Numerical Analysis of a Vertical Axis Wind Turbine with Racetrack Trajectory
Abstract
1. Introduction
- Establish a high-fidelity, validated CFD model using Ansys Fluent 2022 R1 for the VAWT with RT and a baseline VAWT.
- Provide a systematic quantification of the VAWT with RT’s power characteristics and directional sensitivity across a wide range of TSRs and inflow angles β = 0–90°.
- Clarify the physical flow mechanisms responsible for this high directional sensitivity through detailed analysis of transient flow fields, vorticity, and wake development.
- Develop and validate an adapted DMST theoretical model for this VAWT with RT, providing an efficient and accessible tool for future design space exploration and optimization.
2. Geometry and Case Setup
2.1. Geometric Models
2.2. Computational Domain and Mesh Generation
2.3. Aerodynamic Parameters
2.4. Calculation Setup
- It is a transitional model, designed to capture laminar to turbulent transition that is prevalent in this Reynolds number range.
- It combines the advantages of the k-ω model, which is superior for resolving the viscous sublayer, with the k-ε model, which is more robust in the far field. Crucially, compared to standard k-ε models, the k-ω SST model demonstrates superior performance in predicting flow separation under strong adverse pressure gradients [35]. It is a defining characteristic of dynamic stall on VAWT blades.
3. Sensitivity Analysis and Validation
3.1. Computational Domain Sensitivity
3.2. Mesh Sensitivity
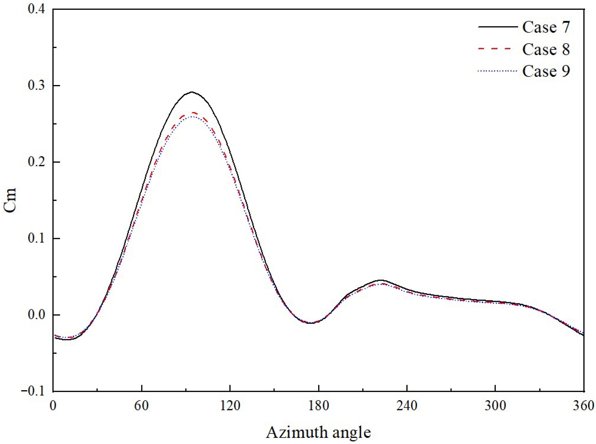
3.3. Time Step Sensitivity
3.4. Validation Against Experimental and Numerical Results
4. Method
4.1. Upstream Region of the Curved Section
4.2. Downstream Region of the Curved Section
4.3. Upstream Region of the Straight Section
4.4. Downstream Region of the Straight Section
4.5. Total Power and Validation
5. Results and Analysis
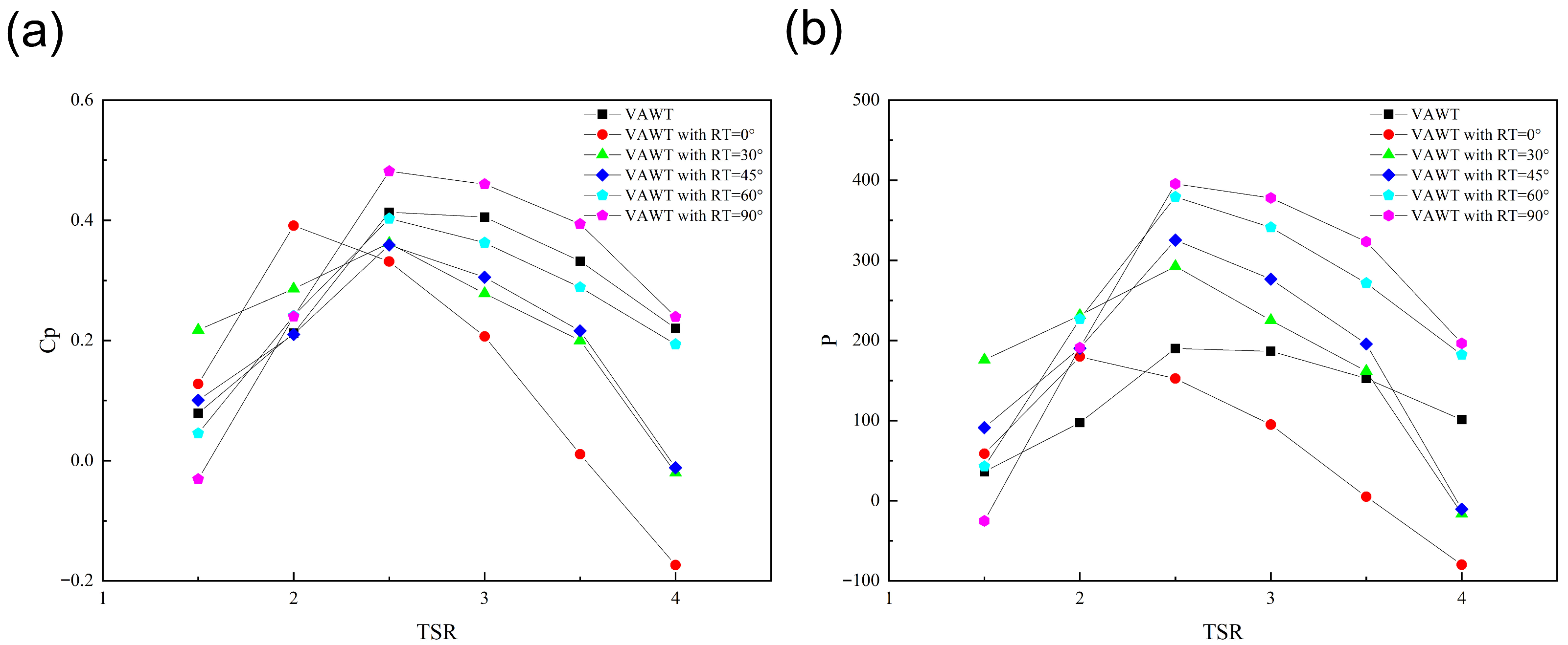
5.1. Power Performance Analysis
5.2. Validation of the Aerodynamic Model
5.3. Flow Field Characteristics
5.3.1. Flow Structures at Different TSRs
5.3.2. Directional Sensitivity at Various Inflow Angles
5.3.3. Vortex Dynamics at Various Inflow Angles
5.4. Wake Characterization and Recovery
6. Discussions and Future Work
6.1. Discussion of Limitations
- (1)
