Optimization of Controllable-Pitch Propeller Operations for Yangtze River Sailing Ships
Abstract
1. Introduction
2. Performance Modeling of CPP Inland Ships
2.1. Ship Resistance in Inland Waterways
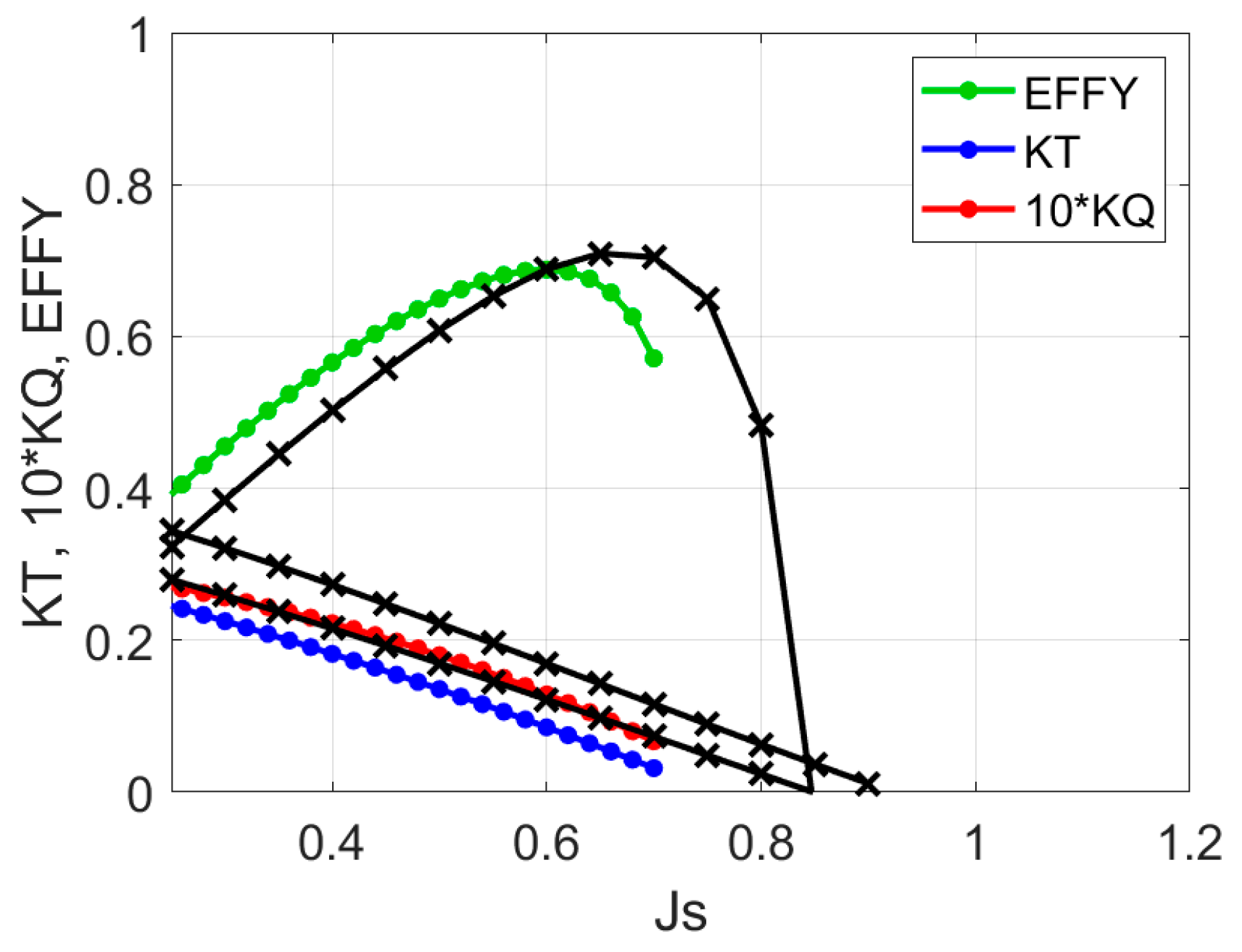
2.2. Thrust and Torque of CPPs
2.3. Fuel Consumption Modeling
3. Voyage Optimization Method Based on Improved Genetic Optimization
3.1. Description of the Voyage Optimization Problem
3.2. Genetic Algorithm for Optimization
3.3. Proposed Improvement to the Genetic Algorithm for Voyage Optimizations
3.3.1. Algorithm Initialization
- Initial setup: Set a sufficiently high initial temperature T to ensure acceptance of a considerable number of transition states. Randomly generate the initial solution , and set the number of iterations at each temperature to .
