Abstract
Improved ship design and market demands have driven the adoption of multi-propeller systems for propulsion in recent years. This study examines the hydrodynamic performance of two KP505 propellers arranged in various transverse and longitudinal spacings, utilizing an in-house CFD code. The numerical simulations employ the URANS method with the SST k-ω turbulence model and a structured overset grid approach. First, standardized mesh and time-step convergence studies are conducted following ITTC recommendations. The hydrodynamic results for the KP505 propeller are compared with experimental data to validate the reliability of the method. Subsequently, over 40 propeller arrangements with varying transverse and longitudinal spacing are simulated. Thrust, torque, and efficiency under different operating conditions are calculated, and key flow field data are analyzed. Finally, the interference characteristics between propellers at different positions are examined by comparing the results with those of a single KP505 propeller. The findings indicate that the high-speed wake generated by the upstream propeller significantly affects the hydrodynamic performance of the downstream propeller. This interaction diminishes as the transverse spacing between the propellers increases. To ensure the propulsion efficiency of the two-propeller configuration, the transverse spacing should not be less than one times the diameter of the propeller.
1. Introduction
With advancements in ship design and increasing market demands, both the speed and tonnage of vessels have risen in recent years, placing greater demands on propulsion capabilities. However, the diameter of propellers is constrained by the available stern space and draft depth, making conventional single propellers increasingly inadequate to meet these propulsion needs. As a result, multi-propeller propulsion systems, including tandem and counter-rotating propellers, as well as twin-, triple-, and four-propeller configurations, have become more prevalent. Propellers in operation disrupt the surrounding flow field, which subsequently impacts the performance of other propellers within this disturbed environment. Therefore, propeller interference remains a critical issue in multi-propeller systems, as the interaction between the propellers may negatively impact their performance and ultimately reduce overall propulsion efficiency.
Tandem and counter-rotating propellers represent non-conventional marine propulsion systems that consist of two coaxial conventional propeller units. The key distinction between these configurations lies in their rotational dynamics: tandem systems maintain identical rotation direction for both propellers, while counter-rotating systems utilize opposite rotations. Both configurations exhibit minimal blade spacing in both transverse and longitudinal directions, resulting in relatively intense hydrodynamic interactions between the front and rear propellers.
Djahida et al. [1] studied the effects of axial displacement between tandem propellers. Their results indicated that with an appropriate configuration of the upstream and downstream propellers, it could be possible to achieve double or even greater thrust compared to a single propeller, while maintaining maximum efficiency. Güngör et al. [2] computed the acoustic performance of a counter-rotating propeller system (propeller types 3684 and 3685) using large eddy simulation combined with the FW-H method. The amplitudes of the pressure fluctuations showed good agreement with experimental data, excluding minor discrepancies in the third harmonic, demonstrating that the FW-H approach provided reliable results for the spectrum at both near- and far-field locations. Cui et al. [3] experimentally analyzed scour patterns of externally and internally rotating twin propellers using ADV measurements. Their findings revealed distinct scour concentration zones: maximum erosion for external rotation aligned with the individual propeller axes, while internal rotation induced peak scour along the coaxial midline between the propellers. Liu et al. [4] also found that by adjusting the spacing or diameter ratio, the downstream propeller could effectively absorb energy from the vortices shed by the upstream propeller, resulting in an approximately 45% improvement in the efficiency of the tandem propeller compared to a single propeller. Yao et al. [5,6] investigated the effects of axial distance and angular displacement on the hydrodynamic performance of tandem propellers based on RANS method. They observed that propeller efficiency could be enhanced at minimal axial distances combined with a specific angular offset. This phenomenon was attributed to favorable flow field interference between the front and rear propellers. They also found that the tandem propeller system has more advantages and potential for improving cavitation effects compared to conventional propellers. Chavan et al. [7] simulated the hydrodynamic performance of tandem propellers with different arrangements using a RANS CFD solver. They found that the resultant thrust and torque coefficients of the co-rotating propeller system increased compared to an equivalent single propeller, although the open-water efficiency decreased under moderate to high propeller load conditions. Pereira et al. [8] and Capone et al. [9] employed PIV to analyze near-wake vorticity dynamics in counter-rotating propellers. They discovered that the flow dynamics within a counter-rotating propeller system were characterized by the interaction of vorticity generated by both the front and rear propellers, which was dependent on blade loading and the relative phase angle. Their findings demonstrated that optimized operation of the aft propeller under specific loads effectively balanced the tangential velocity components. Jiang et al. [10] examined the hydrodynamic performance of a rim-driven counter-rotating thruster using the Ansys Fluent software. The results indicated that its hydrodynamic performances were better than those of a single-propeller rim-driven thruster, thereby confirming the advantages of this novel shaftless thruster.
For multi-propeller propulsion systems, particularly those with four propellers, the spacing between the propellers is more flexible and variable compared to the constrained spacing found in tandem and counter-rotating propeller arrangements. Both the transverse and longitudinal configurations can be adjusted between the two propellers on each side, coupled with the influence of the wake. As a result, the interaction characteristics among the propellers on multi-propeller ships can be quite complex. Optimizing the configuration of multi-propeller systems has become a crucial area of research.
Cozijn et al. [11] conducted thruster-interaction model tests in the Deepwater Towing Tank at MARIN. The PIV technique is applied to measure the wake flow of the azimuthing thrusters on a semi-submersible and a drill ship. The results indicated that the ‘tilted’ thrusters design can reduce thruster–thruster interaction effects. Bi et al. [12] presented propeller configuration effects on four-propeller vessel performance through systematic self-propulsion experiments. According to their 15 self-propulsion tests transverse positioning of inner propellers and longitudinal alignment of outer propellers emerged were the dominant factors governing the propulsion efficiency. Zong et al. [13] focused on the factors causing load changes in a four-propeller vessel. Their research found that pure interference from the other propeller contributes approximately 10% to total load variation, with inner propellers experiencing positive load increments and outer propellers exhibiting negative modulation. Sun et al. [14,15] conducted computational studies and experimental investigations on the propulsion performance of a four-screw ship. They examined the nominal wake and the distribution patterns of the wake field between the propeller disks. The results showed that the circumferential distribution patterns of the axial and tangential wake fields between the disks changed significantly depending on the positions of the inside and outside propellers. The mean axial velocity of the inside propeller was generally lower than that of the outside propeller. Zhou et al. [16] investigated thruster–thruster interactions in the vector-layout propulsion system of a remotely operated vehicle. They found that when the two thrusters were configured in tandem, the maximum thrust was achieved when the deviation angle between them was approximately 15°. Additionally, the results highlighted transverse spacing as the dominant factor influencing individual thruster performance compared to longitudinal variations. Yiew et al. [17] studied thruster and hull interactions on an azimuthing stern-drive tug through a series of model tests and numerical simulations. Their results demonstrated that propeller interactions predominantly influenced longitudinal thruster forces, whereas lateral forces stemmed primarily from thruster–unit drag, exhibiting minimal sensitivity to inter-thruster effects.
