Numerical Simulation of an Icebreaker Ramming the Ice Ridge
Abstract
1. Introduction
2. Mathematical Methods
2.1. Ship Motion Model
2.2. Consolidation Layer Failure Model
2.3. Ice Ridge Keel Failure Model
2.4. Hydrodynamic and Propulsion Model of the Ship
3. Validation
4. Discussion
4.1. Effect of Different Ice Ridge Shapes on Transit Performance
4.1.1. Varying Consolidated Layer Thicknesses
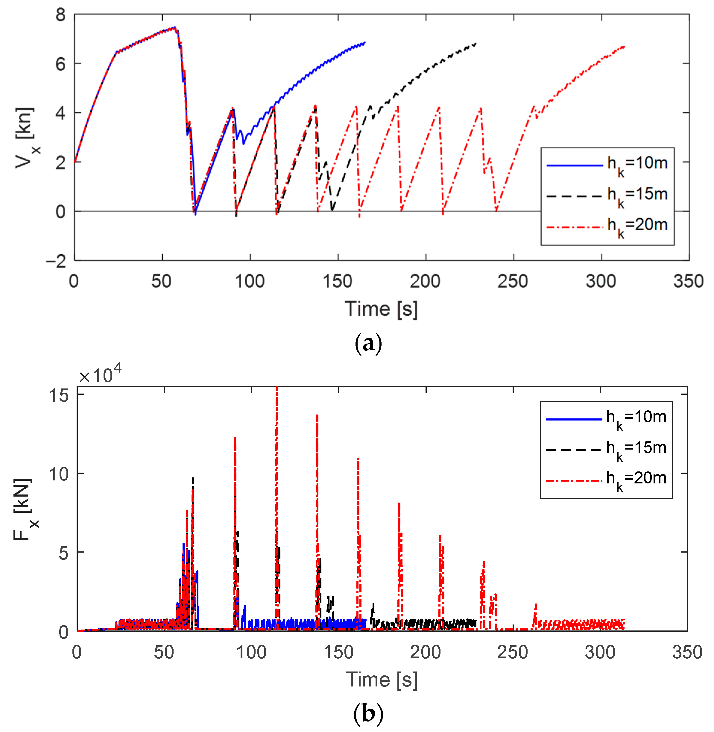
4.1.2. Varying Keel Depths
4.1.3. Varying Angles of Inclination
4.2. Strategies for Enhancing Transit Efficiency
4.2.1. Different Retreat Distances
4.2.2. Different Drafts
4.3. Effect of Ice Ridge Mechanical Properties on Transit Performance
4.3.1. Varying Internal Friction Angle
4.3.2. Varying Cohesive Force
5. Conclusions
- (1)
- The accuracy of ice loads during ice ridge ramming was validated by comparison with model test results, with average ice load deviation of 9.85% in the consolidated layer and 10.48% in the ice ridge.
- (2)
- A thicker consolidated layer reduces the ship’s kinetic energy during ramming, resulting in a greater number of ramming attempts and increased time required to penetrate the ice ridge. Larger internal friction angles and cohesion values both increase the strength of the keel, resulting in higher peak loads and longer passage times.
- (3)
- Greater keel depth imposes more resistance to the ship, leading to increased time consumption and a higher number of ramming attempts. An increase of 5 m in keel depth results in a time consumption roughly 1.3 times that of the original. Moreover, the peak ice load increases approximately linearly with keel depth, which may cause structural damage or yielding of the hull. Different keel inclinations have a relatively minor effect on the peak load during passage. However, smaller inclination angles result in a longer keel region that the ship must pass through, leading to increased time consumption and a higher number of ramming attempts.
- (4)
- Increasing the retreat distance allows the ship to accelerate and gain more kinetic energy, resulting in improved performance during ramming. A smaller ship draft reduces the contact area between the ship and the ice ridge, significantly decreasing the number of ramming attempts and the total time required to pass through.