- Iteration process: In each iteration, generate a new solution . Calculate the energy change . If the energy decreases, the state is accepted. Conversely, if the energy increases, the state is accepted with a probability computed as , where is the current temperature.
- Cooling schedule: Gradually decrease the temperature according to the formula , where is the cooling rate.
- Termination check: Determine whether the temperature has reached the termination condition. If so, conclude the annealing process, and add the optimal generated solutions to the initial population of the genetic algorithm.
3.3.2. Elite Retention Strategy Based on Exponential Function
3.3.3. Multi-Parent Crossover Strategy Based on the K-Means Algorithm
3.3.4. Combination Mutation Strategy
- Gaussian mutation for 1, which focuses on local refinement,
- Uniform mutation for 2, offering a balanced approach to the search strategy,
- BGA mutation for 3, which is designed to enhance global exploration.
4. Case-Study Ship and Demonstration Scenarios
4.1. Case-Study Ship and Division of Sailing Sections
- Scenario 1: The ship sails at a constant speed (7 knots) and draft (2.4 m).
- Scenario 2: The ship operates at variable speeds (4, 7, and 11 knots) while maintaining a constant draft (2.4 m), specifically during downstream navigation (segments 7–14).
- Scenario 3: The ship maintains a constant speed (7 knots) with variable drafts (1.2 and 2.4 m) and is engaged in a round trip including downstream voyages (segments 7–14).
4.2. CPP Propulsion Efficiency Modeling for the Case Study Ship
4.3. Parameter Setting for the Improved Genetic Algorithm
- Range of input values: The upper and lower limits for the pitch angle were determined by OpenProp to be the original pitch angle ± 10 degrees. This restriction was imposed because propeller efficiencies outside this range could cause the advance ratio to exceed the operational range of the diesel engine. The speed range was set according to the rated speed of the diesel engine, with the RPM variation range set between 500 and 1500, based on the characteristics of the case-study ship.
- Algorithm initialization: The initial population was generated using the simulated annealing algorithm, with an initial temperature set to 100 to allow acceptance of more transition states. The number of iterations, L, was set to 100, with an annealing rate of 0.9 to ensure rapid convergence. The termination temperature was set at 0, and the initial population size was 505.
- Selection: The selection process utilized the elite retention strategy as discussed in Section 3.3, with a replication coefficient of 0.03.
- Crossover: The crossover process employed a multi-parent crossover operator based on the K-means algorithm, with the number of clusters set to 50. Three individuals from different clusters were selected for random multi-parent crossover, with a crossover probability of 0.7.
- Mutation: The mutation phase used a single-point mutation method with a mutation probability of 0.3. If offspring chromosomes generated during the crossover or mutation processes failed to meet constraints, the mutation or crossover was repeated until acceptable chromosomes were produced.
- Termination condition: The stopping criterion for the algorithm was set such that the optimization process terminated either when the number of iterations reached 500 or if there was no decrease in the best fitness value across 10 subsequent iterations.