While single-propeller configurations have been extensively studied, covering aspects such as propeller loads during ship sailing and turning [18,19], propeller behavior under challenging off-design operational conditions [20,21], scale effects on hydrodynamic performance [22], wake evolution dynamics [23], and propeller cavitation [24], research on multi-propeller systems remains comparatively limited. Existing studies on multi-propeller configurations have either focused narrowly on specific propeller arrangements or prioritized propeller-hull interaction effects. Consequently, there are relatively few studies that specifically examine the transverse and longitudinal distribution of positions, as well as the characteristics of the interacting flow field in multi-propeller configurations, which significantly affect their hydrodynamic performance. In this paper, numerical simulations are performed using an in-house viscous CFD code to investigate the interactions within a two-propeller configuration. The simulations employ the URANS method with the SST k-ω turbulence model and a structured overset grid approach. Firstly, standardized verification and validation studies are conducted to demonstrate the reliability of the numerical method. Subsequently, two KP505 propellers are simulated in 45 different arrangements, with transverse and longitudinal spacing ranging from 0 to 1.6 and 0.5 to 4 times the propeller diameter, respectively. The effects of these arrangements on the hydrodynamic performance of both the front and rear propellers, as well as the characteristics of the flow field interactions, are analyzed. Finally, by comparing the propulsion efficiency of the two-propeller configuration with that of a single propeller, the optimal arrangement for two propellers in a multi-propeller system is proposed.
The paper is organized as follows: Section 2 provides a detailed description of the propeller model, numerical theories, computational domain, and grid distribution employed in the present study. In Section 3, the numerical method is verified through standard grid/time-step convergence studies, and it is validated against relevant experimental data. Section 4 outlines the simulation conditions and presents the simulation results for various transverse and longitudinal spacings, along with a discussion of the interaction characteristics between the two propellers. Finally, the conclusions are drawn in Section 5.
2. Materials and Methods
2.1. The Geometry of the KP505 Propeller
As shown in Figure 1, two identical KP505 propellers are selected as the simulation models, the open-water experimental data of KP505 can been found in the Tokyo CFD Workshop (2015) [25]. The details of the KP505 propeller are presented in Table 1.
Figure 1.
The geometry of KP505 propeller.
Table 1.
The details of KP505 propeller.
2.2. Numerical Method
URANS and continuity equations are employed as the governing equations, which can be defined as:
where and (i = 1, 2, and 3) are the time averaged and fluctuation velocities component, respectively; is the density; p is the time averaged pressure; is the dynamic viscosity and is the Reynolds stress term. To compute the Reynolds stress term and close the governing equations, a two-equation SST turbulent model, proposed by Menter [26], is applied as the turbulence model. The model has advantages in predicting adverse pressure gradients and demonstrates good robustness to inlet conditions. The in-house CFD code discretizes the governing equations using the finite difference method, and the PISO algorithm is employed to solve the velocity-pressure coupling equation [27]. Details of the numerical method can be found in the research [28,29].
2.3. Computational Domain and Boundary Conditions
As shown in Figure 2, the computational domain extends from −6D to 12D along the X-axis, −6D to 6D along the Y-axis, and −6D to 6D along the Z-axis (where D is the diameter of the propeller). The inlet and outlet along the X-axis are set as velocity inlet and pressure outlet boundary conditions, respectively. The two side boundaries and the top are assigned as zero pressure gradient conditions, while the bottom of the domain is set as a zero pressure condition.
Figure 2.
Computational domain and boundary conditions.
2.4. Overset Grid Method
The dynamic overset grid method is applied in the simulations. The main procedures of the in-house overset grid code include hole-digging, point-searching, and interpolation. The hole-mapping method [30] coupled with the cut-paste algorithm [31] is used to identify the hole nodes and remove unnecessary cells prior to computation. The ADT algorithm is employed to search for the donor nodes of the interpolation points. Computational information between the donor points and interpolation points is obtained using the trilinear interpolation method [32]. The dynamic overset grid technique has been employed in numerous propeller-related simulations [33,34].
The structured overset grid method is applied for both grid generation and propeller rotation simulations. As shown in Figure 3, the computational grids consist of background grids, refined grids, and model grids. To better capture the detailed flow field around the propeller, the refinement regions are carefully defined to suit different simulation conditions, details of the mesh distribution are illustrated in Figure 4.
Figure 3.
Different components of grids.
Figure 4.
Grid distribution of different components.
The near-wall mesh height is set appropriately to meet the requirements of the chosen turbulence models, as shown in Figure 5, the nondimensional wall distance Y+ distribution on the propeller surface is generally less than 0.5.
Figure 5.
Y+ on the propeller surface.
Both surface and volume grid overset techniques are applied, as shown in Figure 6.
Figure 6.
Grids before and after overset: (a) Before overset; (b) After overset.
3. Verification and Validation
Before conducting the multi-propeller simulations, the present numerical method has been verified and validated. In this study, the thrust and torque coefficients for the propeller model are analyzed. The following coefficients are defined:
Advance coefficient:
Thrust and torque coefficient:
Open-water efficient:
where U0 is the inflow velocity, n is the rotation speed, T is the thrust, and Q is the torque.
And the pressure coefficient CP is defined as:
where Pd is the dynamic pressure.
