The entire computational process was implemented in C# and integrates the region growing segmentation with basic point cloud routines from PCL. All operations were executed on a single workstation (Intel Core i7-8700 CPU, 32 GB RAM). Figure 7 shows the segmentation procedure for every model and the overall GUMM-HMRF output.

4.1.1. Wall Corners Plane Segmentation

This case study utilizes the laser-scan model dataset of an office room at the Institute of Informatics, University of Zurich (Rooms UZH IfI) [50] as the experimental data. This dataset was captured using a FARO Focus 3D laser scanner, which features a full field of view of 360° × 305° and point cloud resolution of up to 1024 × 4338. The experiment focuses on a corner region within the dataset, measuring 48.2 mm × 33.8 mm × 15.5 mm and containing 1521 points. This corner is formed by two perpendicularly intersecting wall surfaces. Its geometric characteristics closely resemble those of common local connections in hull structures, such as right-angle bent plates and angle steel, making it highly representative of such joints. However, compared to industrial steel structures, the wall surfaces exhibit larger surface undulations. Under large space scanning conditions, constrained by instrument accuracy, the acquired point cloud data exhibit significant noise, and the point density in local areas is relatively low.
As shown in Figure 8a, ground truth labels were created by means of manual bounding box annotation. Initially, region growing was employed for coarse segmentation. Under relatively strict threshold parameters (smoothness threshold = 3, curvature threshold = 1), the region growing algorithm exhibited significant over-segmentation at the junction of the two wall planes, as illustrated in Figure 8b. Specifically, a blank region appeared at the junction regions, where points were not assigned to either wall plane, resulting in a R of only 86.26%, as shown in Figure 7. Although P reached 100% at this stage, indicating the segmented point cloud was entirely correct, the severe false negative rate rendered the coarse segmentation unsuitable for detailed modeling requirements.
To address this issue, a processing strategy based on geometric primitive fitting and offset box selection was adopted, as illustrated in Figure 8c. First, planar fitting was performed on the point cloud of the already segmented wall plane. Then, using this plane as a reference, an offset distance of 5 mm was set. All points with a Euclidean distance less than 5 mm to this plane were extracted, forming a new point cloud set awaiting segmentation. This new point cloud set contains all points from the target wall plane along with some points from adjacent walls, creating a typical under-segmentation problem. Subsequently, the GUMM-HMRF algorithm is applied to this point cloud, using the Euclidean signed distance from each point to the fitted plane as the input samples for modeling and segmentation. As shown in Figure 8d, experimental results demonstrate that the GUMM-HMRF algorithm accurately identifies the junction between the two side walls. Its segmentation results exhibit high consistency with the annotated ground truth, effectively resolving the issue of inaccurate segmentation in junction regions encountered by traditional methods.
Four algorithms were employed for fine segmentation, with the number of iterations and segmentation accuracy metrics for each algorithm recorded, as shown in Figure 9. Subfigures (a) to (d) present results from the baseline GMM-EM method, followed by results obtained by sequentially replacing EM with HMRF and GMM with GUMM, with the final result showing GUMM-HMRF. To highlight the advantages of the proposed algorithm, the improved method is compared with the baseline GMM-EM approach.
As shown in Figure 9, the GUMM-HMRF algorithm achieves significantly higher P, Acc and F1 scores than the baseline GMM-EM method on the wall corner model. Regarding the number of iterations, GUMM-HMRF reduces the iterations from 46 for GMM-EM to 15, demonstrating that the improved probabilistic model and optimization algorithm exhibit faster convergence and better stability. Although HMRF introduces additional prior computations, increasing the single iteration time, the reduced iteration count reflects the algorithm’s robustness. This is acceptable since the study focuses on offline fine segmentation, where speed is not the primary concern.
The trend in P indicates a clear positive correlation between improvements in probabilistic models and algorithms and segmentation accuracy, which increased from 92.87% to 96.01%. This demonstrates that GUMM and HMRF positively influence segmentation accuracy from distinct aspects, probabilistic modeling and optimization algorithms, respectively. Although R slightly decreased from 99.49% to 97.96%, considering that this study prioritizes segmentation accuracy, minor missed detections have minimal impact on overall size. Moreover, the 3.14% improvement in P significantly outweighs the 1.53% decline in R, rendering this outcome acceptable. Overall, the significant improvements in Acc and F1 scores, from 95.79% and 96.07% to 96.84% and 96.98%, further demonstrate the superiority of the GUMM-HMRF algorithm.
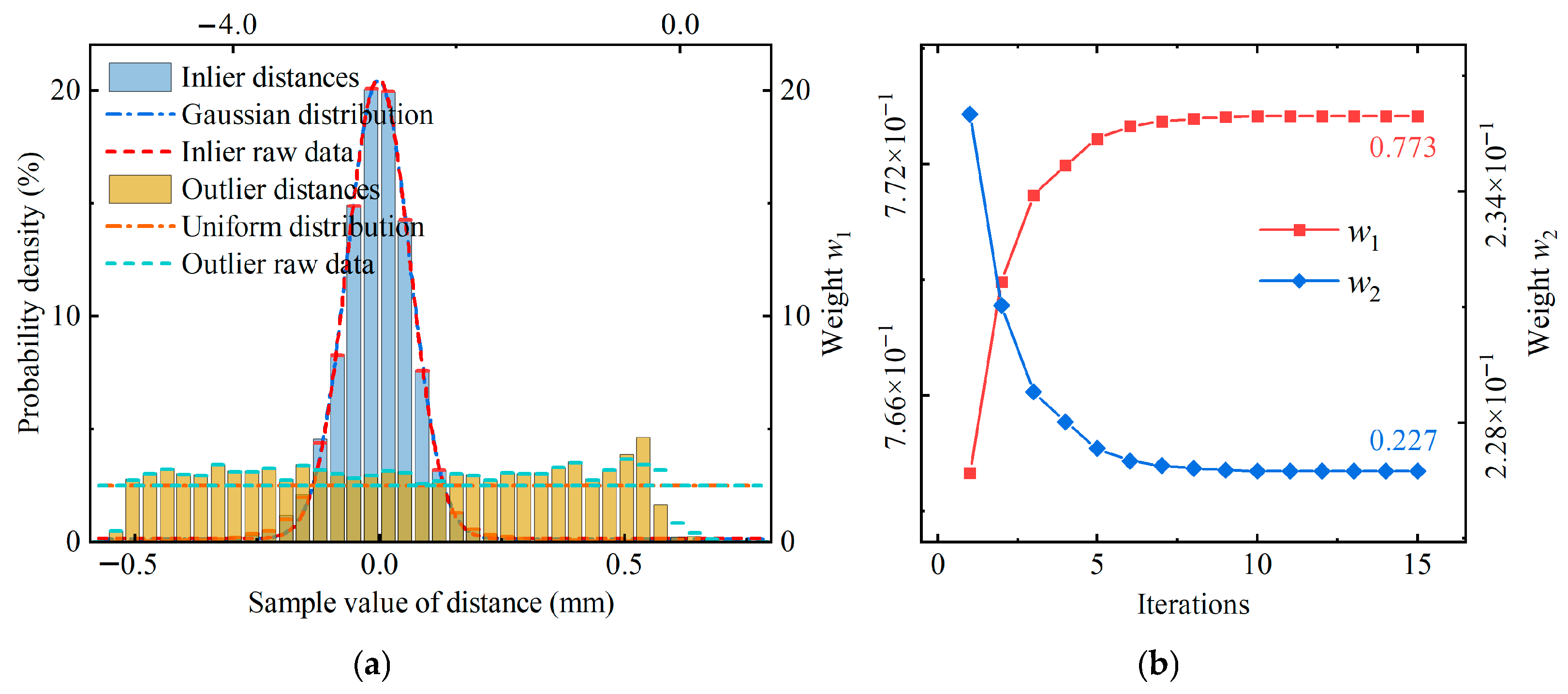
Statistical analysis was performed on the distance samples from the classification results obtained by GUMM-HMRF. A statistical distribution diagram of the samples and its fitting curve was plotted, as shown in Figure 10a. The figure clearly demonstrates that the point cloud distance samples belonging to the planar region exhibit a typical bell-shaped distribution, characterized by a high peak in the middle, lower values on both sides and bilateral symmetry, consistent with the Gaussian distribution pattern. After fitting these samples with a Gaussian curve, the resulting curve largely aligns with the distribution trend of the samples, further validating their Gaussian characteristics. Additionally, statistical analysis and fitting were performed on the distance samples from the manually annotated original data. The results show minimal discrepancy between the computational outcomes and the original data, consistent with the high segmentation accuracy metrics. These findings collectively confirm that the distance samples of the point cloud in the planar region conform to a Gaussian distribution.
For the point cloud of the adjacent wall section, the sample distribution of distances to the fitted plane generally maintains an approximately uniform level. After linear fitting of these samples, the resulting curve generally aligns with the data trend. However, the variance in deviation between the sample distribution and the fitted curve is relatively large. This is attributed to the overall high noise level in the corner point cloud data and the small sample size, where the influence of various minor probability distributions compromises its stability. Similarly, statistical analysis and fitting of distance samples from the point cloud of adjacent wall section in the original data reveal minimal discrepancy between computational results and raw data. This further corroborates the uniform distribution of distance samples in adjacent structural components and validates the suitability of GUMM for modeling the actual distribution of the point cloud.
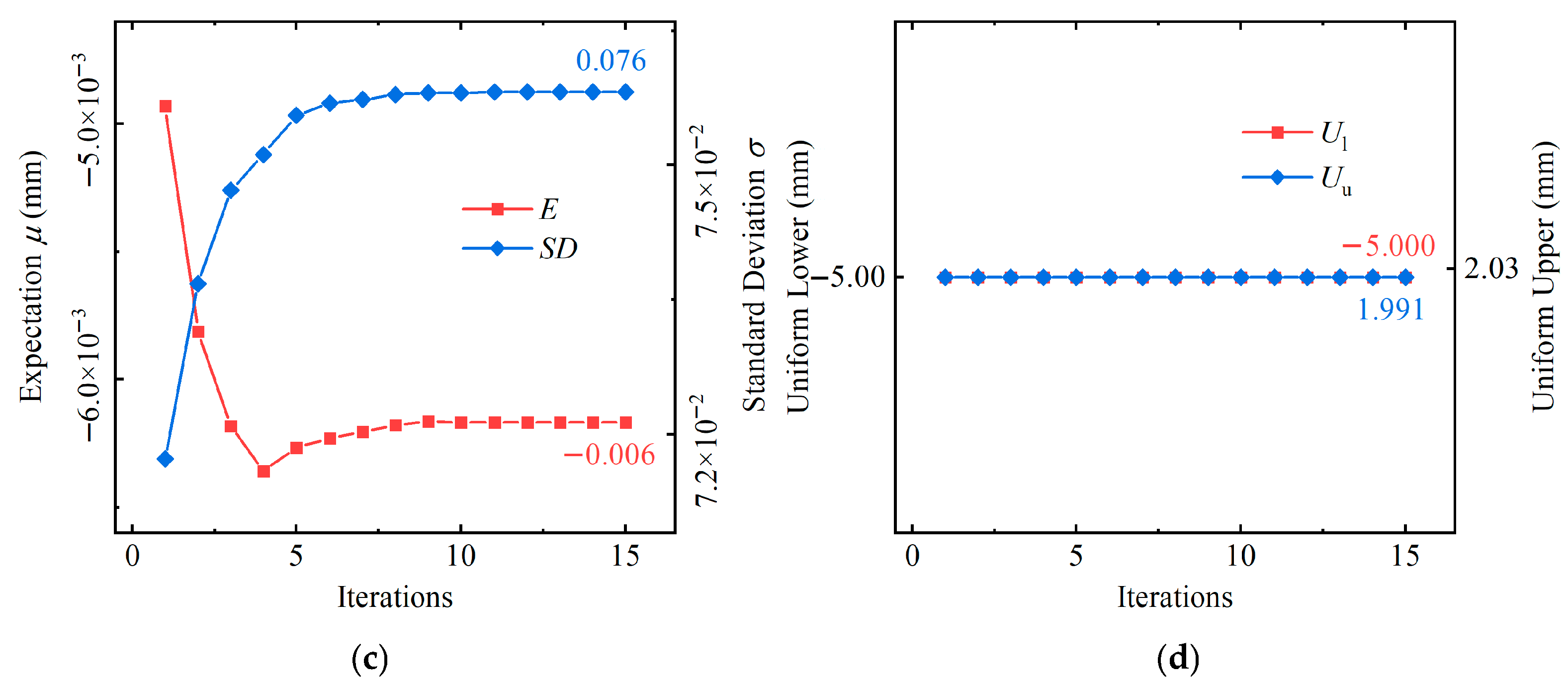
Figure 10b–d, respectively, show the evolution curves of Gaussian sub-distributions, uniform sub-distributions and their respective weights during the GUMM-HMRF segmentation process. The figures reveal that the convergence of each parameter is relatively stable with minimal fluctuations, progressing steadily along the gradient descent direction. This indicates that the initial parameter settings for the mixture model are reasonable, with no instances of iterative divergence or oscillatory behavior observed. Furthermore, the final converged values of each sub-distribution closely match those obtained from fitting the sample distribution, further validating the correctness and stability of the algorithm.

