A Comparative Analysis of In Situ Testing Methods for Clay Strength Evaluation Using the Coupled Eulerian–Lagrangian Method
Abstract
1. Introduction
2. Numerical Model
2.1. CEL Method
2.2. Geometry and FE Mesh
2.3. Constitutive Model and Material Parameters
2.4. Loading Steps
- (1)
- Initial analysis step: As shown in Figure 1c, the velocity at the bottom boundary of the model was set to zero (), while the normal velocities at the two vertical face boundaries of the quarter-cylinder were also set to zero, corresponding to one vertical face as and the other as . The velocity boundary for the cylindrical surface is defined as . In this step, two predefined fields were established: one assigns the soil material to the Eulerian domain, and the other applies geostatic stress to the soil material portion.
- (2)
- Geostatic analysis step: A body force load was applied across the entire domain to simulate the influence of gravity. During this step, the displacement of the cone and push rod was constrained to prevent interaction with the soil. This constraint is implemented using a reference point, with a rigid body constraint established between the reference point and the conical rod. At the end of this step, the model shows only negligible deformation.
- (3)
- Penetration analysis step: A displacement load was applied to the reference point to drive the probe to the target depth. The displacement load is defined using a tabular amplitude curve to maintain a constant velocity during penetration.
2.5. Methodologies for Strength Interpretation
2.5.1. Vane Shear Test
2.5.2. Cone Penetration Test
2.5.3. Ball and T-bar Penetration Test
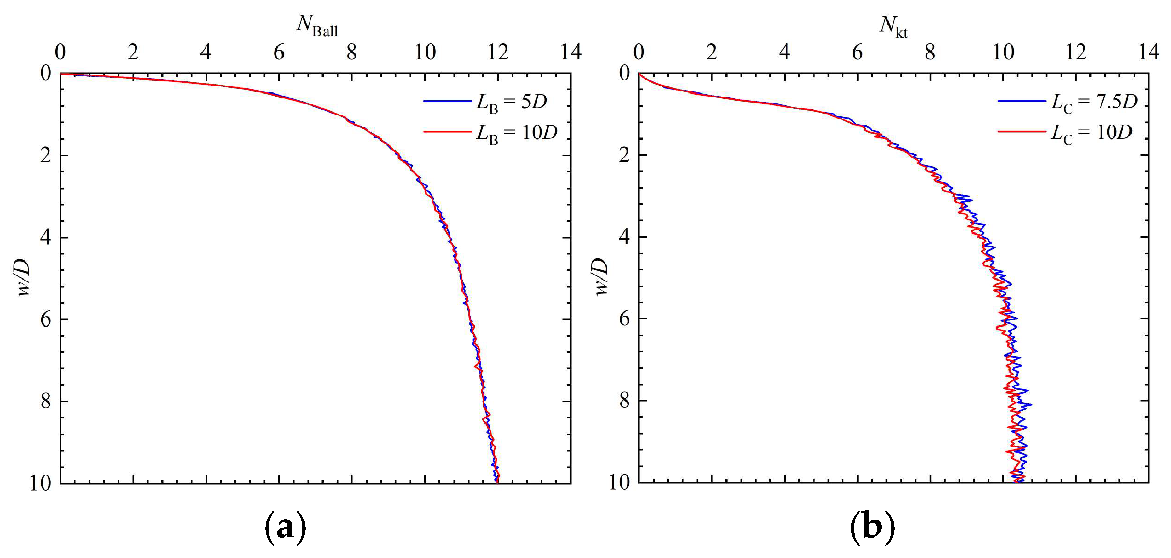
3. Model Validation
4. Results and Discussion
4.1. Shear Failure Process Analysis
4.2. Comparative Analyses of Various Testing Methods

4.3. Analysis of the Softening Effect and Rate Effect Results
5. Conclusions
- (1)
- Model Validation: A systematic evaluation of the FE models for multiple in situ testing methods is performed, focusing on velocity sensitivity, mesh sensitivity, boundary effects, and mass scaling. The results consistently validated the reliability of the simulation framework.
- (2)
- Failure Mechanism Analysis: The CEL method effectively captured distinct failure patterns across different testing methods. In the VST simulation, progressive shear failure of the soil surrounding the vane was observed, accompanied by a geometric transition of the failure surface from square to circular with an increasing torsion angle. Both BPT and TPT simulations demonstrated the characteristic three-phase penetration behavior: cavity initiation, cavity confinement, and full-flow development. The CPT simulation revealed soil displacement around the cone tip, with maximum equivalent plastic strain concentrated along the conical interface.