The working condition of J = 0.8 for the KP505 propeller has been chosen for the numerical reliability analysis. According to the verification and validation (V&V) guidelines established by ASME [35,36], the V&V procedures mainly consist of two parts: verification for numerical uncertainty and validation based on experimental data.
3.1. Verification of the Numerical Uncertainty
Verification is defined as a procedure for assessing numerical uncertainty , which consists of the iteration uncertainty , time step uncertainty , and the grid space uncertainty . The in-house CFD code has been validated through numerous simulations [37,38], and the iteration uncertainty is considered negligible. Therefore, two main aspects of numerical uncertainty are addressed here: the time step uncertainty and the grid space uncertainty . The numerical uncertainty is defined as:
According to the convergence study method proposed by Stern et al. [39] and Xing et al. [40], a minimum of three solutions in different grids and time-steps should be used in the convergence studies. Three sets of grids are shown in Figure 7 and Table 2, and the refinement ratio between solutions is assumed as:
where (i = 1, 2, and 3) are the coarse, medium, and fine grids or time steps, respectively.
Figure 7.
Three sets of grids: (a) Coarse grids; (b) Medium grids; (c) Fine grids.
Table 2.
Dimensions of three grid cases.
And are the results corresponding to . The changes between different solutions are and . The convergence ratio R is defined as:
There are three convergence situations according to different R values:
- (1)
- Monotonic convergence (MC): 0 < R < 1
- (2)
- Oscillatory convergence (OC): R < 0
- (3)
- Divergence: R > 1
When 0 < R < 1, monotonic convergence is achieved, the Richardson extrapolation method can be applied to estimate the numerical error and order of accuracy :
The distance metric PDM is given as:
where = 2. Eventually, the factor of safety method is acquired as:
The coarse, medium, and fine grids consist of 1.41 million, 3.96 million, and 11.05 million grid nodes, respectively. Time steps are set to 0.004, 0.002 and 0.001 s, corresponding to 4, 2 and 1 degrees of propeller rotation per time step, respectively. The refinement ratio for grid spacing and for time steps are selected to estimate the numerical uncertainty. The KP505 simulations with different grids and time steps are based on the medium time step and grid nodes, respectively. The results are listed in Table 3 and Table 4.
Table 3.
Thrust and torque coefficients results of different grids.
Table 4.
Thrust and torque coefficients results of different time steps.
As shown in Table 5, the uncertainties of the propeller thrust and torque for the grid spacing are 4.085%E and 3.714%E, while those for the time step are 0.982%E and 1.759%E (E denotes the experimental data). Both the propeller thrust and torque are more sensitive to grid spacing.
Table 5.
Thrust and torque coefficients numerical uncertainties results.
3.2. Validation Based on Experimental Data
The error W is defined as the difference between experimental data E and numerical results S:
W = E − S
And the validation uncertainty UV is given by:
The comparison error W is compared with the validation uncertainty UV, if < UV, then the validation is considered to have been achieved at the UV level. Since the experimental uncertainty UD of the thrust and torque of the KP505 propeller cannot be found in the reference, it is assumed to be 1.00%E. As shown in Table 6, the computation results are validated at the UV level.
Table 6.
Thrust and torque coefficients validation study results.
4. Results and Discussion
4.1. Open-Water Characteristics of KP505 Propeller
The open-water performance of the KP505 propeller is computed and analyzed prior to investigating the flow interaction between two propellers. The simulation results and experimental data are presented in Table 7.
Table 7.
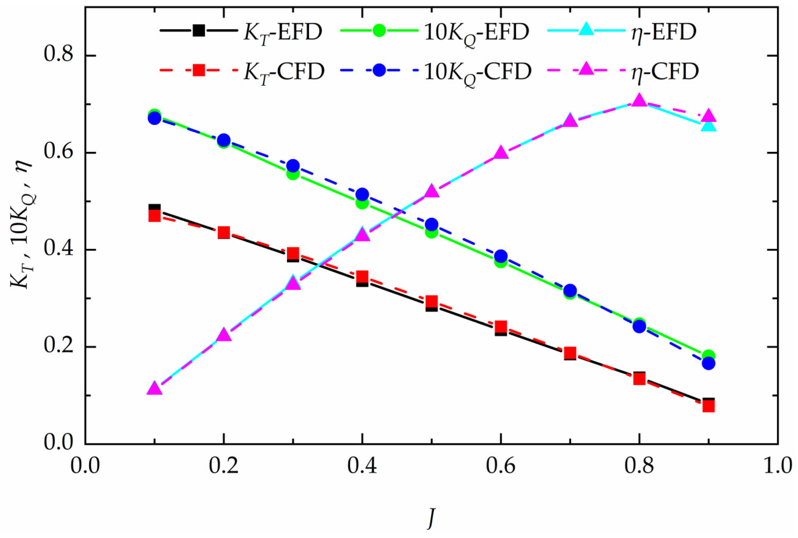
Comparison of the KT, 10KQ, and η between CFD and EFD data.
Except for J = 0.9, which exhibits relatively large discrepancies between CFD and EFD data, the errors for the other advance coefficients remain within 4%. The open-water characteristics curve is plotted in Figure 8. Overall, the computational results align well with the EFD data.
Figure 8.
Open-water characteristics of KP505 propeller.
The advance coefficient J = 0.8 (corresponding to U0 = 2.8 m/s, n = 14 rps, and D = 0.25 m), utilized in Verification and Validation, has been chosen for the subsequent analysis of propeller interference in the two-propeller configuration.
4.2. Simulation Conditions of the Two-Propeller Configuration
To investigate the effect of various arrangements on the hydrodynamic performance of two KP505 propellers, a total of 45 simulation conditions have been established.
The transverse spacing (TS) ranges from 0 to 1.6D, while the longitudinal spacing (LS) varies from 0.5D to 4D (where D represents the propeller diameter). The spacing between the front and rear propellers in both the transverse and longitudinal directions is defined in Figure 9. The specific layout is detailed in Table 8.
Figure 9.
Definition of the transverse spacing (TS) and longitudinal spacing (LS).
Table 8.
Propellers arrangement of different conditions.