4.1.2. T-Joint Weld and Plane Segmentation

T-joints represent a typical structural component in hull structures, characterized by two perpendicularly intersecting planar plates connected via a weld zone. The complex geometry and rough surface of the weld zone, coupled with inconsistent fillet dimensions and depths, results in ambiguous boundaries between the weld and the adjacent planes, posing challenges for precise point cloud segmentation. However, the entire weld can be conceptualized as a planar region forming an angle of approximately 135° with the adjacent plane. The distance distribution of points in the weld region to this adjacent plane is largely uniform. Therefore, the point cloud data from this weld section are also suitable for the proposed GUMM algorithm. To validate the effectiveness of the proposed algorithm in handling such weld features, a real-world scanned point cloud of a T-joint was selected as the experimental subject, as shown in Figure 11a.
Data was acquired using a Creaform Go!SCAN 50 handheld scanner, which combines white light patterns and high-frame-rate cameras to generate dense, high-precision point clouds. With a maximum scanning rate of 550,000 points per second and a local scanning accuracy of up to 0.5 mm, it meets the high-precision data acquisition requirements for ship hull structures. The selected local weld structure dimensions were 50.2 mm × 48.3 mm × 23.6 mm, containing 8199 points after uniform down-sampling. Using manual line tracing segmentation, the point clouds on both sides adjacent to the weld were labeled as Plane 1 and Plane 2, respectively. Points within the weld region were marked as outliers to serve as the evaluation benchmark for segmentation performance, as shown in Figure 11c.
As shown in Figure 11a,b, the T-joint model and original point cloud are presented. Initially, the region growing algorithm is employed for preliminary segmentation. Due to significant variations in surface curvature near weld seams, the region growing process prematurely terminates under strict initial threshold conditions, resulting in over-segmentation of the plane point clouds. This manifests as ineffective identification and classification of point clouds in certain plane regions, as illustrated in Figure 12b. To address this issue, a preprocessing strategy similar to that used for the corner model is adopted. First, one side of the plane point cloud is fitted. Then, using this fitted plane as a reference and setting a 3 mm offset distance, an under-segmented point cloud containing all plane points and some adjacent weld points is extracted, as shown in Figure 12c. Subsequently, the GUMM-HMRF algorithm is applied to this point cloud. Experimental results demonstrate that the GUMM-HMRF algorithm clearly identifies weld boundaries, accurately classifies the weld region as outliers and leverages the spatial constraint properties of HMRF to enhance neighborhood consistency. This achieves precise segmentation of the weld from the adjacent planes. The segmentation result is shown in Figure 12d, featuring a clearly defined weld boundary with minimal misclassifications. This demonstrates the capability of the GUMM-HMRF algorithm in handling complex junctions and ambiguous boundaries.
Four algorithms were employed for fine segmentation, and the number of iterations as well as segmentation accuracy metrics were evaluated for each method. As shown in Figure 13, the GUMM-HMRF algorithm demonstrates outstanding performance, significantly outperforming the baseline GMM-EM method across all three key metrics, including P, Acc, and F1 score. Although its iteration count is not the lowest, it still surpasses the baseline method in terms of overall performance. The trend in P reflects consistent improvement with model and algorithm enhancements, with segmentation accuracy increasing from 95.2% to 96.19%. Regarding R, GUMM-HMRF achieves 99.76%, slightly lower than GMM-HMRF’s 99.84%, but still significantly higher than the baseline method’s 98.89%, representing an improvement of 0.87%. Overall, GUMM-HMRF achieves the best comprehensive performance in the segmentation task of local welds on T-shaped profiles.
Similarly, sample statistics were calculated for the distances from points belonging to the plane and the weld to the fitted plane. Sample statistics plots were generated for both the GUMM-HMRF calculation results and the annotated results, and fitting was performed for each statistical component, as shown in Figure 14a. The point cloud samples belonging to the plane exhibit distinct Gaussian distribution characteristics, while those belonging to the weld show pronounced uniform distribution features. Notably, in the region near the plane within the weld area, specifically at the interface between the weld and the plane, the number of points distributed in this distance range is relatively high. This primarily stems from the weld shape in the selected model being concave relative to the plane, with the weld gradually rising as it moves away from the boundary. Since this study approximates the weld as a plane, a slightly higher proportion of points near the zero value occurs. This aligns with the weld’s actual structure and demonstrates the GUMM’s effectiveness in handling such complex scenarios. Furthermore, the convergence curves of various parameters during the GUMM-HMRF segmentation process also demonstrate excellent stability and convergence, further validating the correctness and reliability of the algorithm, as shown in Figure 14b–d.

4.1.3. V-Groove Plane Segmentation

A groove is a specific geometric shape machined onto the edge of a plate prior to welding. Its surface consists of two symmetrical or asymmetrical beveled surfaces with defined angles and opening angles. The V-groove structure is characterized by two flat sides forming a specific angle, with a sharp transition at their junction. It is commonly found and representative in ship hull structures. To validate the effectiveness of the proposed method on such structures, this experiment selected a high-precision machined stainless steel V-groove model. As shown in Figure 15a, the model features a smooth surface with a sharp transition at the groove, where the groove face forms a 117.5° angle with the adjacent plane.
Data acquisition utilized the KSCAN-Magic handheld 3D scanner, featuring 11 parallel laser lines with a maximum scanning rate of 1,350,000 points per second and a local scanning accuracy of up to 0.02 mm. The local groove test specimen selected for the experiment measured 10.8 mm × 9.2 mm × 2.9 mm. After uniform down-sampling, the point cloud comprised 13,949 points. To create ground truth labels, manual selection was employed to segment one side of the bevel and its adjacent plane using the tangent line as the boundary, assigning corresponding category labels.
When both the model and acquisition equipment possess high-precision, traditional methods can generally yield satisfactory segmentation results. However, threshold determination remains challenging, requiring iterative parameter tuning to achieve precise segmentation. The proposed method enables rapid and accurate fine segmentation under relatively strict threshold conditions. Figure 16a shows the original point cloud with manual annotations of a partial groove section. Figure 16b displays the initial two plane point clouds generated using the region growing algorithm. Due to threshold limitations, the region growing algorithm exhibits missed detections at the groove’s angular transitions, resulting in some adjacent plane points being excluded from the segmentation. In the same way, the preprocessing step combines plane fitting with an offset box selection strategy. First, the plane on one side was fitted. Then, setting an offset distance of 1.5 mm, the points on one side of the plane and a portion of the adjacent plane were extracted as a single, initially under-segmented point cloud, as shown in Figure 16c. Subsequently, the GUMM-HMRF algorithm was applied to this point cloud for fine segmentation, with the result displayed in Figure 16d. Experimental results demonstrate that the GUMM-HMRF algorithm accurately segments both the bevel plane and the adjacent planes. The bevel boundary appears sharp, with segmentation edges showing minimal deviation from the actual interface locations, achieving precise separation of the bevel and adjacent planes.
Four algorithms were employed for fine segmentation, and their iteration counts and accuracy metrics were statistically analyzed. In the V-groove segmentation task, the GUMM-HMRF algorithm again demonstrated outstanding performance. Compared with those for the wall corner and T-joint models, the computational results in Figure 17 reveal that the accuracy trend for the groove closely mirrors that of the weld model. The GUMM-HMRF algorithm required fewer iterations and achieved higher P, Acc, and F1 score than both the baseline and the locally improved methods; its R value was slightly lower than the best. However, the optimization gains for the V-groove model were modest, with P improving by only about 1% over the baseline method, while Acc and F1 score increased by approximately 2%. This is primarily because the V-groove data were acquired with a high-precision handheld scanner, yielding lower point cloud noise and smoother planar surfaces. Consequently, the accuracy enhancement afforded by the optimization was less pronounced than for noisier models. Nevertheless, the GUMM-HMRF algorithm surpassed both the baseline and the locally improved methods on every metric, confirming its effectiveness.
In terms of sample statistical analysis, the GUMM-HMRF distribution characteristics further validate the rationality of the GUMM. The sample statistics and fitting curves from GUMM-HMRF calculations and the annotated results show near-perfect overlap, both exhibiting standard Gaussian distribution and uniform distribution trends, as illustrated in Figure 18. The groove point cloud, representing the outlier portion, is distributed in a particularly uniform and regular manner. Across all distance ranges, the point density remains largely consistent, and the deviation between the fitted curve and the distribution is minimal. This is primarily attributed to the high flatness of the bevel plane and its sharp-angled transition to the adjacent planes, preventing the occurrence of the weld-like micro-surface transitions at the junctions. Furthermore, as shown in Figure 18b–d, the convergence curves of various parameters during the GUMM-HMRF segmentation process also demonstrate excellent stability and convergence, validating the reliability of the algorithm.