Author Contributions
Funding
Data Availability Statement
Conflicts of Interest
References
- Timco, G.; Burden, R. An analysis of the shapes of sea ice ridges. Cold Reg. Sci. Technol. 1997, 25, 65–77. [Google Scholar] [CrossRef]
- Zhou, L.; Gao, J.; Li, D. An engineering method for simulating dynamic interaction of moored ship with first-year ice ridge. Ocean Eng. 2019, 171, 417–428. [Google Scholar] [CrossRef]
- Xie, C.; Zhou, L.; Ding, S.; Lu, M.; Zhou, X. Research on self-propulsion simulation of a polar ship in a brash ice channel based on body force model. Int. J. Nav. Archit. Ocean Eng. 2023, 15, 100557. [Google Scholar] [CrossRef]
- Pliss, A.; Høyland, K.V.; Leira, B.J. Geometry, Morphology, Physical Properties and Structure of Sea Ice Ridges During the Transition Period from First-Year to Second-Year in the Summer 2023 and 2024. J. Mar. Sci. Eng. 2025, 13, 335. [Google Scholar] [CrossRef]
- Zhao, W.; Leira, B.J.; Høyland, K.V.; Kim, E.; Feng, G.; Ren, H. A framework for structural analysis of icebreakers during ramming of first-year ice ridges. J. Mar. Sci. Eng. 2024, 12, 611. [Google Scholar] [CrossRef]
- Sawamura, J.; Tachibana, T. Development of a numerical simulation for rotating and sliding of the ice floes along a ship hull. In Proceedings of the International Conference on Port and Ocean Engineering Under Arctic Conditions, Montréal, QC, Canada, 10–14 July 2011. [Google Scholar]
- Lau, M.; Lawrence, K.P.; Rothenburg, L. Discrete element analysis of ice loads on ships and structures. In Proceedings of the SNAME International Conference and Exhibition on Performance of Ships and Structures in Ice, Banff, AB, Canada, 20–23 July 2008; p. D021S008R002. [Google Scholar]
- Zhu, H.; Ji, S. Discrete element analysis of punch through test of ice ridge and its loads on vertical structure. Mech. Eng. 2021, 43, 234–243. [Google Scholar]
- Alobaid, F.; Baraki, N.; Epple, B. Investigation into improving the efficiency and accuracy of CFD/DEM simulations. Particuology 2014, 16, 41–53. [Google Scholar] [CrossRef]
- Sand, B. Nonlinear Finite Element Simulations of Ice Forces On Offshore Structures. Ph.D. Thesis, Luleå Tekniska Universitet, Luleå, Sweden, 2008. [Google Scholar]
- Vakulenko, A.M.; Bolshev, A.S. Loads from ice ridge keels—Analytical vs. numerical. Appl. Mech. Mater. 2015, 725, 229–234. [Google Scholar]
- Serré, N. Mechanical properties of model ice ridge keels. Cold Reg. Sci. Technol. 2011, 67, 89–106. [Google Scholar] [CrossRef]
- Kuuliala, L.; Kujala, P.; Suominen, M.; Montewka, J. Estimating operability of ships in ridged ice fields. Cold Reg. Sci. Technol. 2017, 135, 51–61. [Google Scholar] [CrossRef]
- Gu, Y.; Zhou, L.; Ding, S.; Tan, X.; Gao, J.; Zhang, M. Numerical simulation of ship maneuverability in level ice considering ice crushing failure. Ocean Eng. 2022, 251, 111110. [Google Scholar] [CrossRef]