4.3. The Effect of Different Layout on the Front Propeller
The thrust and torque coefficients of the front propeller under different simulation conditions are presented in Table 9 and Table 10. It can be observed that the variations in the thrust and torque coefficients of the front propeller under different operating conditions are relatively minor. Among the 45 arrangements analyzed, the maximum differences in the thrust and torque coefficients of the front propeller are approximately 6% and 3% (C1), respectively, when compared to those of the single KP505 propeller. Except for cases at LS = 0.5D and 1D, where variations in KT and KQ under certain transverse spacings are more pronounced, the amplitudes of the thrust and torque coefficients remain largely consistent under other operating conditions.
Table 9.
The KT of the front propeller in different conditions.
Table 10.
The 10KQ of the front propeller in different conditions.
When LS = 0.5D, the blade surfaces of the front and rear propellers are in close proximity along the longitudinal direction. The flow field around the front propeller is disrupted by the rotational turbulence generated by the rear propeller.
The influence of the rear propeller can initially be positive but it may turn negative as the transverse spacing increases. As depicted in Figure 10 and Figure 11, both the thrust and torque coefficients are greater at TS = 0 and TS = 0.2D, but lower at TS = 0.6D and TS = 0.8D, compared to the values for a single KP505 propeller.
Figure 10.
The KT of the front propeller in different arrangements and single KP505 propeller.
Figure 11.
The 10KQ of the front propeller in different arrangements and single KP505 propeller.
The axial velocity distributions at the front propeller plane under different operation-al conditions are presented in Figure 12. When influenced by the rear propeller, the axial velocity distribution on the front propeller plane exhibits distinct variations: at TS = 0, a relatively large reduction is observed compared to the single KP505 propeller, while at TS = 0.8D, the distribution demonstrates slightly enhanced axial velocity characteristics. The velocity improvement in Figure 12c is more evident in the right-side region of the propeller plane, where the flow field undergoes direct interaction with the rear propeller, as illustrated in Figure 13.
Figure 12.
Comparison of axial velocity distributions between the front propeller plane under different conditions and a single propeller plane (a) C1 (TS = 0, LS = 0.5D); (b) Single propeller; (c) C21 (TS = 0.8D, LS = 0.5D).
Figure 13.
The axial velocity distribution on the XOY plane of the flow field at C21 (TS = 0.8D, LS = 0.5D).
Under a constant propeller rotation speed n and diameter D, the elevated axial velocity corresponds to an increased advance coefficient J, thereby reducing the hydrodynamic performance of the propeller. Conversely, a reduced axial velocity induces higher propeller loads. Therefore, both the thrust and torque coefficients increase at TS = 0 but decrease at TS = 0.8D. The corresponding coefficients at TS = 0 and TS = 0.8D achieve their maximum and minimum values, respectively. Specifically, the thrust coefficient of the front propeller surpasses the KT of the single KP505 propeller by 5.97% at TS = 0, while diminishing by 3.73% at TS = 0.8D.
Furthermore, alterations in axial velocity distribution correspondingly modify the surface pressure characteristics of the front propeller. At TS = 0, these pressure distributions exceed those observed in the single KP505 propeller configuration, whereas at TS = 0.8D, they demonstrate marked reduction. This comparative behavior is clearly illustrated in Figure 14. The effect of the rear propeller eventually becomes negligible when TS exceeds 1D, with thrust and torque coefficient deviations remaining within 3% relative to the single KP505 propeller.
Figure 14.
Pressure distributions on the front propeller surfaces at C1 and C21, compared to those of a single KP505 propeller: (a) C1 (TS = 0, LS = 0.5D); (b) Single propeller; (c) C21 (TS = 0.8D, LS = 0.5D).