4.1.4. Flange Plane and Cylinder Segmentation

Flange structures are a typical connecting element in hull constructions. Its geometry consists of a planar end face and a cylindrical side surface whose normal vectors are mutually perpendicular. The transition at their junction replicates the structural configuration where a cylinder meets a plane, as found in pipe-to-flange, pipe-to-bulkhead, and pressure shell ring-to-rib welded joints. Although the global structure involves the intersection of a cylinder and a plane, locally the interface retains the characteristic that the two surfaces remain perpendicular or form a specified angle. When the probability distribution is examined relative to the sample dataset, taking the flange end face as the reference shows that the distances from the surrounding cylinder points to the end-face plane clearly follow a uniform distribution. Conversely, with the cylinder taken as the reference, the distances from the end-face points to the fitted cylinder likewise exhibit a uniform distribution. Therefore, the proposed probability model is applicable to this typical cylinder-plane structure irrespective of the reference surface.
To validate the segmentation performance of the proposed method when handling the junction between a plane and a cylinder, we selected a small flange model that exhibits the typical characteristics of interfaces in hull structures, as shown in Figure 19a. Data acquisition was carried out using the Go!SCAN 50 handheld laser scanner; the raw point cloud is depicted in Figure 19b. Because the acquired cloud is extremely dense and was automatically densified in low-curvature regions, uniform down-sampling was applied. The flange end face selected for the experiment is a regular circular plane, while the side surface is a cylinder, featuring an acute-angle transition at their boundary. The local study object measures 150.2 mm × 150.5 mm × 18.6 mm and contains 50,465 points. Boundary lines were manually traced on the acquired cloud, and a flood-filling algorithm was then used to separate the cylindrical side, end face, and individual studs. Labels were assigned to the end-face and cylindrical-side point clouds, as shown in Figure 19c,d, serving as segmentation ground truth.
When the flange point cloud is processed, the region growing algorithm is first applied for preliminary segmentation. Because both the cylindrical surface and the end face exhibit continuous curvature, the growth process can expand within each region; however, at their junction the curvature changes abruptly, causing growth to halt. Thus, the region growing algorithm can initially segment the end face and the cylindrical surface. Under stricter thresholds, point clouds near the junction are largely excluded, as shown in Figure 7d. To address this issue, two datasets of offset point clouds and distance samples were constructed. One was based on the end face plane, and the other on the cylindrical surface of the cylinder, each with a 6 mm offset distance. One dataset refines the plane segmentation and the other the cylinder segmentation. The GUMM-HMRF algorithm is then applied to perform fine segmentation on these two under-segmented clouds. Four algorithms are subsequently employed to refine the results, and the iteration counts and the segmentation accuracy metrics are recorded for each. The GUMM-HMRF results are shown in Figure 7d,e; the refined segmentation clearly delineates both plane and cylinder boundaries, effectively identifies outliers in the junction region, and achieves accurate separation of the two surfaces from both directions.
In flange segmentation tasks, whether using the plane or the cylinder as the reference, GUMM-HMRF outperforms the baseline and the locally improved methods on every metric. Figure 20 and Figure 21 show that the segmentation trends are nearly identical, with negligible accuracy gains. Specifically, when segmenting the end face with the plane as reference, P, R, Acc, and F1 score improve by 3.76%, 0.67%, 1.89%, and 2.27%, respectively, over the baseline method. When segmenting the cylindrical surface with the cylinder as reference, the four metrics improve by 3.68%, 0.30%, 2.50%, and 2.01%, respectively. This indicates that, for the same model, segmentation from either the plane or the cylinder follows the same principle, in that points near the reference geometric primitive follow a Gaussian distribution, while outliers follow a uniform distribution. This confirms in reverse that previous discrepancies between examples arose from the inherent characteristics of the point cloud itself, and that the GUMM-HMRF algorithm offers broad applicability across diverse models.
Similarly, the sample statistics results once again validate the effectiveness of the GUMM. As observed in the GUMM-HMRF sample statistics plots for both models, the sample statistics and fitting curves for the computed and annotated results align almost perfectly. Both exhibit standard Gaussian and uniform distribution trends, as shown in Figure 22 and Figure 23.
It is noteworthy that in the end-face segmentation case based on the plane, the distance values of the plane itself deviate significantly from the fitted Gaussian curve. This is primarily because the end-face surface exhibits, in addition to Gaussian noise, numerous local irregularities caused by uneven paint application. In contrast, the cylindrical surface segment is much smoother, with its distance distribution closely matching the Gaussian fitting curve. Regarding outliers, both the distance distribution from the cylinder to the plane and from the plane to the cylinder exhibit good uniformity, showing only minimal deviation from the fitted curve. Furthermore, their iteration curves are nearly identical, further demonstrating the algorithm’s stability and reliability. The iterative convergence curves for both cases are virtually identical, as shown in Figure 22 and Figure 23b–d.

4.2. Comprehensive Analysis

A comprehensive analysis of accuracy metrics across all model experiments revealed that the GUMM-HMRF method consistently outperformed the baseline GMM-EM method and several improved variants in terms of P, Acc, and F1 score across all experimental cases. Its performance advantage was particularly pronounced when handling noisy scenes. For instance, in the segmentation tasks of wall corner and flange models, GUMM-HMRF achieved a P more than 3% higher than the baseline GMM-EM method, while its Acc and F1 score were approximately 2% higher. For high-precision models, although the advantage was relatively smaller, it still maintained an improvement of around 1%. This is attributed to the high intrinsic precision of such models, which reduces the margin for further improvement.
It is worth noting that R slightly declines across some models. However, this metric is not the primary focus of this study. Moreover, the decrease in R is smaller than the increase in P, as evidenced by the comprehensive evaluation metrics Acc and F1 score. These results demonstrate the broad applicability of the GUMM-HMRF algorithm across diverse structural configurations, varying noise levels, and different point cloud densities. They also confirm the algorithm’s capability to perform fine segmentation of point cloud from complex hull structures captured through various acquisition methods.
In terms of iteration count, the GUMM-HMRF algorithm is generally less efficient, which is attributed to the introduction of more complex computations and an optimized probabilistic model within the algorithm. However, as the algorithm progressively improves, the overall iteration count exhibits a decreasing trend. For instance, in the wall corner segmentation task, iterations decreased from 46 for the baseline GMM-EM method to 15 for GUMM-HMRF. This indicates that a more suitable probabilistic model and optimized segmentation method can yield better convergence gradients for the probabilistic model, thereby enhancing algorithm stability and robustness. It is important to emphasize that this study primarily targets offline measurement applications, which impose no strict time limits. Therefore, the number of iterations alone does not fully determine an algorithm’s superiority. This metric is primarily used to validate the robustness and stability of the algorithm, and GUMM-HMRF demonstrates outstanding performance in this regard, proving its reliability in complex industrial environments.
Furthermore, the visualization of segmentation results across different test cases clearly demonstrates that the region growing algorithm with strict thresholds often produces segmentations with coarse boundaries and numerous missed points. This is particularly evident in junction regions and transition zones, where over-segmentation is prevalent. In contrast, the segmentation results from GUMM-HMRF exhibit clear and smooth boundaries, with complete point clouds inside components and virtually no misclassification.
Through comprehensive quantitative and qualitative analysis, the proposed GUMM-HMRF fine segmentation algorithm demonstrates clear advantages in accuracy, robustness, and adaptability compared to the traditional GMM-EM framework. These strengths enable the algorithm to effectively handle the fine segmentation of large-scale, highly complex data such as hull structure point clouds, providing robust technical support for subsequent reverse modeling.
Although experiments have demonstrated strong segmentation performance, several limitations persist. First, validation focused primarily on typical hull structure junction regions such as wall corners, T-joint welds, V-grooves, and flanges. Although these structures represent common planar and cylindrical geometries, they do not encompass the free-form surfaces, irregular configurations, and higher-order parametric surfaces common in shipbuilding. These exhibit distinct point cloud distribution characteristics, significantly increasing segmentation difficulty. Consequently, the GUMM-HMRF framework’s generalization to these complex geometries remains unvalidated. Second, the region growing algorithm for initial coarse segmentation relies on manually set thresholds and lacks adaptive mechanisms. This may compromise segmentation stability and reliability for point clouds with varying densities and noise characteristics, thereby limiting overall robustness.

5. Model Experiments

To validate the feasibility and engineering applicability of the proposed method for complex hull structures, two representative structures, a real ring-stiffened shell and a transverse bulkhead, were selected. In the absence of predefined labels and given the difficulty of manual annotation for such structures, traditional accuracy metrics prove unsuitable. Moreover, since junction regions requiring detailed segmentation constitute only a small fraction of the total point cloud, accuracy differences among algorithms are significantly diluted, obscuring their relative performance. Consequently, dimensional deviation from manual measurement specifications was adopted as the evaluation criterion, enabling objective, quantitative assessment of segmentation results.

