Improved Deadbeat Predictive Direct Power Control for Three-Phase PWM Rectifier Based on LADRC
Abstract
1. Introduction
- 1.
- The LADRC structure for the three-phase PWM rectifier DB-PDPC is designed, providing an effective method to enhance system performance.
- 2.
- A VC is incorporated into the LADRC to improve dynamic power tracking performance and reduce DC voltage drop during sudden load applications. The VC parameters are comprehensively analyzed.
- 3.
- Based on the LADRC and VC, an enhanced EID approach is designed to accurately estimate disturbances, thereby reducing DC voltage and power ripple, as well as grid current THD under disturbances.
2. Three-Phase PWM Rectifier DB-PDPC Strategy Based on LADRC
2.1. Accurate Mathematical Model of DB-PDPC
2.2. Design of LADRC for DB-PDPC
3. Proposed LADRC–VCEID Structure for DB-PDPC Strategy
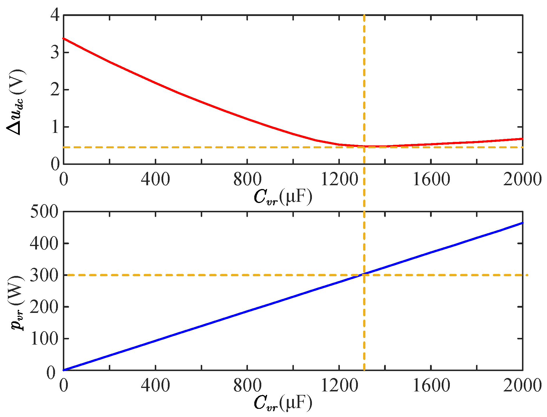
3.1. LADRC with VC
3.2. LADRC with EID
4. Disturbance Rejection Characteristics and Stability Analysis of LADRC–VCEID
4.1. Disturbance Rejection Characteristics
4.2. Stability Analysis of LADRC–VCEID
5. Experimental Results and Analysis
6. Conclusions
- 1.
- Compared to the LADRC strategy, the proposed LADRC–VCEID strategy uses VC in response to load disturbances, enabling the active power to track the reference value quickly. Therefore, the DC voltage drop is reduced, and the system settling time is decreased. Additionally, the VC parameter depends only on , requiring no modifications to the LADRC structure, thereby simplifying implementation.
- 2.
- Moreover, when the DC voltage reference undergoes a step change, the LADRC–VCEID strategy demonstrates superior performance, revealing a reduced peak current value and minimizing active power overshoot, which ensures smooth system response.
- 3.
- Furthermore, the EID effectively estimates and suppresses system disturbances. Consequently, when a sinusoidal disturbance is injected, the LADRC–VCEID strategy achieves improved steady-state performance. Specifically, the LADRC–VCEID strategy notably reduces DC voltage ripple, active power ripple, reactive power ripple, and current THD, exhibiting its robust disturbance rejection capabilities.