5. Results and Discussion
5.1. Optimization Results of Scenario 1
5.2. Optimization Results of Scenario 2
5.3. Optimization Results of Scenario 3
5.4. Limitations of the Models Utilized
6. Conclusions
Author Contributions
Funding
Institutional Review Board Statement
Informed Consent Statement
Data Availability Statement
Conflicts of Interest
References
- Matínez-López, A.; Díaz Ojeda, H.R.; Míguez González, M.; Marrero, Á. Environmental Inefficiencies of Short Sea Shipping Vessels by Optimization Processes Based on Resistance Prediction Methods. J. Mar. Sci. Eng. 2022, 10, 1457. [Google Scholar] [CrossRef]
- Kim, S.; Kinnas, S.A. A panel method for the prediction of unsteady performance of ducted propellers in ship behind condition. Ocean Eng. 2022, 246, 110582. [Google Scholar] [CrossRef]
- Jaurola, M.; Hedin, A.; Tikkanen, S.; Huhtala, K. Optimising Design and Power Management in Energy-Efficient Marine Vessel Power Systems: A Literature Review. J. Mar. Eng. Technol. 2019, 18, 92–101. [Google Scholar] [CrossRef]
- Holtrop, J.; Mennen, G. An Approximate Power Prediction Method. Int. Shipbuild. Prog. 1982, 29, 166–170. [Google Scholar] [CrossRef]
- Lang, X.; Mao, W. A Semi-Empirical Model for Ship Speed Loss Prediction at Head Sea and Its Validation by Full-Scale Measurements. Ocean Eng. 2020, 209, 107494. [Google Scholar] [CrossRef]
- Lang, X.; Mao, W. A Practical Speed Loss Prediction Model at Arbitrary Wave Heading for Ship Voyage Optimization. J. Mar. Sci. Appl. 2021, 20, 410–425. [Google Scholar] [CrossRef]
- Kristensen, H.O.; Lützen, M. Prediction of resistance and propulsion power of ships. Clean Shipp. Curr. 2012, 1, 1–52. [Google Scholar]
- Gupta, P.; Rasheed, A.; Steen, S. Ship Performance Monitoring Using Machine-Learning. Ocean Eng. 2022, 254, 111094. [Google Scholar] [CrossRef]
- Mittendorf, M.; Nielsen, U.D.; Bingham, H.B. Capturing the Effect of Biofouling on Ships by Incremental Machine Learning. Appl. Ocean Res. 2023, 138, 103619. [Google Scholar] [CrossRef]
- Kim, Y.-R.; Steen, S. Application of Machine Learning Algorithms for Predicting Added Resistance in Arbitrary Wave Headings of a Ship. In Proceedings of the OMAE, Hamburg, Germany, 5–10 June 2022. [Google Scholar]
- Lang, X.; Wu, D.; Mao, W. Comparison of Supervised Machine Learning Methods to Predict Ship Propulsion Power at Sea. Ocean Eng. 2022, 245, 110387. [Google Scholar] [CrossRef]
- Lang, X.; Wu, D.; Mao, W. Physics-Informed Machine Learning Models for Ship Speed Prediction. Expert Syst. Appl. 2024, 238, 121877. [Google Scholar] [CrossRef]
- Lu, R.; Turan, O.; Boulougouris, E.; Banks, C.; Incecik, A. A Semi-Empirical Ship Operational Performance Prediction Model for Voyage Optimization towards Energy Efficient Shipping. Ocean Eng. 2015, 110, 18–28. [Google Scholar] [CrossRef]
- Tillig, F.; Ringsberg, J.W.; Psaraftis, H.N.; Zis, T. Reduced Environmental Impact of Marine Transport through Speed Reduction and Wind Assisted Propulsion. Transp. Res. Part D Transp. Environ. 2020, 83, 102380. [Google Scholar] [CrossRef]
- Yang, L.; Chen, G.; Zhao, J.; Rytter, N.G.M. Ship Speed Optimization Considering Ocean Currents to Enhance Environmental Sustainability in Maritime Shipping. Sustainability 2020, 12, 3649. [Google Scholar] [CrossRef]