5.1. Ring-Stiffened Cylindrical Shell Segmentation

Point cloud segmentation was performed on high-precision laser scans of a ring-stiffened shell model measuring 1800 mm × 1800 mm × 1000 mm, generating an original point cloud of 2.89 × 106 points. The ring stiffeners vertically intersect the shell rings, forming a complex structural configuration. Shell ring surfaces are cylindrical, whereas stiffener webs consist of annular surfaces. Geometrically, cylinders and planes constitute the primary primitives. The junction regions between shell rings and stiffeners feature welded connections. Fine segmentation of point clouds at these cylindrical-planar interfaces is significantly more challenging than for simple local models.
The experiment selected three cylindrical segments of the outer shell, specifically the upper, middle, and lower sections, as target regions. The original point cloud was uniformly down-sampled to 1.005 × 106 points, as shown in Figure 24a. A three-step segmentation process was then implemented. First, coarse segmentation was performed via region growing algorithm. Second, under-segmented point clouds were acquired through offset box selection. Third, fine segmentation was performed using the GUMM-HMRF algorithm. The final overall segmentation result is shown in Figure 24b, while Figure 24c specifically highlights fine segmentation results obtained by the GUMM-HMRF algorithm on the outer cylindrical segment.
Initial segmentation was performed using the region growing algorithm, as shown in Figure 25a. Due to abrupt curvature changes at shell ring-stiffener junctions, the region growing process terminated prematurely under strict threshold conditions, resulting in over-segmentation of the cylindrical surfaces into upper, middle, and lower sections. Subsequently, cylindrical fitting was applied to each segmented point cloud. Based on the fitted models, an offset distance of 8 mm was used to extract a point cloud containing the complete cylindrical segment and adjacent portions of the stiffeners, as shown in Figure 25b. The GUMM-HMRF algorithm then performed fine segmentation. Using Euclidean signed distances between the offset point cloud and the fitted cylinder as the sample dataset, a mixture model was established and solved iteratively. Local segmentation results are shown in Figure 25c,d. Experimental results demonstrate that the proposed algorithm effectively identifies precise boundaries of complex ring-stiffened shell components. The spatial constraint mechanism of HMRF enhances neighborhood consistency, achieving accurate segmentation of cylindrical segments and stiffeners.
The Gaussian-Uniform mixture component probability density function for each under-segmented cylindrical segment point cloud is expressed as follows:
p k , i ( x ) = ω k N ( x | μ k , σ k 2 ) + ( 1 ω k ) U ( x | a k , b k )
where k denotes the cylindrical segment model index, i denotes the iteration number at convergence. ω k represents the weight of the Gaussian component, while N and U denote the Gaussian component and uniform distribution component, respectively. After iterative computation, the under-segmented point clouds of the upper, middle, and lower segments converge, with final probability density functions expressed, respectively, as:
p 1 , 15 ( x ) = 0.928 N ( x | 0.015 , 0.663 2 ) + 0.072 U ( x | 6.068 , 7.992 ) p 2 , 16 ( x ) = 0.950 N ( x | 0.058 , 0.631 2 ) + 0.050 U ( x | 5.306 , 7.996 ) p 3 , 17 ( x ) = 0.938 N ( x | 0.077 , 0.781 2 ) + 0.062 U ( x | 5.497 , 7.988 )
Statistical analysis was performed on distance samples from GUMM-HMRF fine segmentation results. Figure 26 presents the sample distribution histograms and fitted curves for the three cylindrical segments. Distance samples from the main body of each segment to the corresponding fitted cylinder exhibit Gaussian distribution characteristics, with the fitted curve closely matching the observed distribution. In contrast, outlier points from adjacent stiffener components follow a uniform distribution pattern. These findings validate the suitability of the GUMM.
To quantitatively evaluate the segmentation performance of the proposed method, geometric dimensions of cylindrical segments obtained at each segmentation stage were calculated and compared with manual measurement values. These dimensions and corresponding deviations are shown in Table 1. During initial region growing segmentation, premature termination due to strict thresholds resulted in over-segmentation of all cylindrical segment point clouds. This yielded significant height deviations exceeding 20 mm in all cases, as shell ring heights were generally underestimated. However, strict threshold constraints ensured that point clouds obtained at this stage consisted primarily of cylindrical segment data with minimal contamination from adjacent structures, thereby preserving high geometric precision. Consequently, geometric models fitted to these over-segmented point clouds also achieved high precision, as evidenced by minimal radial deviations. Following offset selection and fine segmentation, accuracy of height calculations improved markedly. Ultimately, height calculation deviations for the GUMM-HMRF algorithm remained within 1 mm, a tolerance that accounts for manufacturing variations. Although radius results differed from region growing outputs, final deviations remained stable at approximately 1 mm. These results demonstrate excellent engineering applicability of the proposed method for complex ring-stiffened shell structures.

5.2. Bulkhead Structures Planar Segmentation

A submarine transverse bulkhead panel frame model was employed for segmentation experiments. This model measures 1000 mm × 1000 mm × 120 mm, as shown in Figure 27a. The structure features components arranged on a single continuous planar bulkhead surface, where transverse and longitudinal elements intersect perpendicularly to form a complex configuration. Although component surfaces are primarily planar, multiple stacked layers increase segmentation complexity. Data acquisition was performed using the Go!SCAN 50 handheld laser scanner, yielding a point cloud of 4.44 × 106 points. The scanning equipment and complete model point cloud are shown in Figure 27b,c.
Bulkhead panels were selected as target regions for the experiment, employing the three-step segmentation process proposed in this study. During segmentation, strict thresholds used by the initial region growing algorithm limited recognition of planar boundaries, resulting in significant boundary under-segmentation. As shown in Figure 28a, boundaries of each planar point cloud exhibited noticeable gaps compared to the raw data. Although this strategy sacrifices some recall, the high precision ensures geometric accuracy of fitted planes, establishing a reliable foundation for subsequent processing. Subsequently, the over-segmented point cloud and corresponding fitted planes were offset by 10 mm along both normal directions. The point cloud within the selected range was then extracted, followed by final GUMM-HMRF fine segmentation.
Figure 28 illustrates the morphology and local details of the bulkhead point cloud throughout the segmentation process. In Figure 28a, strict region growing thresholds exclude boundary points at component junctions from the bulkhead point cloud, resulting in under-segmentation. In Figure 28b, offset selection processing transforms this under-segmentation into over-segmentation, with adjacent component point clouds at the junctions included within the bulkhead point cloud. In Figure 28c, GUMM-HMRF segmentation accurately extracts the bulkhead point cloud.
Upon convergence, the final probability density function for the Gaussian-uniform mixture components in the fine segmentation point cloud is expressed as:
p 32 ( x ) = 0.697 N ( x | 0.194 , 0.8 2 ) + 0.303 U ( x | 10 , 6.558 )
Statistical analysis was performed on distance samples from GUMM-HMRF fine segmentation results, as shown in Figure 29. Distance samples from the planar bulkhead point cloud to the fitted plane exhibit Gaussian distribution characteristics, closely matching the fitted curve. Outlier distance samples belonging to adjacent components and welds similarly conform to uniform distribution characteristics, thereby validating the GUMM hypothesis. This confirms the effectiveness of the three-step segmentation process in addressing blurred boundaries in point clouds of complex plate-frame structural components.
To quantitatively evaluate the segmentation performance of the proposed method for bulkhead structures, two planar regions from the partial view in Figure 28 were selected as measurement subjects. The boundary dimensions across three processing stages were calculated and analyzed against manual measurement values, with results presented in Table 2. During the region growing segmentation stage, the boundary point cloud of the segmented region was suppressed, resulting in calculated planar lengths and widths that were smaller than manual measurement values, with deviations exceeding 4 mm across all parameters. Following offset box selection processing, the boundary integrity of the segmented region was restored. During this stage, the absolute values of dimensional deviations decreased to within 2 mm, and the deviation direction shifted in the positive direction. This confirms that the offset box selection strategy incorporated point clouds from some adjacent components. After iterative convergence via the GUMM-HMRF algorithm, the geometric accuracy of the refined segmentation results further improved, with the final planar dimensional deviations stabilized below 1.5 mm. This demonstrates that the proposed method can accurately segment the true geometric boundaries of planar components within complex plate-frame structures, indicating potential for precise measurement and dimensional inspection in engineering practice.

6. Discussion

6.1. Engineering Suitability Assessment

The effectiveness of the proposed GUMM-HMRF method was validated through fine segmentation experiments on actual hull structures. Experimental results demonstrate that dimensional deviations of hull components decrease progressively throughout the three-stage computational process. Specifically, the initial region growing segmentation produced deviations of 5–20 mm due to over-segmentation. The height deviations of ring-stiffened cylindrical shell members ranged from −34.44 mm to −25.72 mm, whereas the length and width deviations of transverse bulkhead planes ranged from −5.34 mm to −4.87 mm. Regulatory standards typically specify permissible plate dimension deviations of ±0.5 mm to ±2 mm. In comparison, segmentation errors from the region growing algorithm substantially exceed these tolerances. Its lower bound of 5 mm already surpasses the upper limit of 2 mm specified by the standards, while its upper bound of 20 mm far exceeds the permissible range. Consequently, sole reliance on the region growing algorithm is insufficient for meeting engineering requirements for high-precision dimensional measurement of hull structures.
Additionally, the laser scanning equipment employed in this study achieves an accuracy of 0.01–0.2 mm, exceeding the permissible dimensional deviation tolerances for hull construction by at least one order of magnitude. This ensures high-quality data for subsequent precision segmentation. Experimental results demonstrate that the GUMM-HMRF method controls measurement deviations within 0.2 mm, thereby validating that the proposed algorithm meets the high-precision inspection requirements for shipbuilding. Consequently, this technical solution can effectively replace traditional manual measurement methods, demonstrating robust engineering applicability and practical value. For objective performance evaluation, this study referenced high-precision measurement research using 3D laser scanning from aerospace, precision machining, and civil engineering fields, and conducted comparative analyses of methodologies and accuracy metrics. Specific comparisons are presented in Table 3.
Comparative analysis reveals that existing high-precision measurement research predominantly focuses on refining traditional hard segmentation algorithms without incorporating probabilistic modeling. Significant variations in measurement scales exist across different domains, ranging from 0.2 mm gaps in aircraft skins to 2500 mm spans in large steel structures, whereas hull structure junction regions typically range from tens to hundreds of millimeters. Regarding relative accuracy, advanced methods across disciplines generally achieve error control within 1%. The proposed method achieved 0.2% relative accuracy in practical hull structure measurements, consistent with standards in high-precision manufacturing fields such as aerospace, thereby demonstrating its superior precision performance. Furthermore, the proposed method completes segmentation through only three core steps, providing improved computational efficiency.
Notably, this method employs a precision-first strategy, prioritizing comprehensive probabilistic modeling and robust spatial constraints. Specifically, constructing complex neighborhood structures and label propagation mechanisms during the HMRF iteration phase incurs substantial computational overhead. Consequently, the current approach cannot satisfy the processing speed requirements for real-time online detection and is better suited to offline applications with less stringent timing requirements. This computational limitation represents a key consideration for engineering deployment.