- The primary parametric study relies on 2D URANS simulations. While this captures fundamental mechanisms, it omits 3D aerodynamic effects such as tip vortex formation and spanwise flow. Based on our validation, these effects could reduce the Cp by 14–16%. The reported Cp values should therefore be interpreted as 2D values.
- (2)
- The adapted DMST model, while computationally efficient, retains steady assumptions from momentum theory. It ignores complex unsteady effects and blade wake vortices, which explains its 8–15% error relative to CFD method.
- (3)
- The simulations assume uniform, steady inflow, neglecting the significant impact of real-world atmospheric turbulence (TI = 10–20%) and wind shear. These factors would reduce annual energy production and could alter the turbine’s directional sensitivity.
- (4)
- This study focuses on aerodynamics and neglects practical and structural realities. It does not account for structural deformation, mechanical power losses from the racetrack system, or the associated capital and maintenance costs. A thorough technology economic analysis is required to determine whether the 16.7% aerodynamic gain justifies the added complexity.
6.2. Future Work
- (1)
- Conduct a detailed blade aerodynamic analysis by quantifying the lift, drag, and AoA variations over the full azimuthal angle. This will provide a deeper physical explanation for the reported performance gains.
- (2)
- Perform full 3D simulations and add pressure plots to quantify 3D losses and the impact of turbulence accurately.
- (3)
- Use the validated models to conduct a comprehensive parametric optimization study, varying key design factors such as the length to radius ratio, rotor solidity, and aerofoil selection to further enhance performance.
- (4)
- Complete a full technology economic analysis to assess the design’s commercial viability against its increased capital and maintenance costs.
7. Conclusions
- (1)
- The VAWT with RT performs better than the baseline VAWT under specific inflow orientations, achieving a maximum power coefficient of 0.49 at inflow angle β = 90° and TSR = 2.5, which represents a 16.7% improvement over the VAWT.
- (2)
- The aerodynamic performance of the VAWT with RT is confirmed to be strongly dependent on inflow angle, with peak efficiency occurring at β = 90°. At low inflow angles, blade-blade interaction and wake interference lead to performance degradation, highlighting a critical performance trade-off that was not previously quantified.