- Zhou, L.; Riska, K.; Ji, C. Simulating transverse icebreaking process considering both crushing and bending failures. Mar. Struct. 2017, 54, 167–187. [Google Scholar] [CrossRef]
- Zhou, L.; Chuang, Z.; Ji, C. Ice forces acting on towed ship in level ice with straight drift. Part I: Analysis of model test data. Int. J. Nav. Archit. Ocean. Eng. 2018, 10, 60–68. [Google Scholar] [CrossRef]
- Zhou, L.; Chuang, Z.; Bai, X. Ice forces acting on towed ship in level ice with straight drift. Part II: Numerical simulation. Int. J. Nav. Archit. Ocean. Eng. 2018, 10, 119–128. [Google Scholar] [CrossRef]
- Dong, W.; Zhou, L.; Li, F.; Kujala, P.; Ding, S. Performance quantification and validation of a heavy icebreaker navigate in level ice by numerical simulation. Ocean Eng. 2025, 339, 122081. [Google Scholar] [CrossRef]
- Lindqvist, A. Straightforward method for calculation of ice resistance of ships. POAC’89 1989, 2, 722. [Google Scholar]
- Kankaanpää, P. Distribution, morphology and structure of sea ice pressure ridges in the Baltic Sea. Fenn.-Int. J. Geogr. 1997, 175, 139–240. [Google Scholar]
- Ettema, R.; Urroz, G.E. On internal friction and cohesion in unconsolidated ice rubble. Cold Reg. Sci. Technol. 1989, 16, 237–247. [Google Scholar] [CrossRef]
- Blanchet, D.; Spring, W.; McKenna, R.; Thomas, G. ISO 19906: An international standard for Arctic offshore structures. In Proceedings of the OTC Arctic Technology Conference, Houston, TX, USA, 7–9 February 2011; p. OTC–22068–MS. [Google Scholar]
- Kärnä, T.; Nykänen, E. An approach for ridge load determination in probabilistic design. In Proceedings of the 17th IAHR International Symposium on Ice, Saint Petersburg, Russia, 21–25 June 2004; pp. 42–50. [Google Scholar]
- Dolgopolov, Y.; Afanasiev, V.; Koren'Kov, V.; Panfilov, D. Effect of hummocked ice on the piers of marine hydraulic structures. In Proceedings of the International Symposium on Ice Problems, 3rd, Proceedings, Hanover, NH, USA, 18–21 August 1975. [Google Scholar]
- Juva, M.; Risk, K. On The Power Requirement In The Finnish-Swedish Ice Class Rules. 2002. Available online: https://www.sjofartsverket.se/globalassets/tjanster/isbrytning/pdf-regelverk/power_requirement_finnish-swedish_iceclass.pdf (accessed on 14 September 2025).



















| Parameter | Value | Unit |
|---|---|---|
| Length (L) | 125 | m |
| Breadth (B) | 23 | m |
| Depth (T) | 8 | m |
| Inclination Angle | 20 | ° |
| Water angle | 34 | ° |
| Parameter | Value | Unit | |
|---|---|---|---|
| Consolidation layer | Ice thickness | 0.01 | m |
| Density | 900 | ||
| Coefficient of friction | 0.1 | — | |
| Flexure strength | 16.6 | kPa | |
| Crush strength | 97.9 | kPa | |
| Elastic modulus | 90 | MPa | |
| Poisson ratio | 0.3 | — | |
| Ice ridge keel | Length | 2 | m |
| Depth | 0.133 | m | |
| width | 0.54 | m | |
| Angle | 50 | ° | |
| Porosity | 0.3 | — | |
| Internal friction angle | 35 | ° | |
| Cohesive force | 0.1 | kPa |