When LS = 1D, the variation trends of the thrust and torque coefficients resemble those observed at LS = 0.5D. However, as the longitudinal distance between the propellers increases, the interaction effect from the rear propeller weakens. The maximum differences in thrust and torque coefficients compared to those of a single KP505 propeller are 2.24% and 1.24%, respectively. Consequently, the peak values of the thrust and torque coefficients are lower than those recorded at LS = 0.5D.
When LS > 1D, the interference from the rear propeller decreases significantly, and the thrust and torque coefficients of the front propeller are almost the same as those of a single propeller.
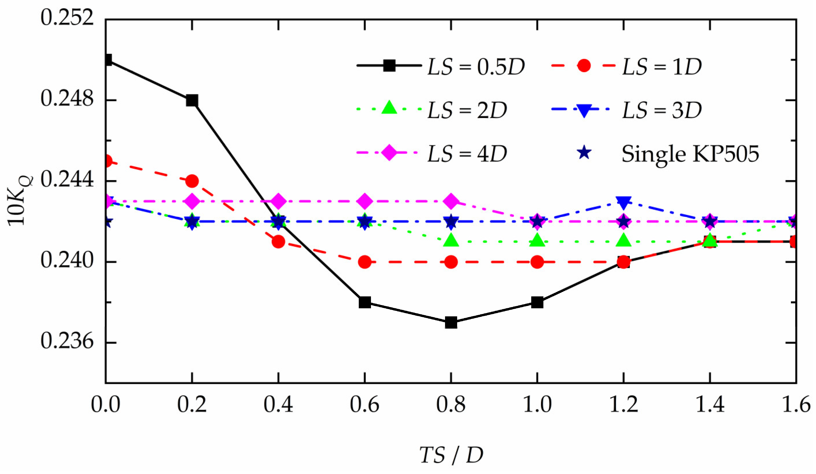
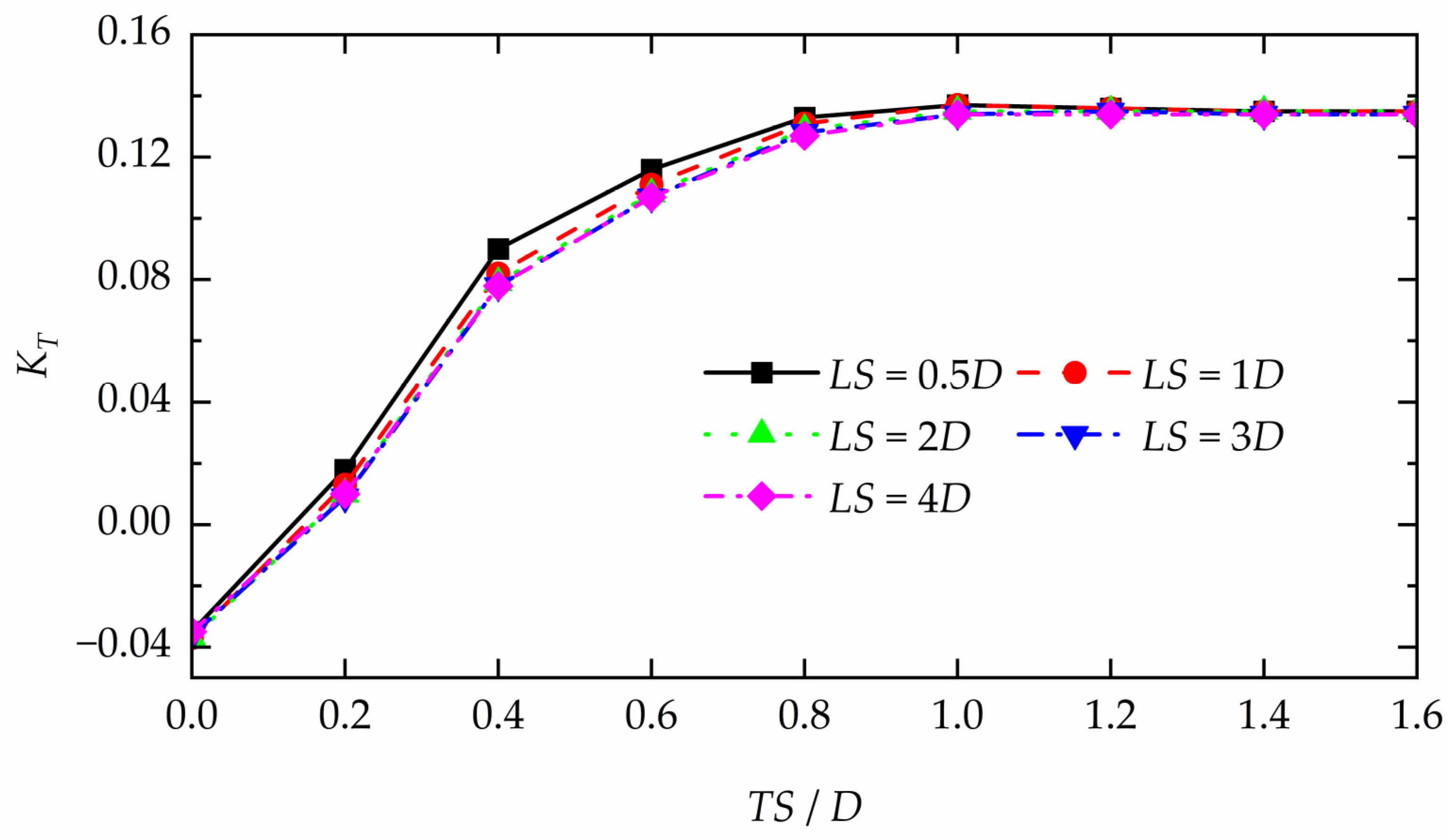
4.4. The Effect of Different Layout on the Rear Propeller
The thrust and torque coefficients of the rear propeller under different simulation conditions are presented in Table 11 and Table 12, with the corresponding values plotted in Figure 15 and Figure 16.
Table 11.
The KT of the rear propeller in different conditions.
Table 12.
The 10KQ of the rear propeller in different conditions.
Figure 15.
The KT of the rear propeller in different arrangements.
Figure 16.
The 10KQ of the rear propeller in different arrangements.
According to the data presented in Figure 15 and Figure 16, variations in rear propeller thrust and torque coefficients with respect to different longitudinal spacings (ranging from 0.5D to 4D) are negligible when the transverse spacing is held constant. This insensitivity can be attributed to the minimal attenuation of flow velocity within the wake field of the front propeller as it propagates downstream, which can be observed from Figure 17, Figure 18 and Figure 19.
Figure 17.
The axial velocity of the KP505 propeller wake at different longitudinal positions.
Figure 18.
The axial velocity distributions on the rear propeller plane at different longitudinal spacings: (a) C2 (TS = 0, LS = 1D; (b) C5 (TS = 0, LS = 4D).
Figure 19.
The tangential velocity distributions on the rear propeller plane at different longitudinal spacings: (a) C2 (TS = 0, LS = 1D; (b) C5 (TS = 0, LS = 4D).
Figure 17 indicates that the rear propeller experiences only slight perturbations in axial flow velocity at various longitudinal positions within 4D. Figure 18 and Figure 19 demonstrate the axial and tangential velocity distributions on the rear propeller plane for LS = 1D and 4D, respectively. It is evident that the axial velocity exhibits nearly identical distributions, while the tangential velocity shows only a slight decay between LS = 1D and LS = 4D. Therefore, the thrust and torque coefficients of the rear propeller remain largely unaffected by longitudinal spacing when LS is less than 4D.
As for the different transverse spacings, when the transverse spacing between the two propellers is small (TS < 0.6D), the thrust and torque coefficients of the rear propeller are significantly reduced due to the interference from the front propeller. As shown in Figure 18, Figure 19, Figure 20 and Figure 21, both the axial and tangential velocity distributions on the rear propeller plane at TS = 0 (Figure 18a and Figure 19a) and 0.4D (Figure 20a and Figure 21a) are considerably greater than those of a single KP505 propeller in Figure 20c and Figure 21c. An increased onset flow velocity deteriorates the hydrodynamic performance of the rear propeller, as discussed in Section 4.3. Furthermore, according to blade element theory [37,41], the fundamental parameters are defined as follows:
Figure 20.
Comparison of axial velocity distributions between the rear propeller plane under different conditions and a single propeller plane (a) C12 (TS = 0.4D, LS = 1D); (b) C27 (TS = 1D, LS = 1D); (c) Single propeller.
Figure 21.
Comparison of tangential velocity distributions between the rear propeller plane under different conditions and a single propeller plane (a) C12 (TS = 0.4D, LS = 1D); (b) C27 (TS = 1D, LS = 1D); (c) Single propeller.
Hydrodynamic pitch angle βi:
Pitch angle θ:
The angle of attack :
where U (axial) and Ut (tangential) denote instantaneous velocities incorporating induced components derived from CFD results, with P representing the propeller pitch.