- (3)
- Flow field analysis confirms that the VAWT with RT generates more organized vortical structures and a narrower, faster-recovering wake under optimal alignment compared to the VAWT. This contributes to higher efficiency and lower torque fluctuations, supporting stable power output.
- (4)
- The adapted DMST model developed for the VAWT with RT shows satisfactory agreement with CFD data, with errors below 19% at the peak TSR. This validates the model’s utility for rapid performance estimation and initial design optimization.
- (5)
- Wake characterization reveals that the VAWT with RT at β = 90° has a similar velocity recovery length and lower far-wake turbulence intensity than the VAWT, suggesting potential benefits for wind farm layout spacing and downstream turbine performance.
Author Contributions
Funding
Data Availability Statement
Acknowledgments
Conflicts of Interest
Abbreviations
| AoA | Angle of Attack |
| Cd | Drag Coefficient |
| Cl | Lift Coefficient |
| Cm | Moment Coefficient |
| Cp | Power Coefficient |
| CFD | Computational Fluid Dynamics |
| DMST | Double Multiple Streamtube |
| HAWT | Horizontal Axis Wind Turbines |
| LES | Large Eddy Simulation |
| RT | Racetrack Trajectory |
| TSR | Tip Speed Ratio |
| URANS | Unsteady Reynolds-Averaged Navier–Stokes |
| VAWT | Vertical Axis Wind Turbines |
References
- Global Wind Energy Council. Global Wind Report 2025; GWEC: Lisbon, Portugal, 2025; Available online: https://www.gwec.net/reports/globalwindreport (accessed on 1 May 2025).
- Ahmed, N.A.; Cameron, M. The Challenges and Possible Solutions of Horizontal Axis Wind Turbines as a Clean Energy Solution for the Future. Renew. Sustain. Energy Rev. 2014, 38, 439–460. [Google Scholar] [CrossRef]
- Elkodama, A.; Ismaiel, A.; Abdellatif, A.; Shaaban, S.; Yoshida, S.; Rushdi, M.A. Control Methods for Horizontal Axis Wind Turbines (HAWT): State-of-the-Art Review. Energies 2023, 16, 6394. [Google Scholar] [CrossRef]
- Redchyts, D.; Portal-Porras, K.; Tarasov, S.; Moiseienko, S.; Tuchyna, U.; Starun, N.; Fernandez-Gamiz, U. Aerodynamic Performance of Vertical-Axis Wind Turbines. J. Mar. Sci. Eng. 2023, 11, 1367. [Google Scholar] [CrossRef]
- Hansen, C.; Hansen, K. Recent Advances in Wind Turbine Noise Research. Acoustics 2020, 2, 171–206. [Google Scholar] [CrossRef]
- Tjiu, W.; Marnoto, T.; Mat, S.; Ruslan, M.H.; Sopian, K. Darrieus Vertical Axis Wind Turbine for Power Generation II: Challenges in HAWT and the Opportunity of Multi-Megawatt Darrieus VAWT Development. Renew. Energy 2015, 75, 560–571. [Google Scholar] [CrossRef]
- Tescione, G.; Ragni, D.; He, C.; Simão Ferreira, C.J.; Van Bussel, G.J.W. Near Wake Flow Analysis of a Vertical Axis Wind Turbine by Stereoscopic Particle Image Velocimetry. Renew. Energy 2014, 70, 47–61. [Google Scholar] [CrossRef]
- Li, Q.; Maeda, T.; Kamada, Y.; Hiromori, Y.; Nakai, A.; Kasuya, T. Study on Stall Behavior of a Straight-Bladed Vertical Axis Wind Turbine with Numerical and Experimental Investigations. J. Wind Eng. Ind. Aerodyn. 2017, 164, 1–12. [Google Scholar] [CrossRef]