- Li, X.; Sun, B.; Guo, C.; Du, W.; Li, Y. Speed Optimization of a Container Ship on a given Route Considering Voluntary Speed Loss and Emissions. Appl. Ocean Res. 2020, 94, 101995. [Google Scholar] [CrossRef]
- Fan, A.; Wang, Z.; Yang, L.; Wang, J.; Vladimir, N. Multi-Stage Decision-Making Method for Ship Speed Optimisation Considering Inland Navigational Environment. Proc. Inst. Mech. Eng. Part M J. Eng. Marit. Environ. 2021, 235, 372–382. [Google Scholar] [CrossRef]
- Tzortzis, G.; Sakalis, G. A Dynamic Ship Speed Optimization Method with Time Horizon Segmentation. Ocean Eng. 2021, 226, 108840. [Google Scholar] [CrossRef]
- Tadros, M.; Ventura, M.; Guedes Soares, C. Optimization Procedures for a Twin Controllable Pitch Propeller of a ROPAX Ship at Minimum Fuel Consumption. J. Mar. Eng. Technol. 2023, 22, 167–175. [Google Scholar] [CrossRef]
- Bacciaglia, A.; Ceruti, A.; Liverani, A. Controllable Pitch Propeller Optimization through Meta-Heuristic Algorithm. Eng. Comput. 2021, 37, 2257–2271. [Google Scholar] [CrossRef]
- Wang, Y.; Wang, Q.; Fu, H. Online High Performance Genetic Algorithm Based Sliding Mode Control for Controllable Pitch Propeller. Processes 2020, 8, 953. [Google Scholar] [CrossRef]
- Ji, M.; Zhao, P.; Liang, L.; Liu, R. Design and Optimization of Control System for Controllable Pitch Propeller with Load Protection. In Proceedings of the 2018 IEEE International Conference on Mechatronics and Automation (ICMA), Changchun, China, 5–8 August 2018; pp. 1037–1042. [Google Scholar]
- Ren, H.; Ding, Y.; Sui, C. Influence of EEDI (Energy Efficiency Design Index) on Ship–Engine–Propeller Matching. J. Mar. Sci. Eng. 2019, 7, 425. [Google Scholar] [CrossRef]
- Tadros, M.; Ventura, M.; Guedes Soares, C. Optimum Design of a Container Ship’s Propeller from Wageningen B-Series at the Minimum BSFC. In Sustainable Development and Innovations in Marine Technologies; CRC Press: Boca Raton, FL, USA, 2019; pp. 269–276. [Google Scholar]
- Geertsma, R.D.; Negenborn, R.R.; Visser, K.; Loonstijn, M.A.; Hopman, J.J. Pitch Control for Ships with Diesel Mechanical and Hybrid Propulsion: Modelling, Validation and Performance Quantification. Appl. Energy 2017, 206, 1609–1631. [Google Scholar] [CrossRef]
- Alessandri, A.; Donnarumma, S.; Vignolo, S.; Figari, M.; Martelli, M.; Chiti, R.; Sebastiani, L. System control design of autopilot and speed pilot for a patrol vessel by using LMIs. In Towards Green Marine Technology and Transport; CRC Press: Boca Raton, FL, USA, 2015; pp. 577–583. [Google Scholar]
- Altosole, M.; Benvenuto, G.; Figari, M.; Campora, U.; Bagnasco, A.; D’Arco, S.; Giuliano, M.; Giuffra, V.; Spadoni, A.; Zanichelli, A. Real-time simulation of the propulsion plant dynamic behaviour of the aircraft carrier “Cavour”. In Proceedings of the Institute of Marine Engineering, Science and Technology-INEC, Hamburg, Germany, 1–3 April 2009; pp. 123–130. [Google Scholar]
- Coraddu, A.; Figari, M.; Savio, S.; Villa, D.; Orlandi, A. Integration of seakeeping and powering computational techniques with meteo-marine forecasting data for in-service ship energy assessment. Dev. Marit. Transp. Exploit. Sea Resour. 2014, 1, 93–101. [Google Scholar]