- (3)
- Interpreted Strength Variations: When neglecting strain softening and rate effects, the interpreted strength values () showed method-dependent variations due to differing shear failure mechanisms. While the VST and CPT exhibited minimal deviation in the ratio of the interpreted values to the initial shear strength, the BPT and TPT underestimated strength by approximately 15% in high-strength soils where full-flow mechanisms failed to develop completely.
- (4)
- Constitutive Effects: The combined consideration of softening and rate effects produced contrasting results across methods. The TPT, BPT, and VST showed slight decreases (4–5%) in interpreted strength, while CPT values increased by 13.5%. This discrepancy stems from the CPT’s reduced sensitivity to cumulative plastic strain effects. When only the softening effect is considered, strain softening had significantly less impact on the CPT (≈0.76–1.00) compared to other methods (≈0.65–0.88) under identical conditions.
Author Contributions
Funding
Data Availability Statement
Conflicts of Interest
References
- Randolph, M.F.; Gaudin, C.; Gourvenec, S.M.; White, D.J.; Boylan, N.; Cassidy, M.J. Recent advances in offshore geotechnics for deep water oil and gas developments. Ocean Eng. 2011, 38, 818–834. [Google Scholar] [CrossRef]
- Wang, Y.; Cassidy, M.J.; Bienen, B. Numerical investigation of bearing capacity of spudcan foundations in clay overlying sand under combined loading. J. Geotech. Geoenviron. Eng. 2020, 146, 04020117. [Google Scholar] [CrossRef]
- Wang, N.; Qi, W.G.; Gao, F.P. Predicting the instability trajectory of an obliquely loaded pipeline on a clayey seabed. J. Mar. Sci. Eng. 2022, 10, 299. [Google Scholar] [CrossRef]
- Stefanow, D.; Dudziński, P.A. Soil shear strength determination methods–State of the art. Soil Tillage Res. 2021, 208, 104881. [Google Scholar] [CrossRef]
- Wroth, C.P. The interpretation of in situ soil tests. Géotechnique 1984, 34, 449–489. [Google Scholar] [CrossRef]
- Low, H.E.; Randolph, M.F. Strength measurement for near-seabed surface soft soil using manually operated miniature full-flow penetrometer. J. Geotech. Geoenviron. Eng. 2010, 136, 1565–1573. [Google Scholar] [CrossRef]
- Ma, H.; Zhou, M.; Hu, Y.; Hossain, M.S. Effects of cone tip roughness, in-situ stress anisotropy and strength inhomogeneity on CPT data interpretation in layered marine clays: Numerical study. Eng. Geol. 2017, 227, 12–22. [Google Scholar] [CrossRef]
- Chung, S.G.; Kim, G.J.; Kim, M.S.; Ryu, C.K. Undrained shear strength from field vane test on busan clay. Mar. Georesour. Geotec. 2007, 25, 167–179. [Google Scholar] [CrossRef]
- Chandler, R.J. The in-situ measurement of the undrained shear strength of clays using the field vane. In Vane Shear Strength Testing in Soils: Field and Laboratory Studies; Richards, A.F., Ed.; ASTM: West Conshohocken, PA, USA, 1988; Volume 1014, pp. 13–44. [Google Scholar]
- Robertson, P.K.; Cabal, K. Guide to Cone Penetration Testing, 7th ed.; Gregg Drilling LLC: Signal Hill, CA, USA, 2022. [Google Scholar]
- Qi, W.G.; Gao, F.P.; Randolph, M.F.; Lehane, B.M. Scour effects on p–y curves for shallowly embedded piles in sand. Géotechnique 2016, 66, 648–660. [Google Scholar] [CrossRef]
- Li, B.; Qi, W.-G.; Wang, Y.; Gao, F.-P.; Wang, S.-Y. Scour-induced unloading effects on lateral response of large–diameter monopiles in dense sand. Comput. Geotech. 2024, 174, 106635. [Google Scholar]
- Fu, S.; Shen, Y.; Jia, X.; Zhang, Z. A novel method for estimating the undrained shear strength of marine soil based on CPTU tests. J. Mar. Sci. Eng. 2024, 12, 1019. [Google Scholar] [CrossRef]