6.2. Methodological Limitations Analysis

Although the GUMM-HMRF method demonstrates excellent performance in fine segmentation of typical junction regions within hull structures, several limitations remain that constitute avenues for future research.
Firstly, regarding computational efficiency, the HMRF spatial continuity constraint mechanism, while significantly enhancing segmentation accuracy, incurs substantial computational overhead. The current iterative optimization process requires computing neighborhood relationships and pseudo-likelihoods across the entire point cloud, leading to prolonged processing times. Consequently, the method is currently more suitable for offline quality analysis than online detection. Future efforts to accelerate the algorithm should focus on optimizing the computational architecture without compromising spatial constraint effectiveness, such as through graph pruning strategies or parallel neighborhood search mechanisms.
Secondly, regarding geometric representation capability, this study focuses primarily on fundamental geometric primitives such as planes and cylinders and their junction regions. The GUMM offers clear physical interpretability in 1D distance space. However, hull structures commonly contain free-form, irregular, and high-order parametric surfaces, causing point-to-model distance distributions to deviate from simple Gaussian or uniform distributions. This limitation severely restricts the applicability of the uniform distribution assumption, which was derived from observations of typical hull junction regions that are often composed of planes or near-planar surfaces. In typical regions such as vertically intersecting bulkheads and decks or T-joints to hull plates, distances from adjacent component points to the target plane exhibit approximately uniform distributions within limited offset ranges. This occurs because the adjacent components can be approximated as planes and their fixed angular relationship with the target plane creates a tiling effect along the distance axis. However, this assumption encounters significant challenges in more complex geometries, including small-angle connections, parallel surfaces, and curved surface contacts, where outlier distance distributions may assume trapezoidal, triangular, or multimodal forms. For example, distances between nearly parallel surfaces may cluster around specific values rather than distribute uniformly. In these cases, a single uniform distribution component cannot accurately capture outlier characteristics, potentially degrading segmentation accuracy. This reveals the theoretical limitations of the GUMM under intricate geometries, representing a fundamental barrier to its broader application.
Moreover, region growing algorithms used for coarse segmentation in current methods still rely primarily on manually set thresholds for smoothness and curvature, which lack adaptive mechanisms. When processing point clouds with varying densities and noise levels, these empirical parameter settings may destabilize coarse segmentation results, thereby degrading the quality of initial parameter estimation in subsequent probabilistic models. Although the GUMM-HMRF framework can partially correct initial errors through EM iteration, developing segmentation strategies with adaptive capabilities remains crucial for enhancing overall workflow robustness.
It should be noted that although the proposed method is theoretically interpretable, its distance sample model and distribution assumptions remain relatively rudimentary. These assumptions have yet to fully exploit the diversity of point cloud spatial features, remaining confined to simple combinations of unimodal Gaussian and uniform distributions. Consequently, the model’s expressive power for complex data structures is constrained.

6.3. Research Outlook

To address the aforementioned limitations, future research will concentrate on real-time computational performance, adaptive parameter selection, applicability to complex surfaces, and algorithmic complexity. For complex geometric constraints, flexible mixture models can be employed to refine outlier distribution assumptions. Specifically, the uniform distribution component can be expanded into a Gaussian mixture model, which theoretically permits fitting arbitrarily complex continuous distributions and accurately captures trapezoidal, triangular, or multimodal shapes. Alternatively, non-parametric density estimation methods such as Kernel Density Estimation (KDE) offer a more advanced strategy. These methods do not assume a pre-specified distribution form but instead estimate probability densities directly from data via kernel functions, enabling adaptive fitting to diverse complex shapes. However, such flexibility inevitably increases computational complexity and parameter estimation difficulty. Future research must therefore balance model flexibility with computational efficiency, potentially through lightweight non-parametric models or approximate inference algorithms to mitigate computational overhead.
Another approach to enhancing model discriminative capability involves introducing higher-dimensional features to construct multimodal probabilistic models. Currently, this research relies primarily on 1D Euclidean distance as the sample feature. While this dimensionality reduction strategy simplifies computations in typical scenarios, it may prove insufficient when handling complex geometries. Therefore, incorporating local geometric features such as point normals and curvature into probabilistic models enables construction of mixed models that fuse multidimensional information, thereby significantly enhancing algorithm robustness and accuracy for complex geometries. For instance, the angle between a point’s normal vector and the target plane’s normal vector could serve as a novel feature. Alternatively, differential geometric descriptors such as Gaussian curvature and mean curvature could be incorporated. Through multimodal feature fusion, the local geometric properties of points could be characterized more comprehensively, thereby improving differentiation of outliers from different structural components.
Additionally, this study recognizes the significant potential of deep learning techniques for point cloud processing and actively explores novel approaches for integrating traditional probabilistic models with deep learning. The GUMM-HMRF method demonstrates clear advantages over deep learning models. First, it does not depend on large-scale annotated datasets and offers excellent interpretability. For hull structure point cloud segmentation, acquiring extensive, high-quality annotated data is prohibitively expensive. In contrast, the proposed method employs unsupervised modeling of the inherent statistical characteristics of the data. It requires only region growing to yield an accurate initial segmentation, which enables automatic parameter estimation and substantially lowers the application threshold. Moreover, every parameter and computational step in the model possesses explicit physical or geometric significance. For instance, Gaussian distribution parameters represent target point location and dispersion, uniform distribution intervals denote outlier ranges, and the HMRF potential function encodes spatial continuity constraints. This transparency facilitates algorithmic diagnostics and strengthens engineering confidence.
Nevertheless, deep learning capabilities for feature learning and complex pattern recognition warrant consideration. Future integration strategies could explore three key directions. First, leveraging deep learning’s powerful feature extraction to learn high-level abstract features from point clouds and incorporating them into the GUMM-HMRF probabilistic model could yield a more robust segmentation framework. Second, utilizing deep learning to predict initial parameters for the probabilistic model would enable adaptive adjustment of the HMRF smoothing parameter β, thereby enhancing algorithmic automation and robustness. Third, integrating attention mechanisms into the EM segmentation process for adaptive weight allocation complements the HMRF approach explored in this study and represents a promising direction for future research. This synergy between probabilistic models and deep learning will represent a significant advancement in point cloud segmentation.
In summary, despite limitations in handling free-form and irregular surfaces and achieving real-time computation, the refined segmentation algorithm for typical hull structure junction regions has demonstrated significant advantages over traditional methods while maintaining computational simplicity. It has achieved high measurement accuracy in practical dimensional measurements of complex hull structural components, demonstrating its effectiveness and practical value. This research not only provides a validated point cloud processing approach for precision inspection of hull structures but also offers a technical reference framework for high-precision segmentation tasks in complex structures across fields such as architecture, aerospace, and automotive manufacturing. Future systematic exploration of these research directions is expected to expand the application boundaries of this method, enabling transitions from specialized to general cases, offline to online processing, and basic geometries to free-form surfaces.

7. Conclusions

This study addresses insufficient point cloud segmentation accuracy in hull structure junction regions, a key constraint on 3D laser scanning applications. A refined segmentation method based on GUMM-HMRF collaborative optimization is proposed. Through theoretical modeling, algorithm development, and experimental validation, engineering-valuable outcomes are achieved:
(1)
Significant dimensional accuracy improvements outperforming traditional methods. The GUMM-HMRF method maintains geometric dimension deviations within 0.2 mm during fine segmentation of actual hull structures, representing a marked improvement over conventional region growing methods. This precision meets shipbuilding accuracy requirements, achieving approximately 0.2% relative measurement accuracy. Compared to the baseline GMM-EM method, the proposed method achieves average improvements of approximately 2.5% in precision and 1.5% in accuracy and F1 score, confirming its superiority.
(2)
A collaborative framework integrating probabilistic modeling, spatial constraints, and iterative optimization extends traditional segmentation methods. GUMM is introduced for hull structure point clouds, incorporating a uniform distribution component to model outliers and mitigate sensitivity to non-Gaussian noise. HMRF serves as a spatial smoothing prior, embedding physical continuity into the EM algorithm to overcome misclassification arising from standard EM’s assumption of independent and identically distributed observations. This enables joint exploitation of data fitting and spatial information, representing the primary methodological innovation.
(3)
A three-stage computational workflow, “coarse segmentation–model construction–fine segmentation”, forms a comprehensive engineering solution. Dimensional reduction transforms three-dimensional spatial segmentation into one-dimensional distance probability analysis while preserving core information and reducing complexity. The offset box selection strategy addresses region growth over-segmentation by converting it to controlled under-segmentation, offering a stable basis for EM initial parameter estimation. The β-adaptive HMRF-EM iteration provides adaptive processing for data with varying noise and density distributions. Experimental validation on ship hull components confirms the method’s engineering feasibility.
(4)
The GUMM-HMRF approach provides an interpretable, data-independent solution for high-precision point cloud processing of complex industrial structures. Unlike deep learning methods, it requires no large-scale annotated data, with model parameters possessing clear physical and geometric significance that facilitates algorithm diagnosis and engineering applications. The framework is scalable; substituting local fitting equations for other geometric primitives, such as spheres and cones, maintains algorithmic consistency, offering an alternative approach for point cloud segmentation in industrial scenarios with sparse samples and stringent reliability requirements.
In summary, this study addresses precise point cloud segmentation in hull structure junction regions. Methodologically, it advances from hard to probabilistic soft segmentation, from data-driven approaches to physical-information fusion, and from generic to domain-specific algorithms. The results support high-precision dimensional inspection and assembly quality assessment in shipbuilding, with extension potential to aerospace, automotive manufacturing, and architectural surveying fields sharing similar geometric and precision requirements.