Author Contributions
Funding
Institutional Review Board Statement
Informed Consent Statement
Data Availability Statement
Conflicts of Interest
References
- Jeon, H.; Kim, J.; Yoon, K. Large-Scale Electric Propulsion Systems in Ships Using an Active Front-End Rectifier. J. Mar. Sci. Eng. 2019, 7, 168. [Google Scholar] [CrossRef]
- Kim, S.; Jeon, H. Comparative Analysis on AC and DC Distribution Systems for Electric Propulsion Ship. J. Mar. Sci. Eng. 2022, 10, 559. [Google Scholar] [CrossRef]
- Yan, S.; Yang, Y.; Hui, S.Y.; Blaabjerg, F. A review on direct power control of pulsewidth modulation converters. IEEE Trans. Power Electron. 2021, 36, 11984–12007. [Google Scholar] [CrossRef]
- Zhang, Z.; Fang, H.; Gao, F.; Rodríguez, J.; Kennel, R. Multiple-vector model predictive power control for grid-tied wind turbine system with enhanced steady-state control performance. IEEE Trans. Ind. Electron. 2017, 64, 6287–6298. [Google Scholar] [CrossRef]
- Zheng, Z.; Wang, N.; Sun, Z. Fuzzy PI compound control of PWM rectifiers with applications to marine vehicle electric propulsion system. Int. J. Fuzzy Syst. 2018, 20, 587–596. [Google Scholar] [CrossRef]
- Song, T.; Zhang, Y.; Gao, F.; Zhu, X.; Shan, J.; Kong, Z. Power model free voltage ripple suppression method of three-phase PWM rectifier under unbalanced grid. IEEE Trans. Power Electron. 2022, 37, 13799–13807. [Google Scholar] [CrossRef]
- Zhang, Y.; Shan, J.; Huang, Z.; Song, T.; Zhu, X. A dynamic equivalent current feedforward control strategy with variable reference current in three-phase PWM rectifiers. IEEE Trans. Power Electron. 2024, 39, 1636–1643. [Google Scholar] [CrossRef]
- Zhang, H.; Zhu, X.; Shi, J.; Tan, L.; Zhang, C.; Hu, K. Study on PWM rectifier without grid voltage sensor based on virtual flux delay compensation algorithm. IEEE Trans. Power Electron. 2019, 34, 849–862. [Google Scholar] [CrossRef]
- Ran, X.; Xu, B.; Liu, K.; Zhang, J. An improved low-complexity model predictive direct power control with reduced power ripples under unbalanced grid conditions. IEEE Trans. Power Electron. 2022, 37, 5224–5234. [Google Scholar] [CrossRef]
- Bouzidi, M.; Barkat, S.; Krama, A.; Abu-Rub, H. Generalized predictive direct power control with constant switching frequency for multilevel four-leg grid connected converter. IEEE Trans. Power Electron. 2022, 37, 6625–6636. [Google Scholar] [CrossRef]
- Zhang, Y.; Min, Z. Model-free predictive current control of a PWM rectifier based on space vector modulation under unbalanced and distorted grid conditions. IEEE J. Emerg. Sel. Top. Power Electron. 2022, 10, 2319–2329. [Google Scholar] [CrossRef]
- Xie, S.; Sun, Y.; Lin, J.; Su, M.; Li, X.; Zhang, X. Resistance-emulating control strategy for three-phase voltage source rectifiers under unbalanced grids. IEEE Trans. Ind. Electron. 2022, 69, 1103–1113. [Google Scholar] [CrossRef]
- Yang, R.; Sun, M.; Chen, Z. Active disturbance rejection control on first-order plant. J. Syst. Eng. Electron. 2011, 22, 95–102. [Google Scholar] [CrossRef]
- Zhou, R.; Tan, W. Analysis and tuning of general linear active disturbance rejection controllers. IEEE Trans. Ind. Electron. 2019, 66, 5497–5507. [Google Scholar] [CrossRef]
- Madonski, R.; Shao, S.; Zhang, H.; Gao, Z.; Yang, J.; Li, S. General error-based active disturbance rejection control for swift industrial implementations. Control Eng. Practice 2019, 84, 218–229. [Google Scholar] [CrossRef]
- Ahi, B.; Haeri, M. Linear active disturbance rejection control from the practical aspects. IEEE-ASME Trans. Mechatron. 2018, 23, 2909–2919. [Google Scholar] [CrossRef]
- He, H.; Si, T.; Sun, L.; Liu, B.; Li, Z. Linear active disturbance rejection control for three-phase voltage-source PWM rectifier. IEEE Access 2020, 8, 45050–45060. [Google Scholar] [CrossRef]