- Lunne, T.; Randolph, M.F.; Chung, S.F.; Andersen, K.H.; Sjursen, M. Comparison of cone and t-bar factors in two onshore and one offshore clay sediments. In Proceedings of the International Symposium on Frontiers in Offshore Geotechnics, Perth, Australia, 1 January 2005; pp. 981–989. [Google Scholar]
- Lunne, T.; Andersen, K.H.; Low, H.E.; Randolph, M.F.; Sjursen, M. Guidelines for offshore in situ testing and interpretation in deepwater soft clays. Can. Geotech. J. 2011, 48, 543–556. [Google Scholar] [CrossRef]
- Randolph, M.F.; Hefer, P.A.; Geise, J.M.; Watson, P.G. Improved seabed strength profiling using T-bar penetrometer. In Proceedings of the International Conference on Offshore Site Investigation and Foundation Behaviour: New Frontiers, London, UK, 22–24 September 1998; pp. 221–235. [Google Scholar]
- Stewart, D.P.; Randolph, M.F. T-bar penetration testing in soft clay. J. Geotech. Eng. 1994, 120, 2230–2235. [Google Scholar] [CrossRef]
- Kelleher, P.J.; Randolph, M.F. Seabed geotechnical characterization with the portable remotely operated drill. In Proceedings of the International Symposium on Frontiers in Offshore Geotechnics, Perth, Australia, 19–21 September 2005; pp. 365–371. [Google Scholar]
- DeJong, J.; Yafrate, N.; DeGroot, D.; Low, H.E.; Randolph, M. Recommended practice for full-flow penetrometer testing and analysis. Geotech. Test. J. 2010, 33, 137–149. [Google Scholar] [CrossRef]
- Liyanapathirana, D.S. Arbitrary Lagrangian Eulerian based finite element analysis of cone penetration in soft clay. Comput. Geotech. 2009, 36, 851–860. [Google Scholar] [CrossRef]
- Zhang, W.; Zou, J.; Zhang, X.; Yuan, W.; Wu, W. Interpretation of cone penetration test in clay with smoothed particle finite element method. Acta Geotech. 2021, 16, 2593–2607. [Google Scholar] [CrossRef]
- Ansari, Y.; Pineda, J.; Kouretzis, G.; Sheng, D. Experimental and numerical investigation of rate and softening effects on the undrained shear strength of Ballina clay. Aust. Geomech. J. 2014, 49, 51–58. [Google Scholar]
- White, D.J.; Gaudin, C.; Boylan, N.; Zhou, H. Interpretation of t-bar penetrometer tests at shallow embedment and in very soft soils. Can. Geotech. J. 2010, 47, 218–229. [Google Scholar] [CrossRef]
- Zhou, M.; Hossain, M.S.; Hu, Y.; Liu, H. Behaviour of ball penetrometer in uniform single-and double-layer clays. Géotechnique 2013, 63, 682–694. [Google Scholar] [CrossRef]
- Wang, Y.; Hu, Y.; Hossain, M.S.; Zhou, M. Effect of trapped cavity mechanism on interpretation of T-Bar penetrometer data in uniform clay. J. Geotech. Geoenviron. Eng. 2020, 146, 04020078. [Google Scholar] [CrossRef]
- Gu, Z.; Guo, X.; Nian, T.; Fu, C.; Zhao, W. An improved evaluation method for the undrained shear strength of uniform soft clay in the nonfull flow state based on ball penetration simulations. Appl. Ocean Res. 2022, 128, 103365. [Google Scholar] [CrossRef]
- Randolph, M.F.; Andersen, K.H. Numerical analysis of T-bar penetration in soft clay. Int. J. Geomech. 2006, 6, 411–420. [Google Scholar] [CrossRef]
- Shen, J.; Wang, X.; Chen, Q.; Ye, Z.; Gao, Q.; Chen, J. Numerical investigations of undrained shear strength of sensitive clay using miniature vane shear tests. J. Mar. Sci. Eng. 2023, 11, 1094. [Google Scholar] [CrossRef]
- Han, Y.; Yu, L.; Yang, Q. Strain softening parameters estimation of soft clay by T-bar penetrometers. Appl. Ocean Res. 2020, 97, 102094. [Google Scholar] [CrossRef]
- Ke, L.; Gao, Y.; Fei, K.; Gu, Y.; Ji, J. Determination of depth-dependent undrained shear strength of structured marine clays based on large deformation finite element analysis of T-bar penetrations. Comput. Geotech. 2024, 176, 106758. [Google Scholar] [CrossRef]
- Gupta, T.; Chakraborty, T.; Abdel-Rahman, K.; Achmus, M. Large deformation finite element analysis of vane shear tests. Geotech. Geol. Eng. 2016, 34, 1669–1676. [Google Scholar] [CrossRef]