- Figari, M.; Soares, C.G. Fuel consumption and exhaust emissions reduction by dynamic propeller pitch control. In Proceedings of the 2nd International Conference on Marine Structures-Analysis and Design of Marine Structures, Lisbon, Portugal, 16–18 March 2009; pp. 567–574. [Google Scholar]
- Martelli, M.; Figari, M.; Altosole, M.; Vignolo, S. Controllable pitch propeller actuating mechanism, modelling and simulation. Proc. Inst. Mech. Eng. Part M J. Eng. Marit. Environ. 2014, 228, 29–43. [Google Scholar] [CrossRef]
- Michetti, S.; Ratto, M.; Spadoni, A.; Figari, M.; Altosole, M.; Marcilli, G. Ship control system wide integration and the use of dynamic simulation techniques in the Fremm project. In Proceedings of the Electrical Systems for Aircraft, Railway and Ship Propulsion, Bologna, Italy, 19–21 October 2010; pp. 1–6. [Google Scholar]
- Rudzki, K.; Tarelko, W. A Decision-Making System Supporting Selection of Commanded Outputs for a Ship’s Propulsion System with a Controllable Pitch Propeller. Ocean Eng. 2016, 126, 254–264. [Google Scholar] [CrossRef]
- Tarelko, W.; Rudzki, K. Applying Artificial Neural Networks for Modelling Ship Speed and Fuel Consumption. Neural Comput. Appl. 2020, 32, 17379–17395. [Google Scholar] [CrossRef]
- Geertsma, R.D.; Visser, K.; Negenborn, R.R. Adaptive Pitch Control for Ships with Diesel Mechanical and Hybrid Propulsion. Appl. Energy 2018, 228, 2490–2509. [Google Scholar] [CrossRef]
- Kulczyk, J.; Tabaczek, T. Coefficients of Propeller-Hull Interaction in Propulsion System of Inland Waterway Vessels with Stern Tunnels. TransNav Int. J. Mar. Navig. Saf. Sea Transp. 2014, 8, 377–384. [Google Scholar] [CrossRef][Green Version]
- ITTC. Resistance Uncertainty Analysis Example for Resistance Test. Recommended Procedures; 7.5-02-02-02; ITTC: Zürich, Switzerland, 2002. [Google Scholar]
- Raven, H. A New Correction Procedure for Shallow-Water Effects in Ship Speed Trials. In Proceedings of the 13th International Symposium on Practical Design of Ships (PRADS 2016), Copenhagen, Denmark, 4 September 2016. [Google Scholar]
- Epps, B.P.; Stanway, M.J.; Kimball, R.W. OpenProp: An open-source design tool for propellers and turbines. In Proceedings of the 12th Propeller and Shafting Symposium, Williamsburg, VA, USA, 15–16 September 2009. [Google Scholar]
- ISO 15016:2015; Ships and Marine Technology—Guidelines for the Assessment of Speed and Power Performance by Analysis of Speed Trial Data. ISO: Geneva, Switzerland, 2015.
- Stannat, W. On the Convergence of Genetic Algorithms—A Variational Approach. Probab. Theory Relat. Fields 2004, 129, 113–132. [Google Scholar] [CrossRef]

















| Ship Parameter | Value | Propeller Parameter | Value |
|---|---|---|---|
| Ship length | 67.50 m | Diameter | 1.693 m |
| Waterline length | 66.35 m | Number of blades | 5 |
| Ship breadth | 12.67 m | Original pitch ratio | 0.75 |
| Molded depth | 3.30 m | Disk ratio | 0.5 |
| Propulsion power | 2 240 KW | Hub diameter | 0.29 m |
| Spacing of fins | 0.55 m | Hub length | 0.32 m |
| Gross tonnage (DWT) | 990 tons | Back angle | 10° |