When the transverse spacing between propellers is minimized, both the axial velocity U and the tangential velocity Ut of the rear propeller are elevated compared to the single KP505 propeller. This increase induces an increased hydrodynamic pitch angle βi, ultimately reducing the angle of attack . Within the practical operational range (characterized by small angle of attack values), the lift coefficient CL exhibits approximate linear proportionality to the angle of attack , while the drag coefficient [37,42]. The concurrent decrease of CL and CD, with diminishing , directly correlates with observed reductions in thrust and torque coefficients under minimal transverse spacing conditions. Particularly at TS = 0, the rear propeller is entirely immersed within the high-velocity wake generated by the front propeller, as visualized in Figure 22a. This arrangement induces severely elevated inflow velocities, resulting in negative thrust coefficients for the rear propeller as demonstrated in Table 11 and Figure 15.
Figure 22.
Comparison of the axial velocity distribution on the XOY plane and the pressure distribution on the propeller surface under different conditions (a) C2 (TS = 0, LS = 1D); (b) C12 (TS = 0.4D, LS = 1D); (c) C27 (TS = 1D, LS = 1D).
Figure 22b presents the flow field and pressure distribution on the rear propeller at condition C12 (TS = 0.4D). Due to partial interaction with the high-speed inflow from the front propeller, the axial velocity within the right-hand quadrant of the XOY section obviously exceeds values observed on the left side. Simultaneously, the pressure magnitudes on the right side demonstrate marked reduction compared to the left region. These asymmetric patterns align with the detailed velocity and pressure characteristics documented in Figure 20a and Figure 23b.
Figure 23.
Pressure distribution on the rear propeller surface under different conditions: (a) C2 (TS = 0, LS = 1D); (b) C12 (TS = 0.4D, LS = 1D); (c) C27 (TS = 1D, LS = 1D).
Figure 23 presents the pressure distributions on the surface of the rear propeller under different conditions. Due to the high-speed axial inflow velocity, the pressure distributions on the rear propeller are higher on the suction side while lower on the pressure side (Figure 23a,b) compared to those of the single KP505 propeller (Figure 14b). The reduction in the pressure difference between the pressure and suction sides also accounts for the reduction in the hydrodynamic loads of the rear propeller.
The impact of the front propeller gradually reduced as the transverse distance between the two propellers increases. The interference from the front propeller becomes negligible while the transverse spacing exceeds 0.8D. As illustrated in Figure 22c, the wake of the front propeller exhibits minimal interaction with the rear propeller at TS = 1D, both the axial velocity and pressure distributions of the two propellers are nearly identical. Furthermore, at TS = 1D, the velocity and pressure distributions of the rear propeller closely resemble those of the single KP505 propeller, as depicted in Figure 20b, Figure 21b and Figure 23c. Simultaneously, the thrust and torque coefficients of the rear propeller are almost identical to those of the single KP505 propeller.
4.5. The Effect of Different Layout on the Total Performance of the Two-Propeller Configuration
The total thrust and torque coefficients for the two-propeller configuration under various arrangements are shown in Figure 24 and Figure 25. For the two-propeller configuration investigated in this study, the interaction effect is primarily manifested in the impact of the front propeller wake on the hydrodynamic performance of the rear propeller, while the rear propeller has a relatively small influence on the front propeller. Consequently, the variation trends of the total thrust and torque coefficients are almost identical to those of the rear propeller.
Figure 24.
The total KT of the two-propeller configuration in different arrangements.
Figure 25.
The total 10KQ of the two-propeller configuration in different arrangements.
The comparison of propulsion efficiency between the two-propeller configuration in various arrangements and the single KP505 propeller is presented in Figure 26. The efficiency is also more sensitive to the transverse spacing, while the effect of the longitudinal spacing remains relatively constant. Propulsion efficiency increases with greater transverse spacing between the propellers.
Figure 26.
The total efficiency of the two-propeller configuration in different arrangements.
For transverse spacing values exceeding TS = 0.2D, the two-propeller configuration produces higher combined thrust than the single propeller configuration (Figure 24). However, to achieve double the thrust output of the single KP505 propeller, the transverse spacing of the two-propeller configuration should be at least TS ≥ 1D. Notably, this system attains peak efficiency comparable to the single KP505 propeller when TS ≥ 1D. Therefore, to ensure optimal thrust and efficiency of the two-propeller configuration, the transverse spacing between the two propellers should be maintained at no less than 1D.
5. Conclusions
In this paper, the interaction characteristics of a two-KP505 propeller configuration in various arrangements are studied using a URANS code. The hydrodynamic performance and flow field characteristics of the two propellers, with transverse spacing ranging from 0 to 1.6D and longitudinal spacing ranging from 0.5D to 4D, are calculated and analyzed.
The results indicate that, for the two-propeller configuration investigated in this study, the interaction between propellers is predominantly characterized by the high-speed wake generated by the upstream propeller, which significantly affects the hydrodynamic performance of the downstream propeller. In contrast, the effect of the downstream propeller on the upstream propeller is relatively minor.
For the front propeller, the performance of the front propeller is primarily influenced by the rear propeller when they are in close proximity. According to the results, limited interaction occurs when both the transverse and longitudinal spacing are less than one times the diameter of the propeller. The differences in the thrust and torque coefficients of the front propeller are all within 6% when compared to those of the single KP505 propeller.
For the rear propeller, the wake of the front propeller exhibits minimal velocity decay across longitudinal spacings ranging from 0.5D to 4D. Consequently, variations in longitudinal spacing within this range have insignificant effects on the hydrodynamic performance of the rear propeller. The rear propeller is more sensitive to changes in transverse spacing. When the transverse spacing between the two propellers is small, the rear propeller experiences substantial influence from the high-velocity inflow induced by the front propeller. This flow interaction induces three concurrent effects: (1) accelerated onset flow velocity across the propeller disk, (2) diminished blade angle of attack (), and (3) reduced pressure difference on the propeller surfaces, collectively resulting in reductions in thrust output and torque generation. The influence of the front propeller progressively diminishes with increasing transverse spacing, becoming negligible when the spacing exceeds 0.8 times the diameter of the propeller.