- Hu, Y.; Randolph, M.F. H-adaptive FE analysis of elasto-plastic non-homogeneous soil with large deformation. Comput. Geotech. 1998, 23, 61–83. [Google Scholar] [CrossRef]
- Hu, Y.; Randolph, M.F. A practical numerical approach for large deformation problems in soil. Int. J. Numer. Anal. Methods Geomech. 1998, 22, 327–350. [Google Scholar] [CrossRef]
- Zhou, H.; Randolph, M.F. Effect of shaft on resistance of a ball penetrometer. Géotechnique 2011, 61, 973–981. [Google Scholar] [CrossRef]
- Lu, Q.; Randolph, M.F.; Hu, Y.; Bugarski, I.C. A numerical study of cone penetration in clay. Géotechnique 2004, 54, 257–267. [Google Scholar] [CrossRef]
- Qiu, G.; Henke, S.; Grabe, J. Application of a Coupled Eulerian–Lagrangian approach on geomechanical problems involving large deformations. Comput. Geotech. 2011, 38, 30–39. [Google Scholar] [CrossRef]
- Tho, K.K.; Leung, C.F.; Chow, Y.K. Deep cavity flow mechanism of pipe penetration in clay. Can. Geotech. J. 2012, 49, 59–69. [Google Scholar] [CrossRef]
- Zhu, B.; Dai, J.; Kong, D. Modelling T-bar penetration in soft clay using large-displacement sequential limit analysis. Géotechnique. 2020, 70, 173–180. [Google Scholar] [CrossRef]
- Einav, I.; Randolph, M.F. Combining upper bound and strain path methods for evaluating penetration resistance. Int. J. Numer. Meth. Eng. 2005, 63, 1991–2016. [Google Scholar] [CrossRef]
- Wang, Y.; Cassidy, M.J.; Bienen, B. Evaluating the penetration resistance of spudcan foundations in clay overlying sand. Int. J. Offshore Polar Eng. 2021, 31, 243–253. [Google Scholar] [CrossRef]
- Zhou, H.; Randolph, M.F. Computational techniques and shear band development for cylindrical and spherical penetrometers in strain-softening clay. Int. J. Geomech. 2007, 7, 287–295. [Google Scholar] [CrossRef]
- McCarron, W.O. Limit analysis and finite element evaluation of lateral pipe–soil interaction resistance. Can. Geotech. J. 2015, 53, 14–21. [Google Scholar] [CrossRef]
- Yu, H.; Zhou, H.; Sheil, B.; Liu, H. Finite element modelling of helical pile installation and its influence on uplift capacity in strain softening clay. Can. Geotech. J. 2022, 59, 2050–2066. [Google Scholar] [CrossRef]
- Dassault Systèmes. Abaqus User’s Manual 2012; Dassault Systèmes: Vélizy-Villacoublay, France, 2012. [Google Scholar]
- Dutta, S.; Hawlader, B.; Phillips, R. Finite element modeling of vertical penetration of offshore pipelines using coupled Eulerian Lagrangian approach. In Proceedings of the 22nd International Offshore and Polar Engineering Conference, Rhodes, Greece, 17−22 June 2012. [Google Scholar]
- Zhou, S.; Zhou, M.; Tian, Y.; Zhang, X. Effects of strain rate and strain softening on the installation of helical pile in soft clay. Ocean Eng. 2023, 285, 115370. [Google Scholar] [CrossRef]
- Biscontin, G.; Pestana, J.M. Influence of peripheral velocity on vane shear strength of an artificial clay. Geotech. Test. J. 2001, 24, 423–429. [Google Scholar] [CrossRef]
- Dutta, S.; Hawlader, B.; Phillips, R. Finite element modeling of partially embedded pipelines in clay seabed using Coupled Eulerian–Lagrangian method. Can. Geotech. J. 2015, 52, 58–72. [Google Scholar] [CrossRef]
- Zhou, M.; Lu, W.; Guo, Z.; Xue, L.; Zhang, X.; Tian, Y. Interpretation of shear strength of cone penetrating in double layered clays considering the scale effect in centrifuge testing. Appl. Ocean Res. 2023, 138, 103647. [Google Scholar] [CrossRef]
- Randolph, M.F. Characterization of soft sediments for offshore applications. In Proceedings of the 2nd International Conference on Site Characterization, Rotterdam, The Netherlands, 1 January 2004; pp. 209–232. [Google Scholar]
- Kencana, E.Y.; Haryono, I.S.; Leung, C.F.; Chow, Y.K. Mass-gravity-scaling technique to enhance computational efficiency of explicit numerical methods for quasi-static problems. Comput. Geotech. 2021, 133, 103999. [Google Scholar] [CrossRef]