- Zhou, X.; Cui, Y.; Ma, Y. Fuzzy linear active disturbance rejection control of injection hybrid active power filter for medium and high voltage distribution network. IEEE Access 2021, 9, 8421–8432. [Google Scholar] [CrossRef]
- Pan, Z.; Wang, X.; Zheng, Z.; Tian, L. Fractional-order linear active disturbance rejection control strategy for grid-side current of PWM rectifiers. IEEE J. Emerg. Sel. Top. Power Electron. 2023, 11, 3827–3838. [Google Scholar] [CrossRef]
- Zhou, X.; Zhong, W.; Ma, Y.; Guo, K.; Yin, J.; Wei, C. Control strategy research of D-STATCOM using active disturbance rejection control based on total disturbance error compensation. IEEE Access 2021, 9, 50138–50150. [Google Scholar] [CrossRef]
- Natarajan, V.; Weiss, G. Synchronverters with better stability due to virtual inductors, virtual capacitors, and anti-windup. IEEE Trans. Ind. Electron. 2017, 64, 5994–6004. [Google Scholar] [CrossRef]
- Long, B.; Zhu, S.; Rodriguez, J.; Guerrero, J.M.; Chong, K. Enhancement of power decoupling for virtual synchronous generator: A virtual inductor and virtual capacitor approach. IEEE Trans. Ind. Electron. 2023, 70, 6830–6843. [Google Scholar] [CrossRef]
- Du, Y.; Cao, W.; She, J.; Wu, M.; Fang, M.; Kawata, S. Disturbance rejection and control system design using improved equivalent input disturbance approach. IEEE Trans. Ind. Electron. 2020, 67, 3013–3023. [Google Scholar] [CrossRef]
- Yu, P.; Wu, M.; She, J.; Liu, K.; Nakanishi, Y. An improved equivalent-input-disturbance approach for repetitive control system with state delay and disturbance. IEEE Trans. Ind. Electron. 2018, 65, 521–531. [Google Scholar] [CrossRef]















| Parameters | Symbol | Value |
|---|---|---|
| Grid-side voltage amplitude | 60 V | |
| Grid-side voltage frequency | f | 50 Hz |
| Grid-side equivalent resistance | R | 0.3 |
| Grid-side inductor | L | 3 mH |
| DC-side capacitance | C | 2200 µF |
| DC-side load resistance 1 | 45 | |
| DC-side load resistance 2 | 75 | |
| DC-side reference voltage | 150 V |
Disclaimer/Publisher’s Note: The statements, opinions and data contained in all publications are solely those of the individual author(s) and contributor(s) and not of MDPI and/or the editor(s). MDPI and/or the editor(s) disclaim responsibility for any injury to people or property resulting from any ideas, methods, instructions or products referred to in the content. |
© 2025 by the authors. Licensee MDPI, Basel, Switzerland. This article is an open access article distributed under the terms and conditions of the Creative Commons Attribution (CC BY) license (https://creativecommons.org/licenses/by/4.0/).
Share and Cite
Ma, H.; Yao, X.; Wang, J.; Luo, X.; Huang, S. Improved Deadbeat Predictive Direct Power Control for Three-Phase PWM Rectifier Based on LADRC. J. Mar. Sci. Eng. 2025, 13, 402. https://doi.org/10.3390/jmse13030402
Ma H, Yao X, Wang J, Luo X, Huang S. Improved Deadbeat Predictive Direct Power Control for Three-Phase PWM Rectifier Based on LADRC. Journal of Marine Science and Engineering. 2025; 13(3):402. https://doi.org/10.3390/jmse13030402
Chicago/Turabian StyleMa, He, Xuliang Yao, Jingfang Wang, Xinghong Luo, and Shengqi Huang. 2025. "Improved Deadbeat Predictive Direct Power Control for Three-Phase PWM Rectifier Based on LADRC" Journal of Marine Science and Engineering 13, no. 3: 402. https://doi.org/10.3390/jmse13030402
APA StyleMa, H., Yao, X., Wang, J., Luo, X., & Huang, S. (2025). Improved Deadbeat Predictive Direct Power Control for Three-Phase PWM Rectifier Based on LADRC. Journal of Marine Science and Engineering, 13(3), 402. https://doi.org/10.3390/jmse13030402