| Segments | Voyage | Water Depth (m) | Current Velocity (m/s) | Bending Radius (m) | Mileage (km) |
|---|---|---|---|---|---|
| 1 | Yibin Hejiangmen–Chongqing Yangjiaotan | 2.9 | 0.766 | 560 | 207 |
| 2 | Chongqing Yangjiaotan–Fuling Lidu Yangtze River Bridge | 3.5 | 0.472 | 800 | 60 |
| 3 | Fuling Lidu Yangtze River Bridge–Ziguimiao River | 5.5 | 0.467 | 1000 | 293 |
| 4 | Ziguimiao River–Songzi Kuabaoshan | 4.5 | 0.945 | 750 | 40 |
| 5 | Songzi Kuabaoshan–Jingzhou Port | 3.8 | 1.144 | 1000 | 42 |
| 6 | Jingzhou Port–Yueyang Chenglingji | 3.8 | 1.164 | 1000 | 135 |
| 7 | Yueyang Chenglingji–Wuhan Yangtze River Bridge | 4.5 | 1.222 | 1000 | 124 |
| 8 | Wuhan Yangtze River Bridge–Anqing Jiyangji | 6.0 | 1.16 | 1050 | 206 |
| 9 | Anqing Jiyangji–Wuhu Gao’anwei | 6.0 | 1.183 | 1050 | 106 |
| 10 | Wuhu Gao’anwei–Wuhu Yangtze River Bridge | 7.5 | 1.131 | 1050 | 20 |
| 11 | Wuhu Yangtze River Bridge–Nanjing Yanziji | 9.0 | 1.154 | 1050 | 55 |
| 12 | Nanjing Yanziji–Nanjing Xinshengwei | 10.5 | 1.036 | 1050 | 2 |
| 13 | Nanjing Xinshengwei–Jiangyin Yangtze River Bridge | 12.5 | 0.98 | 1500 | 98 |
| 14 | Jiangyin Yangtze River Bridge–Yangtze River Estuary | 12.5 | 0.8 | 1500 | 83 |
| Voyage Segments | Optimal Pitch Angle (Degrees) | Optimum RPM | Thrust (kN) | Open-Water Efficiency |
|---|---|---|---|---|
| 1 | Original pitch angle + 5.13 | 1321.49 | 61.37 | 0.56 |
| 2 | Original pitch angle + 4.89 | 1332.04 | 61.32 | 0.55 |
| 3 | Original pitch angle + 4.75 | 1355.51 | 60.19 | 0.53 |
| 4 | Original pitch angle + 7.47 | 1297.98 | 56.71 | 0.61 |
| 5 | Original pitch angle + 7.09 | 1279.25 | 57.19 | 0.59 |
| 6 | Original pitch angle + 7.04 | 1278.16 | 57.26 | 0.59 |
| 7 | Original pitch angle + 6.85 | 1279.23 | 57.29 | 0.58 |
| .8 | Original pitch angle + 6.95 | 1283.17 | 56.63 | 0.58 |
| 9 | Original pitch angle + 6.84 | 1283.53 | 57.52 | 0.57 |
| 10 | Original pitch angle + 7.62 | 1294.16 | 57.91 | 0.63 |
| 11 | Original pitch angle + 6.89 | 1295.98 | 57.61 | 0.58 |
| 12 | Original pitch angle + 7.08 | 1273.98 | 57.32 | 0.55 |
| 13 | Original pitch angle + 7.65 | 1259.79 | 57.15 | 0.61 |
| 14 | Original pitch angle + 4.30 | 1359.43 | 59.17 | 0.56 |
| Pitch Allocation | Fuel Consumption of Single Voyage (kg) |
|---|---|
| Fixed at the original pitch | 5893.27 |
| Optimal pitch setting | 5611.67 |
| Speed (kn) | Pitch Angle (Degrees) | RPM | Thrust (KN) | Open-Water Efficiency | Fuel Consumption Rate (kg/nm) |
|---|---|---|---|---|---|
| 11 | Original pitch angle + 9.37 | 1369.76 | 105.31 | 0.59 | 263.60 |
| 7 | Original pitch angle + 7.96 | 798.64 | 37.65 | 0.56 | 75.35 |
| 4 | Original pitch angle − 3.51 | 578.31 | 19.57 | 0.46 | 23.67 |
| Speed (kn) | Proportion | Pitch Angle (Degrees) | Open-Water Efficiency | Thrust (KN) | Fuel Consumption (kg/nm) | |
|---|---|---|---|---|---|---|
| Speed allocation 1 | 4 | 1/3 | Original pitch angle − 3.51 | 0.50 | 19.57 | 23.67 |
| 7 | 1/3 | Original pitch angle + 7.96 | 0.56 | 37.65 | 75.35 | |
| 11 | 1/3 | Original pitch angle + 9.37 | 0.59 | 105.31 | 263.60 | |
| Speed allocation 2 | 4 | 1/10 | Original pitch angle − 2.03 | 0.47 | 19.02 | 25.26 |
| 7 | 1/2 | Original pitch angle + 5.35 | 0.56 | 37.91 | 76.23 | |