- Yue, Q. Aerodynamic Noise Prediction and Reduction of H-Darrieus Vertical Axis Wind Turbine. Aust. J. Mech. Eng. 2023, 21, 1093–1102. [Google Scholar] [CrossRef]
- Keisar, D.; Arava, I.; Greenblatt, D. Dynamic-Stall-Driven Vertical Axis Wind Turbine: An Experimental Parametric Study. Appl. Energy 2024, 365, 123199. [Google Scholar] [CrossRef]
- Tian, W.; Song, B.; VanZwieten, J.; Pyakurel, P. Computational Fluid Dynamics Prediction of a Modified Savonius Wind Turbine with Novel Blade Shapes. Energies 2015, 8, 7915–7929. [Google Scholar] [CrossRef]
- Lee, J.-H.; Lee, Y.-T.; Lim, H.-C. Effect of Twist Angle on the Performance of Savonius Wind Turbine. Renew. Energy 2016, 89, 231–244. [Google Scholar] [CrossRef]
- Ghafoorian, F.; Mirmotahari, S.R.; Eydizadeh, M.; Mehrpooya, M. A Systematic Investigation on the Hybrid Darrieus-Savonius Vertical Axis Wind Turbine Aerodynamic Performance and Self-Starting Capability Improvement by Installing a Curtain. Next Energy 2025, 6, 100203. [Google Scholar] [CrossRef]
- Lin, J.C. Review of Research on Low-Profile Vortex Generators to Control Boundary-Layer Separation. Prog. Aerosp. Sci. 2002, 38, 389–420. [Google Scholar] [CrossRef]
- Wang, J.; Feng, L. Flow Control Techniques and Applications, 1st ed.; Cambridge University Press: Cambridge, UK, 2018; ISBN 978-1-316-67644-8. [Google Scholar]
- Yan, Y.; Avital, E.; Williams, J.; Cui, J. CFD Analysis for the Performance of Micro-Vortex Generator on Aerofoil and Vertical Axis Turbine. J. Renew. Sustain. Energy 2019, 11, 043302. [Google Scholar] [CrossRef]
- Yan, Y.; Avital, E.; Williams, J.; Cui, J. Aerodynamic Performance Improvements of a Vertical Axis Wind Turbine by Leading-Edge Protuberance. J. Wind Eng. Ind. Aerodyn. 2021, 211, 104535. [Google Scholar] [CrossRef]
- Maleki, G.; Davari, A.R.; Soltani, M.R. Experimental Investigation of the Effect of Active Flow Control on the Wake of a Wind Turbine Blade. Proc. Inst. Mech. Eng. Part C J. Mech. Eng. Sci. 2021, 235, 6122–6138. [Google Scholar] [CrossRef]
- Daraee, M.A.; Abbasi, S. A Novel Approach to Performance Improvement of a VAWT Using Plasma Actuators. J. Clean. Prod. 2023, 424, 138876. [Google Scholar] [CrossRef]
- Chu, Y.-J.; Lam, H.-F. Comparative Study of the Performances of a Bio-Inspired Flexible-Bladed Wind Turbine and a Rigid-Bladed Wind Turbine in Centimeter-Scale. Energy 2020, 213, 118835. [Google Scholar] [CrossRef]
- Gupta, A.; Abderrahmane, H.A.; Janajreh, I. Flow Analysis and Sensitivity Study of Vertical-Axis Wind Turbine under Variable Pitching. Appl. Energy 2024, 358, 122648. [Google Scholar] [CrossRef]
- Paraschivoiu, I. Wind Turbine Design: With Emphasis on Darrieus Concept; Reprinted; Presses Internationales Polytechnique: Montreal, QC, Canada, 2009; ISBN 978-2-553-00931-0. [Google Scholar]
- Naseem, A.; Uddin, E.; Ali, Z.; Aslam, J.; Shah, S.R.; Sajid, M.; Zaidi, A.A.; Javed, A.; Younis, M.Y. Effect of Vortices on Power Output of Vertical Axis Wind Turbine (VAWT). Sustain. Energy Technol. Assess. 2020, 37, 100586. [Google Scholar] [CrossRef]
- Balduzzi, F.; Bianchini, A.; Maleci, R.; Ferrara, G.; Ferrari, L. Critical Issues in the CFD Simulation of Darrieus Wind Turbines. Renew. Energy 2016, 85, 419–435. [Google Scholar] [CrossRef]