Author Contributions

Conceptualization, F.P.; writing—original draft preparation, Y.H.; visualization, Y.H.; validation, Y.H.; software, Y.H.; data curation, Y.H.; writing—review & editing, F.P.; supervision, F.P.; project administration, F.P.; methodology, Z.W.; investigation, Z.W.; funding acquisition, Z.W.; resources, Q.M.; formal analysis, Q.M. All authors have read and agreed to the published version of the manuscript.

Funding

This study is supported by the National Natural Science Foundation of China, grant number 51609253.

Institutional Review Board Statement

Not applicable.

Informed Consent Statement

Not applicable.

Data Availability Statement

The data used to support the findings of this study are available from the corresponding author upon request.

Conflicts of Interest

The authors declare no conflicts of interest.

Abbreviations

The following abbreviations are used in this manuscript:
GMMGaussian Mixture Model
GUMMGaussian-Uniform Mixture Model
EMExpectation–Maximization
HMRFHidden Markov Random Field
MAPMaximum A Posteriori (Estimation)
MLEMaximum Likelihood Estimation
MRFMarkov Random Field
k-NNk-Nearest Neighbors
KDEKernel Density Estimation
PLPseudo-Likelihood
PPrecision
RRecall
AccAccuracy
F1F1 Score
TPTrue Positive
TNTrue Negative
FPFalse Positive
FNFalse Negative