| 11 | 2/5 | Original pitch angle + 9.19 | 0.57 | 106.25 | 261.35 | |
| Speed allocation 3 | 4 | 1/10 | Original pitch angle + 1.03 | 0.43 | 17.36 | 23.76 |
| 7 | 4/5 | Original pitch angle + 6.23 | 0.57 | 39.51 | 79.71 | |
| 11 | 1/10 | Original pitch angle + 9.59 | 0.60 | 103.17 | 260.19 |
| Direction | Voyage Segments | Pitch Angle (Degrees) | RPM | Open-Water Efficiency | Thrust (KN) |
|---|---|---|---|---|---|
| Forward | 7 | Original pitch angle + 6.92 | 1353.16 | 0.56 | 57.26 |
| 8 | Original pitch angle + 7.02 | 1357.93 | 0.59 | 57.75 | |
| 9 | Original pitch angle + 6.83 | 1367.35 | 0.58 | 57.91 | |
| 10 | Original pitch angle + 7.29 | 1359.36 | 0.62 | 57.19 | |
| 11 | Original pitch angle + 6.61 | 1357.39 | 0.59 | 59.67 | |
| 12 | Original pitch angle + 7.32 | 1355.23 | 0.54 | 59.16 | |
| 13 | Original pitch angle + 7.57 | 1363.59 | 0.55 | 27.15 | |
| 14 | Original pitch angle + 5.26 | 1359.26 | 0.59 | 57.63 | |
| Back | 14 | Original pitch angle + 1.02 | 1373.27 | 0.52 | 50.51 |
| 13 | Original pitch angle − 2.06 | 1372.75 | 0.55 | 50.67 | |
| 12 | Original pitch angle − 2.37 | 1372.59 | 0.57 | 49.53 | |
| 11 | Original pitch angle − 1.73 | 1367.26 | 0.54 | 50.76 | |
| 10 | Original pitch angle − 1.97 | 1372.63 | 0.56 | 50.61 | |
| 9 | Original pitch angle − 1.73 | 1367.23 | 0.59 | 50.59 | |
| 8 | Original pitch angle − 2.63 | 1370.57 | 0.54 | 51.53 | |
| 7 | Original pitch angle − 2.16 | 1373.61 | 0.56 | 49.63 |
| Pitch Allocation | Fuel Consumption of Single Voyage (kg) |
|---|---|
| Fixed at the original pitch | 4698.74 |
| Optimal pitch setting | 4964.34 |
Disclaimer/Publisher’s Note: The statements, opinions and data contained in all publications are solely those of the individual author(s) and contributor(s) and not of MDPI and/or the editor(s). MDPI and/or the editor(s) disclaim responsibility for any injury to people or property resulting from any ideas, methods, instructions or products referred to in the content. |
© 2024 by the authors. Licensee MDPI, Basel, Switzerland. This article is an open access article distributed under the terms and conditions of the Creative Commons Attribution (CC BY) license (https://creativecommons.org/licenses/by/4.0/).
Share and Cite
Tian, W.; Lang, X.; Zhang, C.; Yan, S.; Li, B.; Zang, S. Optimization of Controllable-Pitch Propeller Operations for Yangtze River Sailing Ships. J. Mar. Sci. Eng. 2024, 12, 1579. https://doi.org/10.3390/jmse12091579
Tian W, Lang X, Zhang C, Yan S, Li B, Zang S. Optimization of Controllable-Pitch Propeller Operations for Yangtze River Sailing Ships. Journal of Marine Science and Engineering. 2024; 12(9):1579. https://doi.org/10.3390/jmse12091579
Chicago/Turabian StyleTian, Wuliu, Xiao Lang, Chi Zhang, Songyin Yan, Bing Li, and Shuo Zang. 2024. "Optimization of Controllable-Pitch Propeller Operations for Yangtze River Sailing Ships" Journal of Marine Science and Engineering 12, no. 9: 1579. https://doi.org/10.3390/jmse12091579
APA StyleTian, W., Lang, X., Zhang, C., Yan, S., Li, B., & Zang, S. (2024). Optimization of Controllable-Pitch Propeller Operations for Yangtze River Sailing Ships. Journal of Marine Science and Engineering, 12(9), 1579. https://doi.org/10.3390/jmse12091579