- Majidian, H.; Ahani, E.; Wang, L. Aerodynamic Study of Pyramid Stacking Configuration on Mega-Sized Container Ships Using CFD to Optimize Lateral Drag. Appl. Ocean Res. 2022, 124, 103209. [Google Scholar] [CrossRef]
- Torckler, R.; Majidiyan, H.; Enshaei, H. CFD-Based Design of Novel Drag-Reducing Appendages for Container Ships. Appl. Ocean Res. 2025, 158, 104605. [Google Scholar] [CrossRef]
- Sheidani, A.; Salavatidezfouli, S.; Stabile, G.; Rozza, G. Assessment of URANS and LES Methods in Predicting Wake Shed behind a Vertical Axis Wind Turbine. J. Wind Eng. Ind. Aerodyn. 2023, 232, 105285. [Google Scholar] [CrossRef]
- Rezaeiha, A.; Kalkman, I.; Blocken, B. CFD Simulation of a Vertical Axis Wind Turbine Operating at a Moderate Tip Speed Ratio: Guidelines for Minimum Domain Size and Azimuthal Increment. Renew. Energy 2017, 107, 373–385. [Google Scholar] [CrossRef]
- Ge, S.; Yan, Y.; Jiang, C.; Xu, J.; Cui, J. A Novel VAWT Design for Urban Wind Utilization. In Proceedings of the THMT-25 Turbulence, Heat and Mass Transfer 11, Tokyo, Japan, 21–25 July 2025; Begellhouse: Tokyo, Japan, 2025; p. 7. [Google Scholar] [CrossRef]
- Bouzaher, M.T.; Zereg, A. Performance Enhancement of Flapping Turbine in Reversed D Mode: Effect of No-Circular Trajectory. Arab. J. Sci. Eng. 2024, 49, 15509–15519. [Google Scholar] [CrossRef]
- Lumley, R. Apparatus for Extracting Power from Fluid Flow. U.S. Patent US12253062B2, 18 March 2025. [Google Scholar]
- Lumley, R. Tower Array. U.S. Patent US20230086811A1, 23 March 2023. [Google Scholar]
- Lee, C.H.; Min, S.Y.; Park, C.J.; Kim, S.J. Optimal Design and Verification Tests of Cycloidal Vertical Axis Wind Turbine. J. Renew. Sustain. Energy 2015, 7, 063116. [Google Scholar] [CrossRef]
- Amiri, M.; Mikielewicz, J.; Ziółkowski, P.; Mikielewicz, D. Optimizing CO2 Purification in a Negative CO2 Emission Power Plant. Chem. Eng. Technol. 2024, 47, e202300568. [Google Scholar] [CrossRef]
- Wang, T.; Zhong, W.; Qian, Y.; Zhu, C. Wind Turbine Aerodynamic Performance Calculation; Springer Nature: Singapore, 2023; ISBN 978-981-99-3508-6. [Google Scholar]
- Le Fouest, S.; Mulleners, K. Optimal Blade Pitch Control for Enhanced Vertical-Axis Wind Turbine Performance. Nat. Commun. 2024, 15, 2770. [Google Scholar] [CrossRef]
- Raciti Castelli, M.; Ardizzon, G.; Battisti, L.; Benini, E.; Pavesi, G. Modeling Strategy and Numerical Validation for a Darrieus Vertical Axis Micro-Wind Turbine. In Modeling Strategy and Numerical Validation for a Darrieus Vertical Axis Micro-Wind Turbine, Proceedings of the ASME 2010 International Mechanical Engineering Congress and Exposition, Vancouver, BC, Canada, 12–18 November 2010; Volume 7: Fluid Flow, Heat Transfer and Thermal Systems, Parts A and B; ASMEDC: Vancouver, BC, Canada, 2010; pp. 409–418. [Google Scholar] [CrossRef]
- McLaren, K.W. A Numerical and Experimental Study of Unsteady Loading of High-Solidity Vertical Axis Wind Turbines. Ph.D. Thesis, McMaster University, Hamilton, ON, Canada, 2011. Available online: http://hdl.handle.net/11375/11096 (accessed on 30 September 2025).