| Parameter | Value | Unit | |
|---|---|---|---|
| Consolidation layer. | Ice thickness | 1.0/1.5/2.0 | m |
| Density | 900 | ||
| Coefficient of friction | 0.1 | — | |
| Flexure strength | 700 | kPa | |
| Crush strength | 2800 | kPa | |
| Elastic modulus | 5400 | MPa | |
| Poisson ratio | 0.3 | — | |
| Ice ridge keel | Depth | 10 | m |
| Angle | 25 | ° | |
| Porosity | 0.3 | — | |
| Internal friction angle | 60 | ° | |
| Cohesive force | 32.5 | kPa |
| ID | Ice Thickness (m) | Impact Count | Time Consumed (s) | Maximum Ice Load (kN) |
|---|---|---|---|---|
| 1-1 | 1.0 | 1 | 93.3 | 45.985 |
| 1-2 | 1.5 | 1 | 121.9 | 61.409 |
| 1-3 | 2.0 | 2 | 165.9 | 55.331 |
| Parameter | Value | Unit | |
|---|---|---|---|
| Consolidation layer | Ice thickness | 2.0 | m |
| Density | 900 | ||
| Coefficient of friction | 0.1 | — | |
| Flexure strength | 700 | kPa | |
| Crush strength | 2800 | kPa | |
| Elastic modulus | 5400 | MPa | |
| Poisson ratio | 0.3 | — | |
| Ice ridge keel | Depth | 10/15/20 | m |
| Angle | 25 | ° | |
| Porosity | 0.3 | — | |
| Internal friction angle | 60 | ° | |
| Cohesive force | 32.5 | kPa |
| ID | Keel Depth (m) | Impact Count | Time Consumed (s) | Maximum Ice Load (MN) |
|---|---|---|---|---|
| 2-1 | 10 | 2 | 165.3 | 55.331 |
| 2-2 | 15 | 5 | 228.4 | 97.244 |
| 2-3 | 20 | 9 | 313.4 | 154.830 |
| Parameter | Value | Unit | |
|---|---|---|---|
| Consolidation layer | Ice thickness | 2.0 | m |
| Density | 900 | ||
| Coefficient of friction | 0.1 | — | |
| Flexure strength | 700 | kPa | |
| Crush strength | 2800 | kPa | |
| Elastic modulus | 5400 | MPa | |
| Poisson ratio | 0.3 | — | |
| Ice ridge keel | Depth | 15 | m |
| Angle | 20/25/30/35 | ° | |
| Porosity | 0.3 | — | |
| Internal friction angle | 60 | ° | |
| Cohesive force | 32.5 | kPa |
| ID | Angle (m) | Impact Count | Time Consumed (s) | Maximum Ice Load (MN) |
|---|---|---|---|---|
| 3-1 | 20 | 7 | 270.7 | 100.91 |
| 3-2 | 25 | 5 | 228.4 | 97.244 |
| 3-3 | 30 | 4 | 215.4 | 105.18 |
| 3-4 | 35 | 3 | 194.1 | 107.96 |
| Parameter | Value | Unit | |
|---|---|---|---|
| Consolidation layer | Ice thickness | 2.0 | m |
| Density | 900 | ||
| Coefficient of friction | 0.1 | — | |
| Flexure strength | 700 | kPa | |
| Crush strength | 2800 | kPa | |
| Elastic modulus | 5400 | MPa | |
| Poisson ratio | 0.3 | — | |
| Ice ridge keel | Depth | 15 | m |
| Angle | 25 | ° | |
| Porosity | 0.3 | — | |
| Internal friction angle | 60 | ° | |
| Cohesive force | 32.5 | kPa |
| ID | Retreat Distance (m) | Impact Count | Impact Velocity (kts) | Time Consumed (s) | Second Maximum Ice Load (MN) |
|---|---|---|---|---|---|
| 4-1 | 10 | 5 | 3.30 | 226 | 84.09 |
| 4-2 | 20 | 5 | 4.26 | 228 | 87.82 |
| 4-3 | 30 | 4 | 4.95 | 222 | 83.45 |
| ID | Draft (m) | Impact Count | Time Consumed (s) | Maximum Ice Load (MN) |
|---|---|---|---|---|
| 5-1 | 7.5 | 2 | 148.1 | 96.37 |
| 5-2 | 8 | 5 | 226.0 | 97.24 |
| 5-3 | 8.5 | 8 | 300.7 | 93.30 |