The variation trend of the total thrust and torque coefficients for the two-propeller configuration closely resembles that of the rear propeller. Propulsion efficiency improves as the transverse spacing between the propellers increases. The two-propeller configuration can generate greater combined thrust than the single KP505 propeller while TS > 0.2D. However, to ensure optimal overall propulsion efficiency, the longitudinal spacing can be increased while maintaining a transverse spacing of not less than one times the propeller diameter.
For future studies, multiple advance coefficients will be considered, as the current research is based on a single J = 0.8. Thus, a more comprehensive investigation of the propeller interference characteristics under different arrangement forms for varying advance coefficients can be conducted.
Author Contributions
Data curation, X.W.; Formal analysis, D.F.; Funding acquisition, D.F. and C.Y.; Investigation, Z.C.; Methodology, D.F.; Project administration, Y.M.; Resources, D.F.; Software, X.W., D.F. and C.Y.; Supervision, D.F. and C.Y.; Validation, Y.M. and Z.C.; Visualization, X.W.; Writing—original draft, X.W.; Writing—review and editing, D.F. and C.Y. All authors have read and agreed to the published version of the manuscript.
Funding
This research was funded by the YEQISUN Joint Funds of the National Science Foundation of China (Grant No. U2141228), the National Natural Science Foundation of China (Grant No. 52071148), and Special Study on Civil aircraft of Ministry of Industry and Information Technology (MJZ5-3N21-1). The APC was funded by U2141228. The essential supports are greatly acknowl-edged.
Data Availability Statement
The original contributions presented in this study are included in the article. Further inquiries can be directed to the corresponding author.
Conflicts of Interest
The authors declare no conflicts of interest.
References
- Djahida, B.; Omar, I. Impact of some geometrical aspects on the tandem co-rotating propeller hydrodynamic characteristics. Brodogradnja 2017, 68, 107–123. [Google Scholar] [CrossRef][Green Version]
- Güngör, E.; Özdemir, I.B. Prediction of Noise and Acoustical Spectrum of Counter-Rotating Propellers. J. Ship Res. 2018, 62, 166–182. [Google Scholar] [CrossRef]
- Cui, Y.; Lam, W.H.; Robinson, D.; Hamill, G. Temporal and spatial scour caused by external and internal counter-rotating twin-propellers using Acoustic Doppler Velocimetry. Appl. Ocean Res. 2020, 97, 102093. [Google Scholar] [CrossRef]
- Liu, Y.; Gong, Q. Numerical investigation on the flow characteristics and hydrodynamic performance of tandem propeller. Appl. Ocean Res. 2020, 101, 102292. [Google Scholar] [CrossRef]
- Yao, H.; Liu, Y.; Zhang, H.; Zhang, Q. Numerical investigation on hydrodynamic performance of new canard-configuration tandem propellers. Appl. Ocean Res. 2020, 104, 102374. [Google Scholar] [CrossRef]
- Yao, H.; Liu, Y.; Zhang, H.; Zhang, Q. Comparative study on hydrodynamic performance and induced pressure of new canard tandem propellers and conventional propellers. Ocean Eng. 2021, 221, 108566. [Google Scholar] [CrossRef]
- Chavan, S.A.; Bhattacharyya, A.; Sha, O.P. Open water performance of B-Series marine propellers in tandem configurations. Ocean Eng. 2021, 242, 110158. [Google Scholar] [CrossRef]
- Pereira, F.A.; Capone, A.; Felice, F.D. Flow field and vortex interactions in the near wake of two counter-rotating propellers. Appl. Ocean Res. 2021, 117, 102918. [Google Scholar] [CrossRef]
- Capone, A.; Felice, F.D.; Pereira, F.A. On the flow field induced by two counter-rotating propellers at varying load conditions. Ocean Eng. 2021, 221, 108322. [Google Scholar] [CrossRef]
- Jiang, H.; Wu, O.; Sheng, C.; Lan, J.; Bucknall, R. Numerical investigation on hydrodynamic performance of a novel shaftless rim-driven counter-rotating thruster considering gap fluid. Appl. Ocean Res. 2022, 118, 102967. [Google Scholar] [CrossRef]
- Cozijn, J.L.; Hallmann, R. Thruster-Interaction Effects on a DP Semi-Submersible and a Drill Ship: Measurement and Analysis of the Thruster Wake Flow. In Proceedings of the ASME 2013 32nd International Conference on Ocean, Offshore and Arctic Engineering, Nantes, France, 9–14 June 2013. [Google Scholar]
- Bi, J.Y.; Zong, Z. Model Test of Influence of Propeller Arrangements Aboard a Four Propeller Boat. ASME. J. Offshore Mech. Arct. Eng. 2013, 135, 021101. [Google Scholar] [CrossRef]
- Zong, Z.; Hong, Z.; Zhang, H.; Sahoo, P.K. An investigation of load change of propeller in a four-propulsion vessel using CFD. J. Mar. Sci. Technol. 2018, 23, 122–131. [Google Scholar] [CrossRef]
- Sun, S.; Chang, X.; Guo, C.; Zhang, H.; Wang, C. Numerical investigation of scale effect of nominal wake of four-screw ship. Ocean Eng. 2019, 183, 208–223. [Google Scholar] [CrossRef]
- Sun, S.; Chang, X.; Wang, W.; Guo, C.; Zhang, H. Numerical simulation of wake field and propulsion performance in a four-screw ship. Ocean Eng. 2019, 186, 106092. [Google Scholar] [CrossRef]
- Zhou, B.; Zhao, M. Numerical simulation of thruster-thruster interaction for ROV with vector layout propulsion system. Ocean Eng. 2020, 210, 107542. [Google Scholar] [CrossRef]
- Yiew, L.J.; Taskar, B.; Jin, Y.; Zheng, Y.; Liu, D.; Magee, A.R. Experimental and numerical investigations on coupled thruster and hull interactions for a benchmark ASD tug. Appl. Ocean Res. 2022, 120, 103072. [Google Scholar] [CrossRef]
- Ortolani, F.; Dubbioso, G. Experimental investigation of single blade and propeller loads by free running model test. Straight ahead sailing. Appl. Ocean Res. 2019, 87, 111–129. [Google Scholar] [CrossRef]
- Ortolani, F.; Dubbioso, G. Experimental investigation of blade and propeller loads: Steady turning motion. Appl. Ocean Res. 2019, 91, 101874. [Google Scholar] [CrossRef]
- Yurtseven, A.; Aktay, K. The numerical investigation of spindle torque for a controllable pitch propeller in feathering maneuver. Brodogradnja 2023, 74, 74205. [Google Scholar] [CrossRef]
- Ortolani, F.; Capone, A.; Dubbioso, G.; Pereira, F.A.; Maiocchi, A.; Felice, F.D. Propeller performance on a model ship in straight and steady drift motions from single blade loads and flow field measurements. Ocean Eng. 2020, 197, 106881. [Google Scholar] [CrossRef]
- Grlj, C.G.; Degiuli, N.; Farkas, A.; Martić, I. Numerical Study of Scale Effects on Open Water Propeller Performance. J. Mar. Sci. Eng. 2022, 10, 1132. [Google Scholar] [CrossRef]
- Zhang, Z.; Sun, P.; Pan, L.; Zhao, T. On the propeller wake evolution using large eddy simulations and physics-informed space-time decomposition. Brodogradnja 2024, 75, 75102. [Google Scholar] [CrossRef]
- Lungu, A. Numerical simulation of the cavitating KP505 propeller working in open water conditions. IOP Conf. Ser. Mater. Sci. Eng. 2018, 400, 042035. [Google Scholar] [CrossRef]
- Tokyo 2015 CFD Workshop Organizers, 2015. Tokyo 2015 CFD Workshop Website. Available online: https://t2015.nmri.go.jp/kcs_gc.html (accessed on 15 May 2024).