- Chen, X.; Han, C.; Liu, J.; Hu, Y. Interpreting strength parameters of strain-softening clay from shallow to deep embedment using ball and T-bar penetrometers. Comput. Geotech. 2021, 138, 104331. [Google Scholar] [CrossRef]
- Li, C.; Yu, L.; Kong, X.; Zhang, H. Estimation of undrained shear strength in rate-dependent and strain-softening surficial marine clay using ball penetrometer. Comput. Geotech. 2023, 153, 105084. [Google Scholar] [CrossRef]
- Walker, J.; Yu, H.S. Adaptive finite element analysis of cone penetration in clay. Acta Geotech. 2006, 1, 43–57. [Google Scholar] [CrossRef]
- Qiu, G. Numerical analysis of penetration tests in soils. In Ports for Container Ships of Future Generations; Grabe, J., Ed.; Technische Universität Hamburg-Harburg Inst. für Geotechnik und Baubetrieb: Hamburg, Germany, 2014; pp. 183–196. [Google Scholar]
- Fallah, S.; Gavin, K.; Jalilvand, S. Numerical modelling of cone penetration test in clay using coupled Eulerian Lagrangian method. In Proceedings of the 2nd Civil Engineering Research in Ireland Conference, Galway, Ireland, 29–30 August 2016. [Google Scholar]
- Martin, C.M.; Randolph, M.F. Upper-bound analysis of lateral pile capacity in cohesive soil. Géotechnique 2006, 56, 141–145. [Google Scholar] [CrossRef]
- Randolph, M.F.; Martin, C.M.; Hu, Y. Limiting resistance of a spherical penetrometer in cohesive material. Géotechnique 2000, 50, 573–582. [Google Scholar] [CrossRef]
- Gu, Z.; Guo, X.; Zhao, W.; Wang, X.; Liu, X.; Zheng, J.; Liu, J.; Jia, Y.; Nian, T. Multi-probe in-situ testing system and evaluation method for undrained shear strength of deep-sea shallow sediments. J. Eng. Geol. 2021, 29, 1949–1955. [Google Scholar]



















| Testing Method | su0 (kPa) | μ | St | ξ95 |
|---|---|---|---|---|
| TPT, BPT, CPT, VST | 0.24, 1.0, 5.0, 10.0 | - | - | - |
| TPT, BPT, CPT, VST | 1.0 | 0.1 | 1.0 | - |
| TPT, BPT, CPT, VST | 1.0 | 0.1 | 10 | 10 |
| TPT, BPT, CPT, VST | 1.0 | 0 | 10 | 10, 30, 50 |
Disclaimer/Publisher’s Note: The statements, opinions and data contained in all publications are solely those of the individual author(s) and contributor(s) and not of MDPI and/or the editor(s). MDPI and/or the editor(s) disclaim responsibility for any injury to people or property resulting from any ideas, methods, instructions or products referred to in the content. |
© 2025 by the authors. Licensee MDPI, Basel, Switzerland. This article is an open access article distributed under the terms and conditions of the Creative Commons Attribution (CC BY) license (https://creativecommons.org/licenses/by/4.0/).
Share and Cite
Wang, H.; Wang, Y.; Li, B.; Qi, W.; Wang, N. A Comparative Analysis of In Situ Testing Methods for Clay Strength Evaluation Using the Coupled Eulerian–Lagrangian Method. J. Mar. Sci. Eng. 2025, 13, 935. https://doi.org/10.3390/jmse13050935
Wang H, Wang Y, Li B, Qi W, Wang N. A Comparative Analysis of In Situ Testing Methods for Clay Strength Evaluation Using the Coupled Eulerian–Lagrangian Method. Journal of Marine Science and Engineering. 2025; 13(5):935. https://doi.org/10.3390/jmse13050935
Chicago/Turabian StyleWang, Hebo, Yifa Wang, Biao Li, Wengang Qi, and Ning Wang. 2025. "A Comparative Analysis of In Situ Testing Methods for Clay Strength Evaluation Using the Coupled Eulerian–Lagrangian Method" Journal of Marine Science and Engineering 13, no. 5: 935. https://doi.org/10.3390/jmse13050935
APA StyleWang, H., Wang, Y., Li, B., Qi, W., & Wang, N. (2025). A Comparative Analysis of In Situ Testing Methods for Clay Strength Evaluation Using the Coupled Eulerian–Lagrangian Method. Journal of Marine Science and Engineering, 13(5), 935. https://doi.org/10.3390/jmse13050935