| Parameter | Value | Unit | |
|---|---|---|---|
| Consolidation layer | Ice thickness | 2.0 | m |
| Density | 900 | ||
| Coefficient of friction | 0.1 | — | |
| Flexure strength | 700 | kPa | |
| Crush strength | 2800 | kPa | |
| Elastic modulus | 5400 | MPa | |
| Poisson ratio | 0.3 | — | |
| Ice ridge keel | Depth | 15 | m |
| Angle | 25 | ° | |
| Porosity | 0.3 | — | |
| Internal friction angle | 30/40/50/60 | ° | |
| Cohesive force | 32.5 | kPa |
| ID | Internal Friction Angle (m) | Impact Count | Time Consumed (s) | Maximum Ice Load (MN) |
|---|---|---|---|---|
| 6-1 | 30 | 1 | 125 | 26.96 |
| 6-2 | 40 | 1 | 131 | 31.46 |
| 6-3 | 50 | 1 | 142 | 46.59 |
| 6-4 | 60 | 1 | 165 | 55.32 |
| Parameter | Value | Unit | |
|---|---|---|---|
| Consolidation layer | Ice thickness | 2.0 | m |
| Density | 900 | ||
| Coefficient of friction | 0.1 | — | |
| Flexure strength | 700 | kPa | |
| Crush strength | 2800 | kPa | |
| Elastic modulus | 5400 | MPa | |
| Poisson ratio | 0.3 | — | |
| Ice ridge keel | Depth | 15 | m |
| Angle | 25 | ° | |
| Porosity | 0.3 | — | |
| Internal friction angle | 60 | ° | |
| Cohesive force | 10/20/30/40 | kPa |
| ID | Cohesive Force (kPa) | Impact Count | Time Consumed (s) | Maximum Ice Load (MN) |
|---|---|---|---|---|
| 7-1 | 10 | 1 | 125 | 28.38 |
| 7-2 | 20 | 1 | 138 | 46.73 |
| 7-3 | 30 | 2 | 160 | 53.89 |
| 7-4 | 40 | 2 | 168 | 64.64 |
Disclaimer/Publisher’s Note: The statements, opinions and data contained in all publications are solely those of the individual author(s) and contributor(s) and not of MDPI and/or the editor(s). MDPI and/or the editor(s) disclaim responsibility for any injury to people or property resulting from any ideas, methods, instructions or products referred to in the content. |
© 2025 by the authors. Licensee MDPI, Basel, Switzerland. This article is an open access article distributed under the terms and conditions of the Creative Commons Attribution (CC BY) license (https://creativecommons.org/licenses/by/4.0/).
Share and Cite
Dong, W.; Chen, J.; Zhang, Y.; Wei, S.; He, G.; Li, F. Numerical Simulation of an Icebreaker Ramming the Ice Ridge. J. Mar. Sci. Eng. 2025, 13, 1815. https://doi.org/10.3390/jmse13091815
Dong W, Chen J, Zhang Y, Wei S, He G, Li F. Numerical Simulation of an Icebreaker Ramming the Ice Ridge. Journal of Marine Science and Engineering. 2025; 13(9):1815. https://doi.org/10.3390/jmse13091815
Chicago/Turabian StyleDong, Wenbo, Jiaming Chen, Yufei Zhang, Shisong Wei, Guangwei He, and Fang Li. 2025. "Numerical Simulation of an Icebreaker Ramming the Ice Ridge" Journal of Marine Science and Engineering 13, no. 9: 1815. https://doi.org/10.3390/jmse13091815
APA StyleDong, W., Chen, J., Zhang, Y., Wei, S., He, G., & Li, F. (2025). Numerical Simulation of an Icebreaker Ramming the Ice Ridge. Journal of Marine Science and Engineering, 13(9), 1815. https://doi.org/10.3390/jmse13091815