References

  1. Brusak, I.; Bakuła, K.; Savchuk, N. Comparison of modern 3D measurement methods for special tasks of shipbuilding industry. Geod. Cartogr. Aer. Photogr. 2023, 98, 15–23. [Google Scholar] [CrossRef]
  2. GJB 3182A-2018; Accuracy Requirements for Hull Construction of Naval Surface Ships. National Military Standard Publishing and Distribution Department: Beijing, China, 2018.
  3. GJB 3542A-2021; Accuracy Requirements of Hull Construction for Submarine. National Military Standard Publishing and Distribution Department: Beijing, China, 2021.
  4. Ding, J.; Ni, C. Gird Based Line Segment Detector and Application: Vision System for Autonomous Ship Small Assembly Line. J. Mar. Sci. Eng. 2021, 9, 1313. [Google Scholar] [CrossRef]
  5. Bertagna, S.; Braidotti, L.; Bucci, V.; Marinò, A. Laser Scanning Application for the Enhancement of Quality Assessment in Shipbuilding Industry. Procedia Comput. Sci. 2024, 232, 1289–1298. [Google Scholar] [CrossRef]
  6. Maisano, D.A.; Mastrogiacomo, L.; Franceschini, F.; Capizzi, S.; Pischedda, G.; Laurenza, D.; Gomiero, G.; Manca, G. Dimensional measurements in the shipbuilding industry: On-site comparison of a state-of-the-art laser tracker, total station and laser scanner. Prod. Eng. 2023, 17, 625–642. [Google Scholar] [CrossRef]
  7. Shang, H.; Liu, C.; Wang, R. Measurement Methods of 3D Shape of Large-Scale Complex Surfaces Based on Computer Vision: A Review. Measurement 2022, 197, 111302. [Google Scholar] [CrossRef]
  8. Yan, Y.; Hajjar, J.F. Automated extraction of structural elements in steel girder bridges from laser point clouds. Autom. Constr. 2021, 125, 103582. [Google Scholar] [CrossRef]
  9. Jang, A.; Ju, Y.K.; Park, M.J. Structural Stability Evaluation of Existing Buildings by Reverse Engineering with 3D Laser Scanner. Remote Sens. 2022, 14, 2325. [Google Scholar] [CrossRef]
  10. Bonin, R.; Khameneifar, F.; Mayer, J.R.R. Evaluation of the Metrological Performance of a Handheld 3D Laser Scanner Using a Pseudo-3D Ball-Lattice Artifact. Sensors 2021, 21, 2137. [Google Scholar] [CrossRef]
  11. Han, Y.; Peng, F.; Wang, Z.; Meng, Q. An automatic measurement method for hull weld seam dimensions based on 3D laser scanning. Ocean Eng. 2024, 312, 118922. [Google Scholar] [CrossRef]
  12. Daif, H.; Marzouk, M. Point cloud classification and part segmentation of steel structure elements. Neural Comput. Appl. 2025, 37, 4387–4407. [Google Scholar] [CrossRef]
  13. Liu, J.; Wang, D. Multi-part deviation assessment in ship assembly structures through instance segmentation. Ocean Eng. 2024, 296, 116941. [Google Scholar] [CrossRef]
  14. Xia, S.; Chen, D.; Wang, R.; Li, J.; Zhang, X. Geometric Primitives in LiDAR Point Clouds: A Review. IEEE J. Sel. Top. Appl. Earth Obs. Remote Sens. 2020, 13, 685–707. [Google Scholar] [CrossRef]
  15. Ruan, X.; Liu, B. Review of 3D Point Cloud Data Segmentation Methods. Int. J. Adv. Netw. Monit. Control. 2020, 5, 66–71. [Google Scholar] [CrossRef]
  16. Poux, F.; Mattes, C.; Selman, Z.; Kobbelt, L. Automatic region-growing system for the segmentation of large point clouds. Autom. Constr. 2022, 138, 104250. [Google Scholar] [CrossRef]
  17. Wang, W.; Zhang, Y.; Ge, G.; Jiang, Q.; Wang, Y.; Hu, L. Indoor Point Cloud Segmentation Using a Modified Region Growing Algorithm and Accurate Normal Estimation. IEEE Access 2023, 11, 42510–42520. [Google Scholar] [CrossRef]
  18. Zhang, W.; Zhou, F.; Wang, L.; Sun, P. Region Growing Based on 2-D-3-D Mutual Projections for Visible Point Cloud Segmentation. IEEE Trans. Instrum. Meas. 2021, 70, 5010613. [Google Scholar] [CrossRef]
  19. Perez-Perez, Y.; Golparvar-Fard, M.; El-Rayes, K. Segmentation of point clouds via joint semantic and geometric features for 3D modeling of the built environment. Autom. Constr. 2021, 125, 103584. [Google Scholar] [CrossRef]
  20. Lee, S.; Lim, H.; Myung, H. Patchwork++: Fast and Robust Ground Segmentation Solving Partial Under-Segmentation Using 3D Point Cloud. In Proceedings of the 2022 IEEE/RSJ International Conference on Intelligent Robots and Systems (IROS), Kyoto, Japan, 23–27 October 2022; pp. 13276–13283. [Google Scholar]
  21. Chen, H.; Xie, T.; Liang, M.; Liu, W.; Liu, P.X. A local tangent plane distance-based approach to 3D point cloud segmentation via clustering. Pattern Recognit. 2023, 137, 109307. [Google Scholar] [CrossRef]
  22. Dai, M.; Li, G. Soft Segmentation of Terrestrial Laser Scanning Point Cloud of Forests. Appl. Sci. 2023, 13, 6228. [Google Scholar] [CrossRef]
  23. Chen, Y.; Cheng, N.; Cai, M.; Cao, C.; Yang, J.; Zhang, Z. A spatially constrained asymmetric Gaussian mixture model for image segmentation. Inf. Sci. 2021, 575, 41–65. [Google Scholar] [CrossRef]
  24. Zhuang, X.; Wang, H.; He, X.; Fu, S.; Hu, H. SemiGMMPoint: Semi-supervised point cloud segmentation based on Gaussian mixture models. Pattern Recognit. 2025, 158, 111045. [Google Scholar] [CrossRef]
  25. Sharma, R.; Srivastava, S. Comparison of the Efficiency of K-Means, GMM and EM Algorithms in Image Processing. In Demystifying Emerging Trends in Green Technology; Bentham Science Publishers: Singapore, 2025; pp. 273–282. [Google Scholar]
  26. Goel, K.; Michael, N.; Tabib, W. Probabilistic Point Cloud Modeling via Self-Organizing Gaussian Mixture Models. IEEE Robot. Autom. Lett. 2023, 8, 2526–2533. [Google Scholar] [CrossRef]
  27. Kasim, F.A.B.; Pheng, H.S.; Nordin, S.Z.B.; Haur, O.K. Gaussian Mixture Model—Expectation Maximization Algorithm for Brain Images. In Proceedings of the 2021 2nd International Conference on Artificial Intelligence and Data Sciences (AiDAS), Ipoh, Malaysia, 8–9 September 2021; pp. 1–5. [Google Scholar]
  28. Paláncz, B.; Awange, J.; Somogyi, A.; Rehány, N.; Lovas, T.; Molnár, B.; Fukuda, Y. A robust cylindrical fitting to point cloud data. Aust. J. Earth Sci. 2016, 63, 665–673. [Google Scholar] [CrossRef]
  29. Tian, F.; Gao, Y.; Yang, C. GMM based low-complexity adaptive machine-learning equalizers for optical fiber communication. Opt. Commun. 2022, 517, 128312. [Google Scholar] [CrossRef]
  30. Li, J.; Xu, Z.; Zhang, X.; Ma, W.; He, S. A Persistent Scatterer Point Selection Method for Deformation Monitoring of Under-Construction Cross-Sea Bridges Using Statistical Theory and GMM-EM Algorithm. Remote Sens. 2024, 16, 2197. [Google Scholar] [CrossRef]
  31. Zhang, Y.; Xia, B. 3-D segmentation of concrete spalling in point cloud using unsupervised clustering and plane fitting. In Life-Cycle of Structures and Infrastructure Systems; CRC Press: Boca Raton, FL, USA, 2023; pp. 3943–3950. [Google Scholar]
  32. Hu, H.; Yang, N.; Chen, S.; Chen, H. Segmentation of the 3D point cloud based on GMM and hierarchical clustering for the wrist arm structure from Railway Catenary System. In Proceedings of the 2024 9th Asia Conference on Power and Electrical Engineering (ACPEE), Shanghai, China, 11–13 April 2024; pp. 1287–1292. [Google Scholar]
  33. Su, Z.; Gao, Z.; Zhou, G.; Li, S.; Song, L.; Lu, X.; Kang, N. Building Plane Segmentation Based on Point Clouds. Remote Sens. 2021, 14, 95. [Google Scholar] [CrossRef]
  34. Liang, C.; Wang, W.; Miao, J.; Yang, Y. GMMSeg: Gaussian Mixture based Generative Semantic Segmentation Models. Adv. Neural Inf. Process. Syst. 2022, 35, 31360–31375. [Google Scholar]
  35. Jung, W.; Hyeon, J.; Doh, N. Robust Cuboid Modeling from Noisy and Incomplete 3D Point Clouds Using Gaussian Mixture Model. Remote Sens. 2022, 14, 5035. [Google Scholar] [CrossRef]
  36. Min, Z.; Wang, J.; Meng, M.Q.-H. Robust Generalized Point Cloud Registration With Orientational Data Based on Expectation Maximization. IEEE Trans. Autom. Sci. Eng. 2019, 17, 207–221. [Google Scholar] [CrossRef]
  37. Hao, S.; Zhou, Y.; Guo, Y. A Brief Survey on Semantic Segmentation with Deep Learning. Neurocomputing 2020, 406, 302–321. [Google Scholar] [CrossRef]
  38. Guo, R.; Xie, J.; Zhu, J.; Cheng, R.; Zhang, Y.; Zhang, X.; Gong, X.; Zhang, R.; Wang, H.; Meng, F. Improved 3D point cloud segmentation for accurate phenotypic analysis of cabbage plants using deep learning and clustering algorithms. Comput. Electron. Agric. 2023, 211, 108014. [Google Scholar] [CrossRef]
  39. Huo, S.; Liu, Y.; Wang, J.; Li, R.; Liu, X.; Shi, J. A Pre-Procession Module for Point-Based Deep Learning in Dense Point Clouds in the Ship Engineering Field. J. Mar. Sci. Eng. 2023, 11, 2248. [Google Scholar] [CrossRef]
  40. Wu, Z.; Wu, Y.; Lin, G.; Cai, J. Reliability-Adaptive Consistency Regularization for Weakly-Supervised Point Cloud Segmentation. Int. J. Comput. Vis. 2024, 132, 2276–2289. [Google Scholar] [CrossRef]
  41. Huo, S.; Wang, J.; Li, R.; Liu, Y.; Pang, L.; Zhang, J. A registration and construction quality analysis framework for low quality hull block point cloud with extensive redundant structures. Ocean Eng. 2025, 342, 123089. [Google Scholar] [CrossRef]
  42. Wu, Y.; Yan, H.; Ding, K. Transformer based 3D tooth segmentation via point cloud region partition. Sci. Rep. 2024, 14, 28513. [Google Scholar] [CrossRef] [PubMed]
  43. Chandramohan, D.L.; Roy, K.; Taheri, H.; Karpenko, M.; Fang, Z.; Lim, J.B. A State of the Art Review of Fillet Welded Joints. Materials 2022, 15, 8743. [Google Scholar] [CrossRef]
  44. Jordan, C.R.; Krumpin, R.P., Jr. Design Guide for Structural Details, SSC 331, Ship Structure Committee Report 1990; National Technical Information Service: Springfield, VA, USA, 1990. [Google Scholar]
  45. Sharp, J.V.; Wintle, J. Steel Joining Methods and Joints. In Assessment of Materials in Ageing Offshore Structures; Springer: Cham, Switzerland, 2025. [Google Scholar] [CrossRef]
  46. Powers, D.M. Evaluation: From precision, recall and F-measure to ROC, informedness, markedness and correlation. arXiv 2020, arXiv:2010.16061. [Google Scholar] [CrossRef]
  47. Saïd, T.B.; Azaiz, O.; Chaieb, F.; M’hiri, S.; Ghorbel, F. Segmentation of liver tumor using HMRF-EM algorithm with Bootstrap resampling. In Proceedings of the 2010 5th International Symposium On I/V Communications and Mobile Network, Rabat, Morocco, 30 September–2 October 2010; pp. 1–4. [Google Scholar]
  48. Ding, S.; Jia, H.; Du, M.; Xue, Y. A semi-supervised approximate spectral clustering algorithm based on HMRF model. Inf. Sci. 2018, 429, 215–228. [Google Scholar] [CrossRef]
  49. McLachlan, G.J.; Lee, S.X.; Rathnayake, S.I. Finite mixture models. Annu. Rev. Stat. Its Appl. 2019, 6, 355–378. [Google Scholar] [CrossRef]
  50. Rooms UZH IfI (ASCII PTX Files with Color). Available online: https://www.ifi.uzh.ch/en/vmml/research/datasets.html (accessed on 1 December 2025).
  51. Zhou, S.; Xu, J.; Tao, L.; An, L.; Yu, Y. Automated inspection of gaps on the free-form shape parts by laser scanning technologies. In Proceedings of the 2017 International Conference on Optical Instruments and Technology: Optoelectronic Measurement Technology and Systems, Beijing, China, 28–30 October 2017; pp. 338–345. [Google Scholar]
  52. Liu, J.; Zhang, Q.; Wu, J.; Zhao, Y. Dimensional accuracy and structural performance assessment of spatial structure components using 3D laser scanning. Autom. Constr. 2018, 96, 324–336. [Google Scholar] [CrossRef]
  53. Dai, J.; Wei, M.; Xie, Q.; Wang, J. Aircraft Seam Feature Extraction from 3D Raw Point Cloud via Hierarchical Multi-structure Fitting. Comput. Aided Des. 2021, 130, 102945. [Google Scholar] [CrossRef]
  54. Long, K.; Xie, Q.; Lu, D.; Wu, Q.; Liu, Y.; Wang, J. Aircraft skin gap and flush measurement based on seam region extraction from 3D point cloud. Measurement 2021, 176, 109169. [Google Scholar] [CrossRef]
Figure 1. Over- and under-segmentation results of hull structure point cloud: (a) Original model; (b) Over-segmentation result based on region growing algorithm; (c) Under-segmentation result based on RANSAC algorithm.
Figure 1. Over- and under-segmentation results of hull structure point cloud: (a) Original model; (b) Over-segmentation result based on region growing algorithm; (c) Under-segmentation result based on RANSAC algorithm.
Jmse 14 00246 g001
Figure 2. Schematic diagram of typical local joint configurations and junction regions of hull structures: (a) Bulkhead-deck-elbow joint with 90° planar weld and arc transition; (b) Pipe-plate planar-cylindrical weld with perpendicular intersection line; (c) Side plate-T-section with obtuse-angle sharp-corner transition; (d) Ring-rib shell with sharp-corner transition and perpendicular spatial intersections.
Figure 2. Schematic diagram of typical local joint configurations and junction regions of hull structures: (a) Bulkhead-deck-elbow joint with 90° planar weld and arc transition; (b) Pipe-plate planar-cylindrical weld with perpendicular intersection line; (c) Side plate-T-section with obtuse-angle sharp-corner transition; (d) Ring-rib shell with sharp-corner transition and perpendicular spatial intersections.
Jmse 14 00246 g002
Figure 3. Fine segmentation algorithm flowchart.
Figure 3. Fine segmentation algorithm flowchart.
Jmse 14 00246 g003
Figure 4. Schematic of box selection segmentation: (a) Coarse segmentation result using region growing (over-segmentation); (b) Offset box selection point cloud (under-segmentation).
Figure 4. Schematic of box selection segmentation: (a) Coarse segmentation result using region growing (over-segmentation); (b) Offset box selection point cloud (under-segmentation).
Jmse 14 00246 g004
Figure 5. Schematic of Gaussian distribution of plane points and uniform distribution of outliers.
Figure 5. Schematic of Gaussian distribution of plane points and uniform distribution of outliers.
Jmse 14 00246 g005
Figure 6. Schematic comparing EM algorithm improvements: (a) Standard EM segmentation; (b) EM segmentation incorporating MRF.
Figure 6. Schematic comparing EM algorithm improvements: (a) Standard EM segmentation; (b) EM segmentation incorporating MRF.
Jmse 14 00246 g006
Figure 7. Comprehensive comparison of results.
Figure 7. Comprehensive comparison of results.
Jmse 14 00246 g007
Figure 8. Fine segmentation process of wall corner point cloud: (a) Manual annotation; (b) Region growing segmentation; (c) Offset box selection; (d) GUMM-HMRF segmentation.
Figure 8. Fine segmentation process of wall corner point cloud: (a) Manual annotation; (b) Region growing segmentation; (c) Offset box selection; (d) GUMM-HMRF segmentation.
Jmse 14 00246 g008
Figure 9. Comparison of fine segmentation results of wall corner point cloud.
Figure 9. Comparison of fine segmentation results of wall corner point cloud.
Jmse 14 00246 g009
Figure 10. Segmentation results of wall corner point cloud using GUMM-HMRF: (a) Statistical histograms before and after segmentation with fitted curves; (b) Convergence of the GUMM weight w; (c) Convergence of the Gaussian sub-distribution (inliers); (d) Convergence of the uniform sub-distribution (outliers).
Figure 10. Segmentation results of wall corner point cloud using GUMM-HMRF: (a) Statistical histograms before and after segmentation with fitted curves; (b) Convergence of the GUMM weight w; (c) Convergence of the Gaussian sub-distribution (inliers); (d) Convergence of the uniform sub-distribution (outliers).
Jmse 14 00246 g010
Figure 11. Experimental T-joint model: (a) Physical T-joint; (b) Raw point cloud; (c) Manual annotation of the weld and adjacent regions.
Figure 11. Experimental T-joint model: (a) Physical T-joint; (b) Raw point cloud; (c) Manual annotation of the weld and adjacent regions.
Jmse 14 00246 g011
Figure 12. Fine segmentation process of fillet weld point cloud: (a) Manual annotation; (b) Region growing segmentation; (c) Offset box selection; (d) GUMM-HMRF segmentation.
Figure 12. Fine segmentation process of fillet weld point cloud: (a) Manual annotation; (b) Region growing segmentation; (c) Offset box selection; (d) GUMM-HMRF segmentation.
Jmse 14 00246 g012
Figure 13. Comparison of fine segmentation results of fillet weld point cloud.
Figure 13. Comparison of fine segmentation results of fillet weld point cloud.
Jmse 14 00246 g013
Figure 14. Segmentation results of fillet weld point cloud using GUMM-HMRF: (a) Statistical histograms before and after segmentation with fitted curves; (b) Convergence of the GUMM weight w; (c) Convergence of the Gaussian sub-distribution (inliers); (d) Convergence of the uniform sub-distribution (outliers).
Figure 14. Segmentation results of fillet weld point cloud using GUMM-HMRF: (a) Statistical histograms before and after segmentation with fitted curves; (b) Convergence of the GUMM weight w; (c) Convergence of the Gaussian sub-distribution (inliers); (d) Convergence of the uniform sub-distribution (outliers).
Jmse 14 00246 g014
Figure 15. Experimental V-groove model: (a) Physical V-groove; (b) Raw point cloud.
Figure 15. Experimental V-groove model: (a) Physical V-groove; (b) Raw point cloud.
Jmse 14 00246 g015
Figure 16. Fine segmentation process of V-groove point cloud: (a) Manual annotation; (b) Region growing segmentation; (c) Offset box selection; (d) GUMM-HMRF segmentation.
Figure 16. Fine segmentation process of V-groove point cloud: (a) Manual annotation; (b) Region growing segmentation; (c) Offset box selection; (d) GUMM-HMRF segmentation.
Jmse 14 00246 g016
Figure 17. Comparison of fine segmentation results of V-groove point cloud.
Figure 17. Comparison of fine segmentation results of V-groove point cloud.
Jmse 14 00246 g017
Figure 18. Segmentation results of V-groove point cloud using GUMM-HMRF: (a) Statistical histograms before and after segmentation with fitted curves; (b) Convergence of the GUMM weight w; (c) Convergence of the Gaussian sub-distribution (inliers); (d) Convergence of the uniform sub-distribution (outliers).
Figure 18. Segmentation results of V-groove point cloud using GUMM-HMRF: (a) Statistical histograms before and after segmentation with fitted curves; (b) Convergence of the GUMM weight w; (c) Convergence of the Gaussian sub-distribution (inliers); (d) Convergence of the uniform sub-distribution (outliers).
Jmse 14 00246 g018
Figure 19. Experimental flange model: (a) Physical flange; (b) Raw point cloud; (c) Manually drawn boundary curves; (d) Flood-fill segmentation and manual annotation.
Figure 19. Experimental flange model: (a) Physical flange; (b) Raw point cloud; (c) Manually drawn boundary curves; (d) Flood-fill segmentation and manual annotation.
Jmse 14 00246 g019
Figure 20. Comparison of fine segmentation results of flange end plane point cloud.
Figure 20. Comparison of fine segmentation results of flange end plane point cloud.
Jmse 14 00246 g020
Figure 21. Comparison of fine segmentation results of flange outer cylinder point cloud.
Figure 21. Comparison of fine segmentation results of flange outer cylinder point cloud.
Jmse 14 00246 g021
Figure 22. Segmentation results of flange end plane point cloud using GUMM-HMRF: (a) Statistical histograms before and after segmentation with fitted curves; (b) Convergence of the GUMM weight w; (c) Convergence of the Gaussian sub-distribution (inliers); (d) Convergence of the uniform sub-distribution (outliers).
Figure 22. Segmentation results of flange end plane point cloud using GUMM-HMRF: (a) Statistical histograms before and after segmentation with fitted curves; (b) Convergence of the GUMM weight w; (c) Convergence of the Gaussian sub-distribution (inliers); (d) Convergence of the uniform sub-distribution (outliers).
Jmse 14 00246 g022
Figure 23. Segmentation results of flange outer cylinder point cloud using GUMM-HMRF: (a) Statistical histograms before and after segmentation with fitted curves; (b) Convergence of the GUMM weight w; (c) Convergence of the Gaussian sub-distribution (inliers); (d) Convergence of the uniform sub-distribution (outliers).
Figure 23. Segmentation results of flange outer cylinder point cloud using GUMM-HMRF: (a) Statistical histograms before and after segmentation with fitted curves; (b) Convergence of the GUMM weight w; (c) Convergence of the Gaussian sub-distribution (inliers); (d) Convergence of the uniform sub-distribution (outliers).
Jmse 14 00246 g023aJmse 14 00246 g023b
Figure 24. Point cloud segmentation for the ring-stiffened shell model: (a) Raw point cloud; (b) Overall segmentation result; (c) GUMM-HMRF cylindrical segment result.
Figure 24. Point cloud segmentation for the ring-stiffened shell model: (a) Raw point cloud; (b) Overall segmentation result; (c) GUMM-HMRF cylindrical segment result.
Jmse 14 00246 g024
Figure 25. Cylindrical fine segmentation process at junction regions of shell rings: (a) Region growing segmentation; (b) Offset box selection; (c) GUMM-HMRF fine segmentation; (d) Top view of fine segmentation.
Figure 25. Cylindrical fine segmentation process at junction regions of shell rings: (a) Region growing segmentation; (b) Offset box selection; (c) GUMM-HMRF fine segmentation; (d) Top view of fine segmentation.
Jmse 14 00246 g025
Figure 26. Histogram of distance samples from fine segmentation of shell ring point cloud and its fitted curve: (a) Cylinder 1; (b) Cylinder 2; (c) Cylinder 3.
Figure 26. Histogram of distance samples from fine segmentation of shell ring point cloud and its fitted curve: (a) Cylinder 1; (b) Cylinder 2; (c) Cylinder 3.
Jmse 14 00246 g026
Figure 27. Submarine transverse bulkhead panel frame structure model: (a) Transverse bulkhead structural model; (b) Point cloud data acquisition; (c) Raw point cloud.
Figure 27. Submarine transverse bulkhead panel frame structure model: (a) Transverse bulkhead structural model; (b) Point cloud data acquisition; (c) Raw point cloud.
Jmse 14 00246 g027
Figure 28. Planar fine segmentation process at junction regions of bulkhead: (a) Region growing segmentation; (b) Offset box selection; (c) GUMM-HMRF fine segmentation.
Figure 28. Planar fine segmentation process at junction regions of bulkhead: (a) Region growing segmentation; (b) Offset box selection; (c) GUMM-HMRF fine segmentation.
Jmse 14 00246 g028
Figure 29. Histogram of distance samples from fine segmentation of bulkhead point cloud and its fitted curve.
Figure 29. Histogram of distance samples from fine segmentation of bulkhead point cloud and its fitted curve.
Jmse 14 00246 g029
Table 1. Comparison of cylinder dimensions in calculation process.
Table 1. Comparison of cylinder dimensions in calculation process.
Cylinder 1Cylinder 2Cylinder 3
Calc.Dev.Calc.Dev.Calc.Dev.
Region growingHeight147.08−25.72605.56−34.44151.18−20.82
Radius599.770.07599.110.01598.570.07
Offset (8 mm)Height174.421.62641.491.49173.621.62
Radius599.60−0.10598.95−0.15598.34−0.16
GUMM-HMRFHeight172.990.19639.98−0.02171.94−0.06
Radius599.60−0.10598.98−0.12598.39−0.11
ManualHeight172.80640.00172.00
Radius599.70599.10598.50
Note: All dimensions are in mm. Calc. = Calculated value; Dev. = Deviation from manual measurement value.
Table 2. Comparison of local bulkhead dimensions in calculation process.
Table 2. Comparison of local bulkhead dimensions in calculation process.
Plane 1Plane 2
Calc.Dev.Calc.Dev.
Region growingLength183.63−4.87182.66−5.34
Width130.83−5.17130.77−4.73
Offset (10 mm)Length189.931.43189.561.56
Width137.221.22136.761.26
GUMM-HMRFLength188.670.17188.150.15
Width135.97−0.03135.620.12
ManualLength188.50188.00
Width136.00135.50
Note: All dimensions are in mm. Calc. = Calculated value; Dev. = Deviation from manual measurement value.
Table 3. Accuracy comparison of high-precision dimensional measurement methods across different fields.
Table 3. Accuracy comparison of high-precision dimensional measurement methods across different fields.
MethodApplication ScenarioCore AlgorithmFeature ScaleAbsolute ErrorRelative AccuracyProcess Steps
Zhou et al. [51]Free-form surface gapsPath planning + geometric constraints2–20 mm (gap)RMS 0.025 mm0.125%3
Liu et al. [52]Spatial steel structuresRANSAC + ICP2500 mm (span)10.9 mm0.44%7
Dai et al. [53]Aircraft skin seamsTensor voting + HMF0.2–0.4 mm (gap)±0.008 mm2.0%4
Long et al. [54]Aircraft skin gapsDensity clustering + RANSAC1 mm (gap)0.001 mm0.1%3
This studyLocal hull bulkhead platesGUMM-HMRF>100 mm±0.2 mm0.2%3
Disclaimer/Publisher’s Note: The statements, opinions and data contained in all publications are solely those of the individual author(s) and contributor(s) and not of MDPI and/or the editor(s). MDPI and/or the editor(s) disclaim responsibility for any injury to people or property resulting from any ideas, methods, instructions or products referred to in the content.