- Wang, Y.; Shen, S.; Li, G.; Huang, D.; Zheng, Z. Investigation on Aerodynamic Performance of Vertical Axis Wind Turbine with Different Series Airfoil Shapes. Renew. Energy 2018, 126, 801–818. [Google Scholar] [CrossRef]
- Sun, X.; Wang, Y.; An, Q.; Cao, Y.; Wu, G.; Huang, D. Aerodynamic Performance and Characteristic of Vortex Structures for Darrieus Wind Turbine. I. Numerical Method and Aerodynamic Performance. J. Renew. Sustain. Energy 2014, 6, 043134. [Google Scholar] [CrossRef]
- Raciti Castelli, M.; Englaro, A.; Benini, E. The Darrieus Wind Turbine: Proposal for a New Performance Prediction Model Based on CFD. Energy 2011, 36, 4919–4934. [Google Scholar] [CrossRef]















| Parameter | VAWT | VAWT with RT |
|---|---|---|
| Aerofoil | NACA0021 | NACA0021 |
| Number of blades, N | 3 | 6 |
| Chord length, c | 0.0858 m | 0.0858 m |
| Straight section length, L | / | 0.81 m |
| Radius of rotor, R | 0.515 m | 0.515 m |
| Velocity inlet, U∞ | 9 m/s | 9 m/s |
| Inflow angles, β | 0° | 0–90° |
| Swept area, A | 1.03 m2 | 1.03 m2–1.84 m2 |
| Tip speed ratio, TSR | 1.5–3.3 | 1.5–4 |
| Height of blade, H | 1 m | 1 m |
| Boundary | Type | Dimension |
|---|---|---|
| Inlet | Velocity inlet | 10D upstream |
| Outlet | Pressure outlet | 30D downstream |
| Top/Bottom | Symmetry | ±10D from center |
| Blade surface | No-slip wall | Rotor blades |
| Case | Computational Domain | Blockage Ratio | Cp Values | Error Rate |
|---|---|---|---|---|
| 1 | 10D × 20D | 10% | 0.450 | 8.8% |
| 2 | 20D × 40D | 5% | 0.416 | 0.5% |
| 3 | 30D × 60D | 3.33% | 0.415 | 0.4% |
| Case | Mesh Density | Number of Cells | Cp Values | Error Rate |
|---|---|---|---|---|
| 4 | Coarse | 170,000 | 0.434 | 4.5% |
| 5 | Medium | 255,000 | 0.416 | 0.5% |
| 6 | Fine | 374,000 | 0.415 | 0.4% |
| Case | Rotation Degrees | Time Step Size | Cp Values | Error Rate |
|---|---|---|---|---|
| 7 | 2° | 0.000998716183 s | 0.452 | 9.3% |
| 8 | 1° | 0.000499358092 s | 0.416 | 0.5% |
| 9 | 0.5° | 0.000249679046 s | 0.414 | 0.2% |
Disclaimer/Publisher’s Note: The statements, opinions and data contained in all publications are solely those of the individual author(s) and contributor(s) and not of MDPI and/or the editor(s). MDPI and/or the editor(s) disclaim responsibility for any injury to people or property resulting from any ideas, methods, instructions or products referred to in the content. |
© 2025 by the authors. Licensee MDPI, Basel, Switzerland. This article is an open access article distributed under the terms and conditions of the Creative Commons Attribution (CC BY) license (https://creativecommons.org/licenses/by/4.0/).
Share and Cite
Ge, S.; Yan, Y.; Lou, Z.; Xu, J.; Sheng, Z.; Cui, J. Numerical Analysis of a Vertical Axis Wind Turbine with Racetrack Trajectory. J. Mar. Sci. Eng. 2025, 13, 2171. https://doi.org/10.3390/jmse13112171
Ge S, Yan Y, Lou Z, Xu J, Sheng Z, Cui J. Numerical Analysis of a Vertical Axis Wind Turbine with Racetrack Trajectory. Journal of Marine Science and Engineering. 2025; 13(11):2171. https://doi.org/10.3390/jmse13112171
Chicago/Turabian StyleGe, Sixiong, Yan Yan, Zhecheng Lou, Jie Xu, Zhehao Sheng, and Jiahuan Cui. 2025. "Numerical Analysis of a Vertical Axis Wind Turbine with Racetrack Trajectory" Journal of Marine Science and Engineering 13, no. 11: 2171. https://doi.org/10.3390/jmse13112171
APA StyleGe, S., Yan, Y., Lou, Z., Xu, J., Sheng, Z., & Cui, J. (2025). Numerical Analysis of a Vertical Axis Wind Turbine with Racetrack Trajectory. Journal of Marine Science and Engineering, 13(11), 2171. https://doi.org/10.3390/jmse13112171