- Menter, F.R. Two-equation eddy-viscosity turbulence models for engineering applications. AIAA J. 1994, 32, 1598–1605. [Google Scholar] [CrossRef]
- Paterson, E.; Wilson, R.; Stern, F. General-Purpose Parallel Unsteady RANS Ship Hydrodynamics Code: CFDSHIP-IOWA; Iowa Institute of Hydraulic Research: Iowa City, IA, USA, 2003. [Google Scholar]
- He, T.; Feng, D.; Liu, L.; Wang, X.; Jiang, H. CFD Simulation and Experimental Study on Coupled Motion Response of Ship with Tank in Beam Waves. J. Mar. Sci. Eng. 2022, 10, 113. [Google Scholar] [CrossRef]
- Dong, K.; Wang, X.; Zhang, D.; Liu, L.; Feng, D. CFD Research on the Hydrodynamic Performance of Submarine Sailing near the Free Surface with Long-Crested Waves. J. Mar. Sci. Eng. 2022, 10, 90. [Google Scholar] [CrossRef]
- Li, T.; Yan, C.; Li, Y. Investigation and enhancement of cut-paste algorithm in overlapping grid. J. Beijing Univ. Aeronaut. Astronaut. 2005, 31, 402–406. [Google Scholar]
- Cho, K.W.; Kwon, J.H.; Lee, S. Development of a fully systemized chimera methodology for steady/unsteady problems. J. Aircr. 1999, 36, 973–980. [Google Scholar] [CrossRef]
- Bonet, J.; Peraire, J. An alternating digital tree (ADT) algorithm for 3D geometric searching and intersection problems. Int. J. Numer. Methods Eng. 1991, 31, 1–17. [Google Scholar] [CrossRef]
- Feng, D.; Yu, J.; He, R.; Zhang, Z.; Wang, X. Free running computations of KCS with different propulsion models. Ocean Eng. 2020, 214, 107563. [Google Scholar] [CrossRef]
- Yu, J.; Yao, C.; Liu, L.; Zhang, Z.; Feng, D. Assessment of full-scale KCS free running simulation with body-force models. Ocean Eng. 2021, 237, 109570. [Google Scholar] [CrossRef]
- AMSE. Standard for Verification and Validation in Computational FLUID Dynamics and Heat Transfer-ASME V & V 20-2009; The American Society of Mechanical Engineers: New York, NY, USA, 2009. [Google Scholar]
- AMSE. Multivariate Metrics-Supplement 1 of ASME V & V 20-2009; The American Society of Mechanical Engineers: New York, NY, USA, 2016. [Google Scholar]
- Feng, D.; Yu, J.; He, R.; Zhang, Z.; Wang, X. Improved body force propulsion model for ship propeller simulation. Appl. Ocean Res. 2020, 104, 102328. [Google Scholar] [CrossRef]
- Yu, J.; Feng, D.; Liu, L.; Yao, C.; Wang, X. Assessments of propulsion models for free running surface ship turning circle simulations. Ocean Eng. 2022, 250, 110967. [Google Scholar] [CrossRef]
- Stern, F.; Wilson, R.V.; Coleman, H.W.; Paterson, E.G. Comprehensive Approach to Verification and Validation of CFD Simulations—Part 1: Methodology and Procedures. ASME. J. Fluids Eng. 2001, 123, 793–802. [Google Scholar] [CrossRef]
- Xing, T.; Stern, F. Factors of safety for Richardson extrapolation. J. Fluids Eng. 2010, 132, 061403. [Google Scholar] [CrossRef]
- Tokgoz, E. A CFD Study on the Propeller-Hull Interaction Flow in Waves Using Body-Force Distribution Model. Doctoral Dissertation, Osaka University, Osaka, Japan, 2015. [Google Scholar]
- Newman, J.N. Marine Hydrodynamics; MIT Press: Cambridge, MA, USA, 1977; p. 402. [Google Scholar]
Disclaimer/Publisher’s Note: The statements, opinions and data contained in all publications are solely those of the individual author(s) and contributor(s) and not of MDPI and/or the editor(s). MDPI and/or the editor(s) disclaim responsibility for any injury to people or property resulting from any ideas, methods, instructions or products referred to in the content. |
© 2025 by the authors. Licensee MDPI, Basel, Switzerland. This article is an open access article distributed under the terms and conditions of the Creative Commons Attribution (CC BY) license (https://creativecommons.org/licenses/by/4.0/).

