Share and Cite

MDPI and ACS Style

Han, Y.; Peng, F.; Wang, Z.; Meng, Q. GUMM-HMRF: A Fine Point Cloud Segmentation Method for Junction Regions of Hull Structures. J. Mar. Sci. Eng. 2026, 14, 246. https://doi.org/10.3390/jmse14030246

AMA Style

Han Y, Peng F, Wang Z, Meng Q. GUMM-HMRF: A Fine Point Cloud Segmentation Method for Junction Regions of Hull Structures. Journal of Marine Science and Engineering. 2026; 14(3):246. https://doi.org/10.3390/jmse14030246

Chicago/Turabian Style

Han, Yuchao, Fei Peng, Zhong Wang, and Qingxu Meng. 2026. "GUMM-HMRF: A Fine Point Cloud Segmentation Method for Junction Regions of Hull Structures" Journal of Marine Science and Engineering 14, no. 3: 246. https://doi.org/10.3390/jmse14030246

APA Style

Han, Y., Peng, F., Wang, Z., & Meng, Q. (2026). GUMM-HMRF: A Fine Point Cloud Segmentation Method for Junction Regions of Hull Structures. Journal of Marine Science and Engineering, 14(3), 246. https://doi.org/10.3390/jmse14030246

Note that from the first issue of 2016, this journal uses article numbers instead of page numbers. See further details here.

Article Metrics

Back to TopTop